Your privacy, your choice

We use essential cookies to make sure the site can function. We also use optional cookies for advertising, personalisation of content, usage analysis, and social media, as well as to allow video information to be shared for both marketing, analytics and editorial purposes.

By accepting optional cookies, you consent to the processing of your personal data - including transfers to third parties. Some third parties are outside of the European Economic Area, with varying standards of data protection.

See our privacy policy for more information on the use of your personal data.

for further information and to change your choices.

Skip to main content
Log in

Self-care of vaginal pessary for pelvic organ prolapse: a systematic review and meta-analysis

  • Review
  • Published:
Archives of Gynecology and Obstetrics Aims and scope Submit manuscript

Abstract

Introduction

There is no evidence about the efficacy of self-care of vaginal pessary in women with symptomatic pelvic organ prolapse (POP). The aim of this systematic review and meta-analysis is to assess the adherence to pessary treatment among women who engage in self-management of their pessary.

Methods

We performed a systematic review and meta-analysis, according to PRISMA 2020 guidelines, and selected seven publications for inclusion in the analysis.

Results

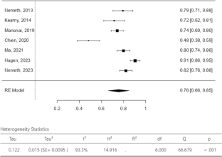
Pooled continuation rate of self-cared vaginal pessary was the 76% (95%CI: 66–85%) with a I2-test of 93.3% (p < 0.001). Pooled conversion to POP surgery was the 12% (95%CI: 1–23%) with a I2-test of 96% (p < 0.001). Continuation rate was not statistically different between women who were treated by self-care and non-self-care management of vaginal pessary (RR 1.11, 95%CI 0.96–1.27; p = 0.15), with a related I2-test of 37% (p = 0.21).

Conclusion

Self-care vaginal pessary management presented a high continuation rate in women affected by pelvic organ prolapse at a long follow-up. The rate of conversion to surgical management of POP was low. No significant difference in continuation rate were highlighted between women who adopted the self-care or the clinical-based management of pessary.

This is a preview of subscription content, log in via an institution to check access.

Access this article

Subscribe and save

Springer+
from ¥17,985 /Month
  • Starting from 10 chapters or articles per month
  • Access and download chapters and articles from more than 300k books and 2,500 journals
  • Cancel anytime
View plans

Buy Now

Price includes VAT (Japan)

Instant access to the full article PDF.

Fig. 1
Fig. 2
Fig. 3
Fig. 4

Similar content being viewed by others

Data availability

Not applicable.

References

  1. Haylen BT, Maher CF, Barber MD et al (2016) An International Urogynecological Association (IUGA)/International Continence Society (ICS) joint report on the terminology for female pelvic organ prolapse (POP). Neurourol Urodyn 35(2):137–168

    Article  PubMed  Google Scholar 

  2. Cardozo L, Rovner E, Wagg A, Wein A, Abrams P (eds) (2023) Incontinence, 7th edn. ICI-ICS. International Continence Society, Bristol UK

    Google Scholar 

  3. Abdel-Fattah M, Familusi A, Fielding S, Ford J, Bhattacharya S (2011) Primary and repeat surgical treatment for female pelvic organ prolapse and incontinence in parous women in the UK: a register linkage study. BMJ Open 1(2):e000206

    Article  PubMed  PubMed Central  Google Scholar 

  4. DeLancey JOL (2016) What’s new in the functional anatomy of pelvic organ prolapse? Curr Opin Obstet Gynecol 28(5):420–429

    Article  PubMed  PubMed Central  Google Scholar 

  5. ACOG/AUGS Guidance Update: diagnosis and management of pelvic organ prolapse including role of mesh. Available at: https://www.obgproject.com/2019/10/28/acog-augs-guidance-update-diagnosis-and-management-of-pelvic-organ-prolapse-including-role-of-mesh/.

  6. Harvey MA, Lemieux MC, Robert M, Schulz JA. Guideline No. 411: Vaginal Pessary Use. J Obstet Gynaecol Can. 2021;43(2):255–266.e1. https://doi.org/10.1016/j.jogc.2020.11.013

  7. Fernando RJ, Thakar R, Sultan AH, Shah SM, Jones PW (2006) Effect of vaginal pessaries on symptoms associated with pelvic organ prolapse. Obstet Gynecol 108:93–99

    Article  PubMed  Google Scholar 

  8. Barber MD (2016) Pelvic organ prolapse. BMJ 354:i3853

    Article  PubMed  Google Scholar 

  9. Zwerink M, Brusse-Keizer M, Van Der Valk PDLPM et al (2014) Self management for patients with chronic obstructive pulmonary disease. Cochrane Database Syst Rev 3:CD002990. https://doi.org/10.1002/14651858.CD002990.pub3

  10. Page MJ, McKenzie JE, Bossuyt PM, Boutron I, Hoffmann TC, Mulrow CD et al (2021) The PRISMA 2020 statement: an updated guideline for reporting systematic reviews. BMJ 372:n71. https://doi.org/10.1136/bmj.n71

    Article  PubMed  PubMed Central  Google Scholar 

  11. Sterne JA, Hernán MA, Reeves BC, Savović J, Berkman ND, Viswanathan M, Henry D, Altman DG, Ansari MT, Boutron I, Carpenter JR, Chan AW, Churchill R, Deeks JJ, Hróbjartsson A, Kirkham J, Jüni P, Loke YK, Pigott TD, Ramsay CR, Regidor D, Rothstein HR, Sandhu L, Santaguida PL, Schünemann HJ, Shea B, Shrier I, Tugwell P, Turner L, Valentine JC, Waddington H, Waters E, Wells GA, Whiting PF, Higgins JP (2016) ROBINS-I: a tool for assessing risk of bias in non-randomised studies of interventions. BMJ 355:i4919. https://doi.org/10.1136/bmj.i4919. (PMID:27733354;PMCID:PMC5062054)

    Article  PubMed  PubMed Central  Google Scholar 

  12. Sterne JAC, Savović J, Page MJ, Elbers RG, Blencowe NS, Boutron I, Cates CJ, Cheng HY, Corbett MS, Eldridge SM, Emberson JR, Hernán MA, Hopewell S, Hróbjartsson A, Junqueira DR, Jüni P, Kirkham JJ, Lasserson T, Li T, McAleenan A, Reeves BC, Shepperd S, Shrier I, Stewart LA, Tilling K, White IR, Whiting PF, Higgins JPT (2019) RoB 2: a revised tool for assessing risk of bias in randomised trials. BMJ 366:l4898. https://doi.org/10.1136/bmj.l4898. (PMID: 31462531)

    Article  PubMed  Google Scholar 

  13. DerSimonian R, Laird N (2015) Meta-analysis in clinical trials revisited. Contemp Clin Trials 45(pt A):139–145

    Article  PubMed  PubMed Central  Google Scholar 

  14. Higgins JP, Thompson SG (2002) Quantifying heterogeneity in a meta-analysis. Stat Med 21:1539–1558

    Article  PubMed  Google Scholar 

  15. Higgins JP, Thompson SG, Deeks JJ, Altman DG (2003) Measuring inconsistency in meta-analyses. BMJ 327:557–560

    Article  PubMed  PubMed Central  Google Scholar 

  16. Higgins JPT, Thomas J, Chandler J et al (2019) Cochrane handbook for systematic reviews of interventions, 2nd edn. John Wiley and Sons.

  17. Nemeth Z, Nagy S, Ott J (2013) The cube pessary: an underestimated treatment option for pelvic organ prolapse? Subjective 1-year outcomes. Int Urogynecol J. 24(10):1695–1701. https://doi.org/10.1007/s00192-013-2093-z. (Epub 2013 Apr 12 PMID: 23579291)

    Article  PubMed  Google Scholar 

  18. Kearney R, Brown C (2014) Self-management of vaginal pessaries for pelvic organ prolapse. BMJ Qual Improv Rep. 3(1):u206180.w2533. https://doi.org/10.1136/bmjquality.u206180.w2533. (PMID:27493737;PMCID:PMC4949618)

    Article  PubMed  PubMed Central  Google Scholar 

  19. Manonai J, Sarit-Apirak S, Udomsubpayakul U (2018) Vaginal ring pessary use for pelvic organ prolapse: continuation rates and predictors of continued use. Menopause 26(6):665–669. https://doi.org/10.1097/GME.0000000000001277. (PMID: 30562318)

    Article  PubMed  Google Scholar 

  20. Chien CW, Lo TS, Tseng LH, Lin YH, Hsieh WC, Lee SJ (2020) Long-term outcomes of self-management Gellhorn pessary for symptomatic pelvic organ prolapse. Female Pelvic Med Reconstr Surg 26(11):e47–e53. https://doi.org/10.1097/SPV.0000000000000770. (PMID: 31393340)

    Article  PubMed  Google Scholar 

  21. Ma C, Zhou Y, Kang J, Zhang Y, Ma Y, Wang Y, Tian W, Xu T, Liang S, Fan G, Cui Y, Zhu L (2021) Vaginal pessary treatment in women with symptomatic pelvic organ prolapse: a long-term prospective study. Menopause 28(5):538–545. https://doi.org/10.1097/GME.0000000000001751. (PMID: 33625108)

    Article  PubMed  Google Scholar 

  22. Hagen S, Kearney R, Goodman K, Best C, Elders A, Melone L, Dwyer L, Dembinsky M, Graham M, Agur W, Breeman S, Culverhouse J, Forrest A, Forrest M, Guerrero K, Hemming C, Khunda A, Manoukian S, Mason H, McClurg D, Norrie J, Thakar R, Bugge C (2023) Clinical effectiveness of vaginal pessary self-management vs clinic-based care for pelvic organ prolapse (TOPSY): a randomised controlled superiority trial. EClinicalMedicine 66:102326. https://doi.org/10.1016/j.eclinm.2023.102326. (PMID:38078194;PMCID:PMC10701109)

    Article  PubMed  PubMed Central  Google Scholar 

  23. Nemeth Z, Kolumban S, Schmidt R, Gubas P, Kovacs K, Farkas B (2023) Self-management of vaginal cube pessaries may be a game changer for pelvic organ prolapse treatment: a long-term follow-up study. Int Urogynecol J 34(4):921–927. https://doi.org/10.1007/s00192-022-05287-2 (Epub 2022 Jul 16. PMID: 35841400; PMCID: PMC9287815)

  24. de Albuquerque Coelho SC, Brito LGO, de Araujo CC, Juliato CRT (2020) Factors associated with unsuccessful pessary fitting in women with symptomatic pelvic organ prolapse: systematic review and metanalysis. Neurourol Urodyn 39(7):1912–1921. https://doi.org/10.1002/nau.24458. (Epub 2020 Jul 10 PMID: 32649024)

    Article  PubMed  Google Scholar 

  25. Dabic S, Sze C, Sansone S, Chughtai B (2022) Rare complications of pessary use: a systematic review of case reports. BJUI Compass 3(6):415–423. https://doi.org/10.1002/bco2.174. (PMID:36267197;PMCID:PMC9579882)

    Article  PubMed  PubMed Central  Google Scholar 

  26. Miceli A, Fernández-Sánchez M, Dueñas-Díez JL (2021) How often should ring pessaries be removed or changed in women with advanced POP? A prospective observational study. Int Urogynecol J 32(6):1471–1478. https://doi.org/10.1007/s00192-021-04706-0 (Epub 2021 Feb 23. PMID: 33620536; PMCID: PMC7900800)

  27. Arias B, Ridgeway B, Barber M (2008) Complications of neglected vaginal pessaries: case presentation and literature review. Int Urogynecol 19:1173–1178. https://doi.org/10.1007/s00192-008-0574-2

    Article  Google Scholar 

Download references

Funding

No funding.

Author information

Authors and Affiliations

Authors

Contributions

AFR: protocol development, data collection, management and analysis, manuscript writing. ML: protocol development, data management. AD: data collection and management. YK: manuscript editing, data management. CR: manuscript editing, supervision. MC: protocol development, supervision, manuscript editing.

Corresponding author

Correspondence to Alessandro Ferdinando Ruffolo.

Ethics declarations

Conflict of interest

The authors declare that they have no conflict of interest.

Ethical approval

Not applicable.

Patient consent statement

Not applicable.

Additional information

Publisher's Note

Springer Nature remains neutral with regard to jurisdictional claims in published maps and institutional affiliations.

Supplementary Information

Below is the link to the electronic supplementary material.

Supplementary file1 (DOCX 461 KB)

Rights and permissions

Springer Nature or its licensor (e.g. a society or other partner) holds exclusive rights to this article under a publishing agreement with the author(s) or other rightsholder(s); author self-archiving of the accepted manuscript version of this article is solely governed by the terms of such publishing agreement and applicable law.

Reprints and permissions

About this article

Check for updates. Verify currency and authenticity via CrossMark

Cite this article

Ruffolo, A.F., Lallemant, M., Aurore, D. et al. Self-care of vaginal pessary for pelvic organ prolapse: a systematic review and meta-analysis. Arch Gynecol Obstet 309, 2367–2380 (2024). https://doi.org/10.1007/s00404-024-07506-1

Download citation

  • Received:

  • Accepted:

  • Published:

  • Version of record:

  • Issue date:

  • DOI: https://doi.org/10.1007/s00404-024-07506-1

Keywords

Profiles

  1. Alessandro Ferdinando Ruffolo