Your privacy, your choice

We use essential cookies to make sure the site can function. We also use optional cookies for advertising, personalisation of content, usage analysis, and social media, as well as to allow video information to be shared for both marketing, analytics and editorial purposes.

By accepting optional cookies, you consent to the processing of your personal data - including transfers to third parties. Some third parties are outside of the European Economic Area, with varying standards of data protection.

See our privacy policy for more information on the use of your personal data.

for further information and to change your choices.

Skip to main content

Thank you for visiting nature.com. You are using a browser version with limited support for CSS. To obtain the best experience, we recommend you use a more up to date browser (or turn off compatibility mode in Internet Explorer). In the meantime, to ensure continued support, we are displaying the site without styles and JavaScript.

  • Article
  • Published:

Most nearby young star clusters formed in three massive complexes

Abstract

Efforts to unveil the structure of the local interstellar medium and its recent star-formation history have spanned the past 70 years (refs. 1,2,3,4,5,6). Recent studies using precise data from space astrometry missions have revealed nearby, newly formed star clusters with connected origins7,8,9,10,11,12. Nonetheless, mapping young clusters across the entire sky back to their natal regions has been hindered by a lack of clusters with precise radial-velocity data. Here we show that 155 out of 272 (57%) high-quality young clusters13,14 within 1 kiloparsec of the Sun arise from three distinct spatial volumes. This conclusion is based on the analysis of data from the third Gaia release15 and other large-scale spectroscopic surveys. At present, dispersed throughout the solar neighbourhood, their past positions more than 30 million years ago reveal that these families of clusters each formed in one of three compact, massive star-forming complexes. One of these families includes all of the young clusters near the Sun—the Taurus and Scorpius–Centaurus star-forming complexes16,17. We estimate that more than 200 supernovae were produced from these families and argue that these clustered supernovae produced both the Local Bubble18 and the largest nearby supershell GSH 238+00+09 (ref. 19), both of which are clearly visible in modern three-dimensional dust maps20,21,22.

This is a preview of subscription content, access via your institution

Access options

Buy this article

¥ 4,980

Prices may be subject to local taxes which are calculated during checkout

Fig. 1: A galactic bird’s-eye (xy) view of the orbits of the clusters over time.
Fig. 2: A bird’s-eye (xy) view of the present-day positions of galactic clusters overlaid on a kiloparsec-scale, 3D dust map (greyscale).
Fig. 3: All-sky positions of the clusters’ stars and high-resolution optical images of the most notable clusters.

Similar content being viewed by others

Data availability

The table of 272 clusters constructed and analysed in this work, along with the interactive versions of Figs. 1 and 2, are publicly available at the Harvard Dataverse. The table of clusters can be downloaded at the following link and includes the clusters’ family memberships, mass estimates and estimated supernovae counts recovered in this work: https://doi.org/10.7910/DVN/VYBZQS. The interactive version of Fig. 1 can be downloaded at the following link: https://doi.org/10.7910/DVN/IDJGDW. The interactive version of Fig. 2 can be downloaded at the following link: https://doi.org/10.7910/DVN/MYWA1K.

Code availability

The code used for the analysis is available from C.S. on reasonable request. Publicly available software libraries were used, including galpy23, astropy57 and hdbscan24. The static figures were produced using the matplotlib58 and healpy59 libraries and the 3D interactive figures were made using the plotly Python library. The interactive all-sky figure was developed using the Python WorldWide Telescope (pywwt) library.

References

  1. Lindblad, P. O., Grape, K., Sandqvist, A. & Schober, J. On the kinematics of a local component of the interstellar hydrogen gas possibly related to Gould’s Belt. Astron. Astrophys. 24, 309–312 (1973).

    ADS  CAS  Google Scholar 

  2. Blaauw, A. in The Physics of Star Formation and Early Stellar Evolution (eds Lada, C. J. & Kylafis, N. D.) 125–154 (Springer, 1991).

  3. Stark, A. A. et al. The Bell Laboratories H i survey. Astrophys. J. Suppl. Ser. 79, 77–104 (1992).

    ADS  CAS  Google Scholar 

  4. Olano, C. A. The origin of the local system of gas and stars. Astron. J. 121, 295–308 (2001).

    ADS  Google Scholar 

  5. Perrot, C. A. & Grenier, I. A. 3D dynamical evolution of the interstellar gas in the Gould Belt. Astron. Astrophys. 404, 519–531 (2003).

    ADS  CAS  Google Scholar 

  6. Bally, J. in Handbook of Star Forming Regions Vol. 4 (ed. Reipurth, B.) 459–482 (Astronomical Society of the Pacific, 2008).

  7. Fernández, D., Figueras, F. & Torra, J. On the kinematic evolution of young local associations and the Scorpius-Centaurus complex. Astron. Astrophys. 480, 735–751 (2008).

    ADS  Google Scholar 

  8. Cantat-Gaudin, T. et al. Expanding associations in the Vela-Puppis region: 3D structure and kinematics of the young population. Astron. Astrophys. 626, A17 (2019).

    CAS  Google Scholar 

  9. Cantat-Gaudin, T. et al. A ring in a shell: the large-scale 6D structure of the Vela OB2 complex. Astron. Astrophys. 621, A115 (2019).

    CAS  Google Scholar 

  10. Quillen, A. C. et al. Birth sites of young stellar associations and recent star formation in a flocculent corrugated disc. Mon. Not. R. Astron. Soc. 499, 5623–5640 (2020).

    ADS  CAS  Google Scholar 

  11. Beccari, G., Boffin, H. M. J. & Jerabkova, T. Uncovering a 260 pc wide, 35-Myr-old filamentary relic of star formation. Mon. Not. R. Astron. Soc. 491, 2205–2216 (2020).

    ADS  Google Scholar 

  12. Wang, F. et al. The stellar ‘Snake’ – I. Whole structure and properties. Mon. Not. R. Astron. Soc. 513, 503–515 (2022).

    ADS  CAS  Google Scholar 

  13. Hunt, E. L. & Reffert, S. Improving the open cluster census. II. An all-sky cluster catalogue with Gaia DR3. Astron. Astrophys. 673, A114 (2023).

    ADS  Google Scholar 

  14. Gagné, J. et al. BANYAN. XI. The BANYAN Σ multivariate Bayesian algorithm to identify members of young associations with 150 pc. Astrophys. J. 856, 23 (2018).

    ADS  Google Scholar 

  15. Gaia Collaboration et al. Gaia Data Release 3. Summary of the content and survey properties. Astron. Astrophys. 674, A1 (2023).

    Google Scholar 

  16. Ratzenböck, S. et al. The star formation history of the Sco-Cen association: coherent star formation patterns in space and time. Astron. Astrophys. 678, A71 (2023).

    Google Scholar 

  17. Ratzenböck, S. et al. Significance mode analysis (SigMA) for hierarchical structures. An application to the Sco-Cen OB association. Astron. Astrophys. 677, A59 (2023).

    Google Scholar 

  18. Zucker, C. et al. Star formation near the Sun is driven by expansion of the Local Bubble. Nature 601, 334–337 (2022).

    ADS  CAS  PubMed  Google Scholar 

  19. Heiles, C. Whence the Local Bubble, Gum, Orion? GSH 238+00+09, a nearby major superbubble toward Galactic longitude 238°. Astrophys. J. 498, 689–703 (1998).

    ADS  CAS  Google Scholar 

  20. Lallement, R. et al. Gaia-2MASS 3D maps of Galactic interstellar dust within 3 kpc. Astron. Astrophys. 625, A135 (2019).

    CAS  Google Scholar 

  21. Vergely, J. L., Lallement, R. & Cox, N. L. J. Three-dimensional extinction maps: inverting inter-calibrated extinction catalogues. Astron. Astrophys. 664, A174 (2022).

    ADS  Google Scholar 

  22. Edenhofer, G. et al. A parsec-scale Galactic 3D dust map out to 1.25 kpc from the Sun. Astron. Astrophys. https://doi.org/10.1051/0004-6361/202347628 (2024).

    Article  Google Scholar 

  23. Bovy, J. galpy: a python library for galactic dynamics. Astrophys. J. Suppl. Ser. 216, 29 (2015).

    ADS  Google Scholar 

  24. McInnes, L., Healy, J. & Astels, S. hdbscan: hierarchical density based clustering. J. Open Source Softw. 2, 205 (2017).

    ADS  Google Scholar 

  25. Pelgrims, V., Ferrière, K., Boulanger, F., Lallement, R. & Montier, L. Modeling the magnetized Local Bubble from dust data. Astron. Astrophys. 636, A17 (2020).

    ADS  Google Scholar 

  26. Alves, J. et al. A Galactic-scale gas wave in the solar neighbourhood. Nature 578, 237–239 (2020).

    ADS  CAS  PubMed  Google Scholar 

  27. Konietzka, R. et al. The Radcliffe Wave is oscillating. Nature 628, 62–65 (2024).

    ADS  CAS  PubMed  Google Scholar 

  28. Kroupa, P. On the variation of the initial mass function. Mon. Not. R. Astron. Soc. 322, 231–246 (2001).

    ADS  Google Scholar 

  29. Kos, J. et al. Discovery of a 21 Myr old stellar population in the Orion complex. Astron. Astrophys. 631, A166 (2019).

    ADS  Google Scholar 

  30. Clariá, J. J., Lapasset, E., Piatti, A. E. & Ahumada, A. V. IC 2395 and BH 47: only one open cluster in the Vela constellation. Astron. Astrophys. 409, 541–551 (2003).

    ADS  Google Scholar 

  31. Fleming, G. D., Kirk, J. M. & Ward-Thompson, D. Stellar clustering and the kinematics of stars around Collinder 121 using Gaia DR3. Mon. Not. R. Astron. Soc. 523, 5306–5314 (2023).

    ADS  Google Scholar 

  32. McCray, R. & Kafatos, M. Supershells and propagating star formation. Astrophys. J. 317, 190–196 (1987).

    ADS  Google Scholar 

  33. Williams, P. M. The open cluster NGC 2451. Mon. Not. Astron. Soc. South. Afr. 26, 139–143 (1967).

    ADS  Google Scholar 

  34. Eggen, O. J. Six clusters in Puppis-Vela. Astron. J. 88, 197–214 (1983).

    ADS  Google Scholar 

  35. Maíz-Apellániz, J. The origin of the Local Bubble. Astrophys. J. 560, L83–L86 (2001).

    ADS  Google Scholar 

  36. Fuchs, B., Breitschwerdt, D., De Avillez, M. A., Dettbarn, C. & Flynn, C. The search for the origin of the Local Bubble redivivus. Mon. Not. R. Astron. Soc. 373, 993–1003 (2006).

    ADS  CAS  Google Scholar 

  37. Breitschwerdt, D. et al. The locations of recent supernovae near the Sun from modelling 60Fe transport. Nature 532, 73–76 (2016).

    ADS  CAS  PubMed  Google Scholar 

  38. Eggen, O. J. Concentrations in the Local Association – I. The southern concentrations NGC 2516, IC 2602, Centaurus-Lupus and Upper Scorpius. Mon. Not. R. Astron. Soc. 204, 377–390 (1983).

    ADS  CAS  Google Scholar 

  39. Bouy, H. & Alves, J. Cosmography of OB stars in the solar neighbourhood. Astron. Astrophys. 584, A26 (2015).

    ADS  Google Scholar 

  40. Abdurro’uf, et al. The seventeenth data release of the Sloan Digital Sky Surveys: complete release of MaNGA, MaStar, and APOGEE-2 Data. Astrophys. J. Suppl. Ser. 259, 35 (2022).

    ADS  Google Scholar 

  41. Buder, S. et al. The GALAH+ survey: third data release. Mon. Not. R. Astron. Soc. 506, 150–201 (2021).

    ADS  CAS  Google Scholar 

  42. Reid, M. J. et al. Trigonometric parallaxes of high-mass star-forming regions: our view of the Milky Way. Astrophys. J. 885, 131 (2019).

    ADS  CAS  Google Scholar 

  43. Bennett, M. & Bovy, J. Vertical waves in the solar neighbourhood in Gaia DR2. Mon. Not. R. Astron. Soc. 482, 1417–1425 (2019).

    ADS  Google Scholar 

  44. Schönrich, R., Binney, J. & Dehnen, W. Local kinematics and the local standard of rest. Mon. Not. R. Astron. Soc. 403, 1829–1833 (2010).

    ADS  Google Scholar 

  45. Gieles, M. et al. Star cluster disruption by giant molecular clouds. Mon. Not. R. Astron. Soc. 371, 793–804 (2006).

    ADS  CAS  Google Scholar 

  46. McMillan, P. J. The mass distribution and gravitational potential of the Milky Way. Mon. Not. R. Astron. Soc. 465, 76–94 (2017).

    ADS  CAS  Google Scholar 

  47. Irrgang, A., Wilcox, B., Tucker, E. & Schiefelbein, L. Milky Way mass models for orbit calculations. Astron. Astrophys. 549, A137 (2013).

    ADS  Google Scholar 

  48. Dehnen, W. & Binney, J. J. Local stellar kinematics from HIPPARCOS data. Mon. Not. R. Astron. Soc. 298, 387–394 (1998).

    ADS  Google Scholar 

  49. Kerr, F. J. & Lynden-Bell, D. Review of galactic constants. Mon. Not. R. Astron. Soc. 221, 1023–1038 (1986).

    ADS  Google Scholar 

  50. Strehl, A. & Ghosh, J. Cluster ensembles – a knowledge reuse framework for combining multiple partitions. J. Mach. Learn. Res. 3, 583–617 (2002).

    MathSciNet  Google Scholar 

  51. Blaauw, A. The O associations in the solar neighborhood. Annu. Rev. Astron. Astrophys. 2, 213–246 (1964).

    ADS  Google Scholar 

  52. de Zeeuw, P. T., Hoogerwerf, R., de Bruijne, J. H. J., Brown, A. G. A. & Blaauw, A. A HIPPARCOS census of the nearby OB associations. Astron. J. 117, 354–399 (1999).

    ADS  Google Scholar 

  53. Bressan, A. et al. parsec: stellar tracks and isochrones with the PAdova and TRieste Stellar Evolution Code. Mon. Not. R. Astron. Soc. 427, 127–145 (2012).

    ADS  CAS  Google Scholar 

  54. Meingast, S., Alves, J. & Rottensteiner, A. Extended stellar systems in the solar neighborhood: V. Discovery of coronae of nearby star clusters. Astron. Astrophys. 645, A84 (2021).

    ADS  Google Scholar 

  55. Almeida, A., Monteiro, H. & Dias, W. S. Revisiting the mass of open clusters with Gaia data. Mon. Not. R. Astron. Soc. 525, 2315–2340 (2023).

    ADS  Google Scholar 

  56. Chakraborti, S. & Ray, A. An expanding neutral hydrogen supershell evacuated by multiple supernovae in M101. Astrophys. J. 728, 24 (2011).

    ADS  Google Scholar 

  57. Astropy Collaboration et al. The Astropy Project: sustaining and growing a community-oriented open-source project and the latest major release (v5.0) of the core package. Astrophys. J. 935, 167 (2022).

    ADS  Google Scholar 

  58. Hunter, J. D. Matplotlib: a 2D graphics environment. Comput. Sci. Eng. 9, 90–95 (2007).

    Google Scholar 

  59. Zonca, A. et al. healpy: equal area pixelization and spherical harmonics transforms for data on the sphere in Python. J. Open Source Softw. 4, 1298 (2019).

    ADS  Google Scholar 

Download references

Acknowledgements

We thank B. Elmegreen for his helpful discussion on the results presented in this work. We also thank J. Carifio for his assistance in developing the all-sky interactive figure. J.A. was co-funded by the European Union (ERC, ISM-FLOW, 101055318). Views and opinions expressed are, however, those of the author(s) only and do not necessarily reflect those of the European Union or the European Research Council. Neither the European Union nor the granting authority can be held responsible for them. S. Ratzenböck acknowledges funding by the Austrian Research Promotion Agency (FFG; https://www.ffg.at/) under project number FO999892674. J.G. acknowledges funding by the FFG under project number 873708. J.G. gratefully acknowledges the Collaborative Research Center 1601 (SFB 1601 sub-project A5) financed by the Deutsche Forschungsgemeinschaft (DFG, German Research Foundation) – 500700252. A.G. and C.Z. acknowledge support by NASA ADAP grant 80NSSC21K0634 ‘Knitting Together the Milky Way: An Integrated Model of the Galaxy’s Stars, Gas, and Dust’. C.Z. acknowledges that support for this work was provided by NASA through the NASA Hubble Fellowship grant no. HST-HF2-51498.001 awarded by the Space Telescope Science Institute (STScI), which is operated by the Association of Universities for Research in Astronomy, Inc., for NASA, under contract NAS5-26555. This project was partly developed at the Lorentz Center workshop ‘Mapping the Milky Way’, held in Leiden, the Netherlands, in February 2023. We acknowledge Interstellar Institute’s programme ‘II6’ and the Paris-Saclay University’s Institut Pascal for hosting discussions that nourished the development of the ideas behind this work. This work has made use of data from the European Space Agency (ESA) mission Gaia (https://www.cosmos.esa.int/gaia), processed by the Gaia Data Processing and Analysis Consortium (DPAC; https://www.cosmos.esa.int/web/gaia/dpac/consortium). Funding for the DPAC has been provided by national institutions, in particular the institutions participating in the Gaia Multilateral Agreement.

Author information

Authors and Affiliations

Authors

Contributions

C.S. led the work and wrote most of the text. All authors contributed to the text. C.S., J.A., R.B. and S. Ratzenböck led the data analysis, aided by J.G. and E.L.H. C.S., J.A. and R.B. led the interpretation of the results, aided by N.M.-R., J.G., S.M., R.K. and C.Z. C.S., N.M.-R., E.L.H. and S. Reffert led the compilation of the stellar cluster catalogue. C.S., J.A. and A.G. led the visualization efforts.

Corresponding author

Correspondence to Cameren Swiggum.

Ethics declarations

Competing interests

The authors declare no competing interests.

Peer review

Peer review information

Nature thanks John Bally and the other, anonymous, reviewer(s) for their contribution to the peer review of this work.

Additional information

Publisher’s note Springer Nature remains neutral with regard to jurisdictional claims in published maps and institutional affiliations.

Extended data figures and tables

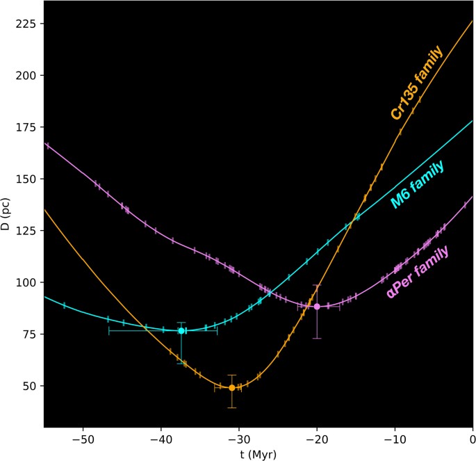
Extended Data Fig. 1 Sizes of each family computed for each time step of their orbits.

Dots demarcate the time steps and sizes of most compactness for a family. The error bars represent the 16th and 86th percentiles for the most compact size and the associated time, as determined from 1,000 bootstrap samples of clusters randomly selected from a given family. The ticks along the size evolution profile of each family indicate the birth times of individual clusters within that family.

Extended Data Fig. 2 Histograms of cluster family age distributions.

Each histogram shows the number of clusters born as a function of lookback time for each cluster family. The bin widths were chosen on the basis of the median age error. The y axis shows the fraction of a family’s stars in each age bin. The names of notable clusters are listed above their respective age bins.

Supplementary information

Supplementary Information

This file includes links to access Supplementary Figs. 1–3 and the legend for Supplementary Table 1.

Supplementary Table 1

This data table includes the parameters of the 272 clusters combined from refs. 13,14 used in this work. The csv file and its column descriptions are available at the following link: https://doi.org/10.7910/DVN/VYBZQS.

Rights and permissions

Springer Nature or its licensor (e.g. a society or other partner) holds exclusive rights to this article under a publishing agreement with the author(s) or other rightsholder(s); author self-archiving of the accepted manuscript version of this article is solely governed by the terms of such publishing agreement and applicable law.

Reprints and permissions

About this article

Check for updates. Verify currency and authenticity via CrossMark

Cite this article

Swiggum, C., Alves, J., Benjamin, R. et al. Most nearby young star clusters formed in three massive complexes. Nature 631, 49–53 (2024). https://doi.org/10.1038/s41586-024-07496-9

Download citation

  • Received:

  • Accepted:

  • Published:

  • Version of record:

  • Issue date:

  • DOI: https://doi.org/10.1038/s41586-024-07496-9

Nature Briefing

Sign up for the Nature Briefing newsletter — what matters in science, free to your inbox daily.

Get the most important science stories of the day, free in your inbox. Sign up for Nature Briefing