「道路・ドライブ・ツーリング・旅行・交通・写真」等が主題のブログです
 
 <使用カメラ機材>
 ★デジタル一眼レフカメラ:Canon EOS 5D Mark IV / EOS Kiss X6i
 ★コンパクトデジタルカメラ:Canon PowerShot G9X / PowerShot S110
 ★水中デジタルカメラ:Nikon CoolPix W100
 ★デジタルビデオカメラ:Canon iVIS HF M41

 全47都道府県の日本三周走破を達成(日本全641,487km走破)
 海外ドライブも行っております(海外合計36,414km走破)
 各記事はカテゴリー別に整理しているので、過去記事も気軽に見ていって下さい

[開設日] Yahoo! Blog : 2007/4/13 (金) → livedoor Blog : 2019/8/21 (水)

2026年01月20日 19:20

 2025年1月15日から脳出血で救急搬送され、3度の手術を経て入院しておりましたが、2026年1月20日に無事退院しました。

 入院期間は36日間でした。
 当初脳出血が酷く生きて年を越すのも医師から危ぶまれましたが、何とか年を越えて急性期を脱し、安定期に入って入院リハビリを続け、最後のMRI&CT検査で脳に問題なしと診断され、正式に退院となりました。

 ただ退院後も通院リハビリが必要なのでまだ完治した訳ではないです。
 しかしこれで日常生活に戻ることができホッとしております。

 皆様にはご心配をおかけしました。
 ボチボチと完治を目指して通院リハビリを続けていきます。


2026年01月05日 21:05

 最近あまり更新していませんでしたが、2025年8月~2026年1月にかけて身の上にいろいろあったことがあるので、ここで書きます。

 まず2025年に娘が急性心不全で急逝しました。あまりに突然のことに驚き、娘の葬儀や各種手続きで家族全員が大変な状況でした。
 
 次に私自身ですが、2025年10月9日~11月8日に脳梗塞で入院。その後リハビリで通院していましたが、2025年12月15日~2026年1月5日時点現在で脳出血で入院しております。

 退院しましたら、ブログ記事で報告致します。

 fetiva1202(ふぇー)より


2025年05月24日 11:28

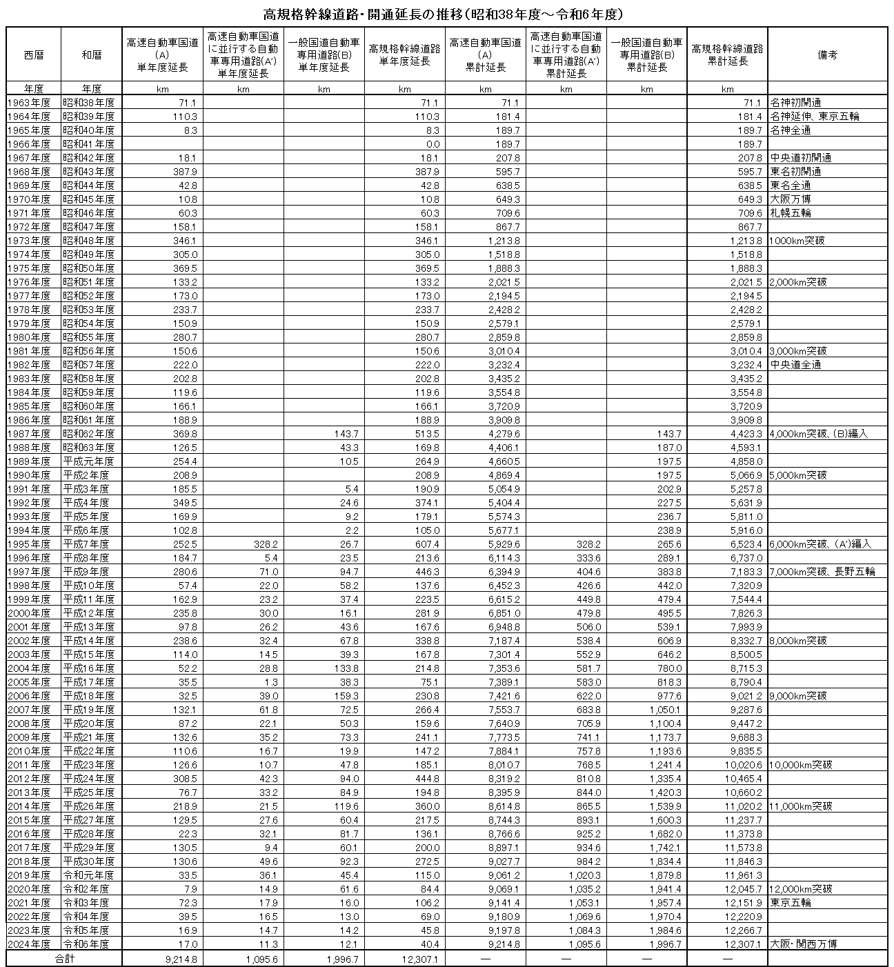
 国土交通省の資料を元に、「高規格幹線道路・開通延長の推移(昭和38年度~令和6年度)」の表とグラフを作成してみました。記事・画像ともに転載可なので、高速道路の資料として積極的にご活用下さい。

 高規格幹線道路(高速道路)の表とグラフは、「高速自動車国道(A路線)」「高速自動車国道に並行する自動車専用道路(A’路線)」「一般国道自動車専用道路(B路線)」ごとに内訳を載せてあります。

 表とグラフはクリックすると拡大できます。
高規格幹線道路・開通延長の推移(昭和38年度~令和6年度)


高規格幹線道路・単年度延長の推移(令和6年度)


高規格幹線道路・累計延長の推移(令和6年度)


 ...この表とグラフが、高速道路の資料として皆様のお役に立てれば幸いです。


この記事を気に入られたら、下の「にほんブログ村の文字」をクリックしてください
  
にほんブログ村 道・道路(文字をクリック)
にほんブログ村 車旅(文字をクリック)
にほんブログ村 風景写真(文字をクリック)



プロフィール

ふぇー

アクセスカウンター
  • 今日:
  • 累計:

記事検索
<<   2026年1月  
        1 2 3
4 5 6 7 8 9 10
11 12 13 14 15 16 17
18 19 20 21 22 23 24
25 26 27 28 29 30 31
ギャラリー
  • 高規格幹線道路・開通延長の推移(昭和38年度~令和6年度)
  • 高規格幹線道路・開通延長の推移(昭和38年度~令和6年度)
  • 高規格幹線道路・開通延長の推移(昭和38年度~令和6年度)
  • 高規格幹線道路・開通延長の推移(昭和38年度~令和5年度)
  • 高規格幹線道路・開通延長の推移(昭和38年度~令和5年度)
  • 高規格幹線道路・開通延長の推移(昭和38年度~令和5年度)
アーカイブ
QRコード
QRコード
  • ライブドアブログ