JPモルガン巨大投信のオプション建玉はS&P500を動かしたのか|DailyProp#58
ぷろっぷオプション女塾塾生のみんなはデルタもガンマも学んだわよね。今回、アメリカ市場で話題になったJPモルガンのオプションを使った投信。オプションの理解を深めるのによい話になると思ったので、何が起きたか見てみましょう。
JPモルガンの投信に由来するS&P500の6475プット建玉は、満期接近と相場下落が重なる中で、市場参加者に強く意識されていた。
3月後半にマーケットメーカーのデルタヘッジが相場変動を増幅しかねない、ネガティブガンマ領域に進入
実際に、マーケットメーカのガンマ量とS&P500の動きはシンクロした。
JPモルガン投資信託のプット騒動の概要
2025年末から6900ドルから7000ドルあたりで推移していたS&P500。イラン開戦後、ジリジリ4週連続で下げるにつれ「動かない、下がらない」S&P500が否定された。巨大なオプション建玉があるS&P500の6475プットオプションに近づいていった。このプットオプションの巨大建玉は、JPモルガンの人気投資信託商品 "JPMorgan Hedged Equity I"(JHEQX)由来といわれた。
詳しい商品設計は次章に譲るが、現物株をロングして、OTMプットを買う。さらに外のOTMプットを売る。OTMコールを売る。というオプションを組み入れた戦略的投資信託だ。このOTMプットオプションのロング部分が今回の話の中心だ。
この巨大な3月31日満期のオプション建玉はマーケットでも話題になった。なぜなら、ストライクに近づくにつれ、オプションマーケットメイカーのデルタ調整ヘッジフローがS&P500先物を動かすと言われたからだ。つまり、JPモルガンの反対側にいるマーケットメイカーのガンマショートになってるプットオプションポジションのせいで、デルタヘッジフローが売りを売りを呼ぶ可能性が議論された。
満期の3月31日に近づくと、ATM付近の6475ガンマは急増する。試算ではS&P500が1%動くと10億ドル規模の先物を取引しないといけないという話も出た。実際にS&P500は6475に吸い寄せられるように下落。
最終的にはS&P500は3月27日に6475を割れた。停戦関連ニュース等もあり結局、オプションが消滅した3月31日に反転するに至った。
JPモルガンの投資信託(JHEQX)の商品設計
JPモルガンのオプションを使った投資信託、JPMorgan Hedged Equity I(JHEQX)という名前でS&P500を現物株で90から100%持つ。そのうえで、四半期ごとにSPXオプションも持つというものだ。基本の形をまとめると、
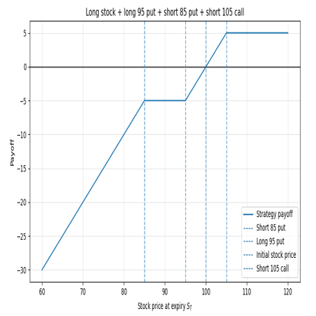
現物株はロング。OTMプットを買う。さらに外のOTMプットを売る。プットのコストを賄えるOTMコールを売る。
のように作られているようだ。実際のところは全部公開されていないが、推定すると、買うプットは5%程度のOTM、売るプットは15%程度OTM。売るコールはプットのコストを相殺できるよなOTMコール。5%程度のOTMという感じのようだ。3カ月ごとに更新されるので、期初の株価が100だとすると、100で株をロング、95でプットを買う、85のプットを売る、105コールを売るという形になる。
この戦略の設計は95から105の間では株と同様に動く。95以下ではプットヘッジが効き始める。85ではヘッジが切れる。その代わり、85プットのプレミアム受取で、95のヘッジは安く済む。105以上ではロングは減ってしまうが、95プットのヘッジコストも安く済む。
この投資信託の満期でのペイオフ、オプションをあてる量によっても変わるのだが、基本的には以下ような形になる。
さらに、オプション部分だけ抜き出すと以下のようになる。
さてこのオプション部分が今回の議題である。このオプション部分はJPモルガン投資信託であるJPMorgan Hedged Equity I(JHEQX)側から見たポジションだ。あるいは投資信託ホルダーのオプションポジションといっても良い。このポジションを作るためにマーケットメーカーにオプションを発注する事になる。
マーケットメーカーはJPMorgan Hedged Equity I(JHEQX)の反対側のポジションを取るので、ポジションは下のようになる。ロングとショートを反転させるので、上と下を反転しただけの事だ。
マーケットメーカーのオプションリスク
先ほどの右上がりのカクカクオプションはマーケットメーカーがJPモルガンの反対に立つことによって取らされたポジションであった。これを自分がマーケットメーカーになったつもりでヘッジ戦略を考えて行こう。
デルタリスク
まず3月1日時点でのデルタリスクの見通しだ。現状は少しロングになってるので、先物を売る。6750に下がっていけばデルタが少し減るので買い戻していく。まあないとは思うが、6600割れあたりからロングになるので、下がり始めたら、遅れないようにデルタヘッジの売りでビッドを叩いていこう。。。なんて考える事もできる。
ガンマリスク
現状はガンマロング。大きく動くと利益になるから、デルタヘッジ回数を少なめにするかね。でも万が一6750割れたら「ガンマがフリップする」。ネガティブガンマになる。そっから売りが加速して大きく動かれると損するから、デルタヘッジの売りをしっかり出していこう。なんて考えられる。
実際のマーケットで何が起きたか
実際のデルタリスク
イラン開戦後、デルタの振動が増えて、後半に急激にデルタが上がってる様子が分かる。この急激に上がったデルタは「マーケットメーカーは大きくロングになってしまっている」という事だ。この大きくロングになってしまったポジションを消すために、先物を大きく売ることになる。またガンマとはデルタの変化であった事を思い出してほしい。3月15日以降激しく動くデルタ量。すなわちガンマが上昇していた事がわかる。
実際の株価とデルタの動き。3月15日以降、マーケットが上がればデルタは減り、下がればデルタは増える。典型的なガンマショートポジションの挙動が分かる。最終盤の満期5日程度は、にわとりと卵の問題はあるが、マーケットメーカーのロングが増えれば売りヘッジでS&P500は下がり、オプションが満期を迎え、マーケットメーカーのデルタロングも消滅すると同時にS&P500もリカバリーしている様子が分かる。
元々このポジションは3つのオプションの集合体であったが、個々のオプションのデルタの動きを以下でみる。7155コールはS&P500が下がってファーOTM化するに従いデルタも無価値に。5470プットも遠すぎて無価値に。結局6475プットのリスクだけが残った様子が分かる。
実際のガンマリスク
この3つのオプションの、マーケットメーカー側のガンマ。3月15日くらいまでは7155コールが効いて合計するとロングガンマになっていることが分かる。しかしながらマーケットが下がるに従い「ガンマがフリップ」。ガンマショートに転じてしまった。そのほとんどの理由が6475プットであることも分かる。
下は3つのオプション合計ガンマ。
マーケットが下がるにつれ、ガンマショートが増えてるのが分かる。あるいはガンマショートになるにつれて、マーケットが下がってるともいえる。
オプションのガンマの性質として、満期が近づいてATM付近になると大きくなるというのがある。ATMを挟んでPLがマイナスかプラスになるので、当然価値の上下が激しくなる。
下の図は満期とS&P500の位置に対するガンマの量だ。マーケットメーカーはオプションショートしているので、実際S&P500が「満期近く」に「ATM付近」に来ることでガンマがボッコリマイナスなのが分かる。そしてこの大きな谷をS&P500が進んで行った様子も線でプロットしてある。
実際の投資信託のリターン
最後に、実際のマーケットで投資信託の価値はどうなったか見る。ポジションを目論見書から推定して計算したので実際のパフォーマンスとは違う事に留意されたし。
下はマーケットメーカーではなく、投信購入者のPLだ。この投資信託のオプション部分と先物のPLを分解してみた。オプションの部分は割と控えめなPL。下がっても全然ヘッジになってないし、無駄じゃね?
オプション損益とS&P500と投資信託のリターン系列。ほぼ同じで高い手数料はらってなんか意味あんのか?
まとめ
JPモルガンの投資信託JPMorgan Hedged Equity I( JHEQX )は、株式を保有しながら、OTMプット買い・さらに外のOTMプット売り・OTMコール売りを組み合わせたオプション戦略を四半期ごとに組み入れている商品であった。
今回のケースでは、6475プットに近づくにつれてマーケットメーカー側のガンマが上昇し、デルタヘッジの先物売りが下落圧力を強める構図が意識された。実際、相場下落とともに6475プットのガンマとデルタリスクは増大した。満期直前にはその影響がより強く表れたとみられる。3月末の反転には停戦関連ニュースなど外部要因もあったが、巨大なオプション建玉が需給に与えたインパクトは無視できなかった。
しかしながらマーケットメーカーもオプションを買い戻したりして、相応にガンマリスクは減らしていたと思われる。特に0DTEや1DTEと呼ばれる、短期満期オプションが存在する。その日や明日満期のオプションをショートしてリスクを積極的にとる個人の存在もあるので、最終週にはそれなりにマーケットメーカー側もガンマリスクは落としたのではないかと思われる。
いいなと思ったら応援しよう!
この記事は noteマネー にピックアップされました




コメント