「シュレディンガーの猫」の現代的な量子力学での理解
量子力学の「シュレディンガーの猫のパラドクス」は現代でも理解されていないという間違った記述が、最近でもあちこちに散見されます。さらに「相対論は簡単だけど、量子論には観測問題があるし、アインシュタインやファインマンなどの天才でもわからなかったのだから、君らがわからなくても当たり前。」という感じのことを物理学徒に平気で語ってしまう大学教員が、現在でも一部残っているようです。私はそのような誤解を完全に無くしたいと、常々思っています。
量子力学には観測問題があると前世紀には言われていましたが、現在ではそのような問題はそもそも存在しなかったことが、以下の記事のように分かっています。
同様にシュレディンガーの猫も解決されていないパラドクスなんかではなく、現代ではマクロな量子もつれ状態として、しっかりと理解をされています。その「シュレディンガーの猫状態」などの量子線形重ね合わせは、開発されてきている量子コンピュータの原理にもなっているのです。すなわち現実の応用が既に成されている段階です。誰にも解けていない難問なんかでは決してありません。
シュレディンガーの猫の思考実験は、簡単に以下のようにまとめられます。部屋に閉じ込められた猫がいます。その部屋には不安定原子が納められた箱があり、その箱からガンマ線が出て、測定機に入ります。そのガンマ線が検出された途端に自動的に機械が毒薬の入った瓶を破壊して、近くにいた生きている猫の状態を、生きている猫の状態と死んでいる猫状態の量子的な重ね合わせにする話です。
ところが、マクロな猫のそのような重ね合わせ状態を日常で誰も体験したことがないのを理由にして、これは量子力学の未解決パラドクスだし、だから「観測問題もある」と教える教員がまだいるそうなのです。このようなことを教える教員の方は、目や耳などの素朴な測定機以外にも、「物理学者の日常」では非常に精密な測定機も開発できるし、より高度な機器も今後使えるという事実を忘れているのかもしれません。
より重要な認識は、猫の体も素粒子の集まりにすぎないという点です。「量子力学の法則に従う粒子の集まりなのに、シュレディンガーの猫についてだけは量子重ね合わせが起きないなんて、不公平だ」という感覚は、多くの人とも共有できるのではないでしょうか。
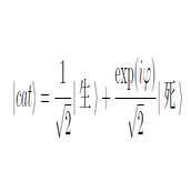
猫が半分の確率で生きていて、半分の確率で死んでいる量子状態は次のように書くことができます。
この状態ベクトルには実数変数φの自由度が残っていることに注目をしてください。「生きている状態」と「死んでいる状態」の間の、このφに関する干渉効果は
という演算子で書かれるマクロな物理量の期待値を測定することで、次のように得られます。
φを変えることで、このマクロな物理量の期待値は確かに変化をしています。この物理量を測る実験さえできれば、マクロな猫でもこのような干渉実験が可能なのです。日常体験ではそれをしていないので、猫の干渉効果が見えていないだけなのです。「測っていないから見えていないこと」は、「あり得ないこと」とは大きく違うのです。現実の実験技術ではそのマクロな物理量の測定がまだできていないのが原因であり、原理的にその物理量や干渉効果が存在していないわけではありません。
世界で現在研究をされているマクロサイズな量子コンピュータが作られるようになれば、非常に多数の量子ビットから構成される、(1)式の「シュレ猫状態」に対して、(3)式の干渉効果を観測する量子測定も具体的に構築できます。(2)式のマクロ物理量のエルミート行列で指定されるユニタリ操作をこの量子コンピュータで実際に行って、その後に基準測定を行えば良いのです。マクロでも有限系ですので、何も原理的な問題はありません。この物理量の測定方法は『入門現代の量子力学』(講談社サイエンティフィク)の第3章で説明をしています。
またシュレディンガーの猫を量子ゼノン効果の文脈で考えると、もっとクリアに量子力学を理解することもできます。このあたりは下記の記事を参照してください。
現代的な量子力学ではシュレディンガーの猫に全く問題はないことを、拙書『量子情報と時空の物理【第2版】』第2章2.2節でも詳しく述べましたので、そちらもご参照ください。
いいなと思ったら応援しよう!
サポートありがとうございます。

コメント