【驚くほど簡単!】ガチ文系でも1発合格できた!建築物環境衛生管理技術者 試験(ビル管理士試験)の計算問題 完全攻略①
私は2024年の建築物衛生管理者試験(以下、ビル管)に一発で合格できました!144/180で80%で合格でした。
ビル管試験を勉強していて計算問題は
「どうやって勉強したらよいかわからない」
「難しくて捨て問でしょ?」
「計算問題が苦手でいつも時間が足りない」
「そもそも計算問題の意味がよくわからない」
と考えている人はたくさんいると思います。そんな悩みをお持ちのあなたも、もう大丈夫!
私を含めて、文系の人が悩むのが計算問題です。そもそも計算が嫌いで文系を選択した人が資格試験で計算問題を解かないと合格には近づけないので辛いところです。
ビル管対策のWebサイトやテキスト、問題集はたくさんありますが、どのサイトも計算問題の解答はあっても、その解答に導かれる過程(途中式)が記載されているところは少ないと感じています。
ビル管試験は中学数学までできれば大体は解答することはできます。しかし、私は恥ずかしながら小学校算数すらきちんと理解できずに、大人になってしまいました。
そんな人はきっと多いはずです。
このnoteではビル管試験計算問題の過去問を使って、計算過程(途中式)をわかりやすくお伝えします。赤本も黒本も他テキストを読んでいてもなぜその計算過程なのか?を記載している部分はありません。
そして私はビル管試験を解説しているサイトはページを読んでいるときに、突然全面広告が表示されたりしてイライラしました。
また、わかる人にはわかる解説しか記載してないです。私が勉強しているときに「なんでこの計算はこうなるの?」と思った疑問点は文系の人はほぼ感じると思ってます。
このnoteで得られること
・計算問題の基礎がゼロからわかる!
・計算プロセスをシンプルに、ミスを減らすために計算の途中式が満載!
・本番で焦らず、自信を持って問題を解けるようになる!
このnoteを読めば、計算問題があなたの得点源に変わります。 難解な計算問題も、スイスイ解けるようになり、合格へグッと近づきます。
注意点としては、このnoteの内容は【本当にただ単に計算問題を解く】ということだけに特化しています。理論等を詳しく知りたい人には合わない可能性があります。
また、あくまで計算の過程は私が理解した解答方法なので記載した計算方法以外にも解き方はありますのでそこらへんをご了承ください。
こんな面倒くさい資格は何回も受けるのは精神的につらいので計算問題を解けるようにして点数の底上げをして、1回で合格できるようやっていきましょう。
自分の試験結果について
①建築物衛生行政概論 16/20 正答率80%
②建築物の環境衛生 19/25 正答率76%
③空気環境の調整 37/45 正答率82%
④建築物の構造概論 11/15 正答率73%
⑤給水及び排水の管理 33/35 正答率94%
⑥清掃 19/25 正答率76%
⑦ねずみ、昆虫等の防除 12/15 正答率80%
合計 144/180 合計正答率80%
以上、144/180で正答率80%で合格でした。出題された計算問題は空気環境の調整で3問のみ。2024年は計算問題を落としてもあまり問題はなかったですね。
各単元の印象は、ほぼ必ず毎年出題されるトリッキーな問題は相変わらず出題されていました。2024年は【建築物の環境衛生】の加熱式タバコについての問題がそれにあたります。
※加熱式タバコを吸っている人には常識的な問題だったのかも?しれません。自分はタバコは吸わないのでわからなかったです。しかし加熱式たばこを深堀した問題は2024年が初めてだったと思います。
また【ねずみ、昆虫等の防除】でゴキブリの絵が問題で記載されていました。これは勘弁してほしかったです。ゴキブリ嫌いなので…。
自分が使用したテキスト・問題集・勉強サイト・勉強方法
テキスト・問題集
ビル管理士試験模範解答集【通称:赤本】
オススメ度:★★★☆☆
赤本は王道の問題集です。どの問題もだいたい詳しく解説してあります。
本当に試験に出題される大事な問題も、ほぼ出題されない問題もほぼ同じテンションで解説が記載されているので何か大事か、何を捨てればよいのかの判断が難しいです。なので勉強の中心にするのはガチ文系の皆さんはやめておいたほうが良いと思います。
メリット
・ビル管試験の問題傾向を知れる
・問題の詳しい解説が知れる。
デメリット
・本が大きいので持ち運びしにくい
・解説が詳しすぎてわけわからなくなる
・問題の重要度がわからない
オススメ度:★★★☆☆
最初のほうに三回読んだだけでそれ以降まったく使用しませんでした。このテキストだけではビル管試験合格するのは難しいのかなと考えてます。知識の土台作りくらいの気持ちで読むのが良いです。またテキスト自体が大きいので持ち運ぶときに割と苦労します。
メリット
・ビル管試験の内容をだいたい知ることができる
・赤本にも書いていない内容が記載されている
デメリット
・試験に関係ない内容が記載されがち
・本が大きいので持ち運びしにくい
・テキストに記載されているゴロ合わせが覚えにくい
オススメ度:★★☆☆☆
最初は移動時間に読んでましたが時が経つと使用しなくなりました。一番使用しなかった問題集でした。
メリット
・〇×形式で簡単に勉強できる
・問題数が多い
・本が小さいので持ち運びしやすい
・割と覚えやすいゴロ合わせがある
デメリット
・過去問にもない問題が〇×ででてきているような気がする
勉強サイト
テキスト、問題集だけでは正直合格は難しいと思います。今はネット上に大変使いやすくわかりやすいビル管試験対策サイトがあります。
その中で自分は下記の3サイトを中心に勉強しておりました。個人的に役に立った順で上から並べています。
オススメ度:★★★★★
単元ごと覚えなければいけないことの要点がまとめられているサイトです。隙間時間で勉強するには最適なサイトです。各単元の本当に必要なことしか書いてないので、効率よく勉強できます。また計算問題がまとめられていて勉強にとても役立ちました。
オススメ度:★★★★★
最新年から10年分以上過去問がまとめられていて、解説文も読みやすいです。計算問題もある程度わかりやすくは書いてあるのですが、めちゃくちゃ詳しく記載されている、とは感じなかったです。
オススメ度:★★★★☆
計算問題もあり、解説、単元ごとの解説、模擬試験(有料)などコンテンツは豊富です。自分は単元ごとの解説と計算問題を触ってました。
勉強方法
簡単に自分の勉強方法を記載しておきます。
2024年10月の試験を目標に、2023年12月頃から勉強を開始する。
2023年12月~2024年2月中旬頃
まずは、「ビル管理士試験合格テキスト」を三回ほど読む。
【この段階ではまったく内容は理解できなかった】
2024年2月中旬頃~2024年5月頃
次に赤本を一周する。
【この段階でも内容はまったく理解できず】
赤本を解くのがだいぶ苦痛になり進捗は遅くなりました。
※自分は結構変なやり方をしていて、
たとえば2022年の問題を一通り解く→解説をすべて読む→もう一度解く
このように一回やってみてその後もう一度同じ年の問題を解いていきます。それで少しは脳に記憶させられたと思っています。
最初は全体で40%くらいしか正解できませんでした。
【当然計算問題は一つも正解できませんでした】
※最初は一単元ごとしか集中力が持たなかったです。1年分まるまる解くことは実施しませんでした。いや、できませんでした。というか最後まで1年分を一気に解いたことはありません。
最大でも午前のみ、午後のみの半分です。
2024年5月頃~ほぼ試験間近の9月末まで
赤本を繰り返して勉強していくのはきついと判断。なのでその後は、1年分の問題を解答したら、【デキる!ビル管試験対策講座】の計算問題を一周する→次の年の問題を解答→計算問題を一周…という流れでした。
上記ルーティーンを繰り返ししてました。
そして、試験開催日三週間前に、受ける年の前の年【その時点での最新年】の問題を解答しました。
※自分は2024年に試験を受けるたので、最新は2023年の問題となる
過去9年分(2023年~2015年)をひたすらに繰り返し、特に令和に入った4年分(2022~2019年)は平成分より数多く繰り返しました。
試験日3日前からは過去問を解くのをやめ、苦手な空気環境と建築物の環境衛生の2単元をデキビルさんで特に読み込み、計算問題を一周させ試験当日を迎えました。
以上が私の勉強方法です。2023年12月~2024年10月までの約10ヶ月間が合計勉強期間です。半年や3ヶ月で合格した!という言葉をよくみかけますが、効率よく、集中を一切切らさず、暗記力がある人なら可能です。
しかし私を含め凡人の大多数は多くの勉強時間を取るしか合格の道はありません。そして働きながら勉強する人が大半だと思います。出社中、お昼休憩中、退勤中、退勤後の時間等探せば使える時間は多々あります。隙間時間を使って勉強サイトを使って知識を頭に入れていきましょう。
また私は自宅で勉強しようとするとすぐ寝落ちしてしまい、まったく勉強できなかったです。なので、会社の最寄り駅にある自習室の一席を借りました。退勤後と休日はそこで勉強していました。休日は朝から晩まで自習室で勉強しました。
自習室はだいたい月額1万円くらいで利用できました。集中して勉強できる場を探している人には良いかもしれません。自習室に来ている人は同じように資格の勉強をしている人や大学受験の勉強して人等なので同じように合格を目指し、がんばっている人を見てモチベーションがアップしました。
■計算問題の特訓サイト
・デキる!ビル管試験対策講座(受験者向け勉強サイト)内の【計算問題対策】で大体の内容を繰り返し勉強できます
・ビル管理士総合情報.com内の【計算問題特訓のページ】でデキビルさんに記載がない計算問題を解くことができ、より安心できます
なお、本noteは計算のやり方を提示するだけです。なので、繰り返し問題を解いて頭に定着させるのであれば、上記2つのサイトで繰り返し問題を解くことで頭に定着させることができます。
なので、上記2つのサイトで計算問題を解こうとするときに、本noteを横目で開いておいて、計算方法を確認して計算問題への理解を深めてください。そして、一通り確認し解き方が理解できたら繰り返し問題を解くという流れで勉強していく、という感じで進めていっていただければ。
では、下記より計算問題スタートです。
建築物衛生管理者試験(ビル管)の計算問題の解説
建築物の環境衛生 水溶液の濃度
この水溶液の問題は【建築物の環境衛生】の単元で出題される問題です。
10年中7回出題されている問題です。3種類の問題があります。
【必要となる●%溶液の量を求める】【次亜塩素酸ナトリウム濃度を求める】【加える水の量を求める】の3種類です。
一度パターンを覚えれば難なく解答できますが、3種類を何度も解いていくと文系だと頭がごちゃごちゃになっていって間違える可能性があります。3種類のすべての解答をすれば良いじゃないかと考える方もいらっしゃいますが、他2パターンの解答も間違いの選択肢で出ていることがあります。
なので、文章の出題からどのパターンに当てはまるか?を考えればおのずと正解を導き出すことが可能です。
そして選択肢から正解解答の「単位」がわかります。そこから、どの種類の問題か?を推察することができ正しい解答を導き出すことができると思います。
★必要となる●%溶液の量を求める
近年一番出題されているパターンです。正解の単位が「ml」なので最終的にその単位になるように計算を順序良くしていけば解答できます。
問題【2023(令和5)年45問目】
5%溶液の次亜塩素酸ナトリウムを水で希釈して200mg/Lの濃度の溶液を10L作る場合、必要となる5%溶液の量を答えなさい。
1.0.4ml 2.2ml 3.4ml 4.20ml 5.40ml
解答のやり方
①200mg/Lの濃度の溶液を10L作る
→200mg/L×10Lを計算する
計算の大前提★★★計算式ではかけたり・割ったりしたら、同じ単位は消されてなくなる★★★
→そうなると、2000mg【mg/LのLは消されてなくなりmgのみ残った状態】となる
②ここから単位をmg→ml変換する【解答がmlなのでそれに合わせる為】Yahoo!知恵袋にml⇔mgの詳しく解説が載ってますので、ちゃんと理解したい人は読んでみてください。
※正直まったく読まなくても大丈夫です。https://detail.chiebukuro.yahoo.co.jp/qa/question_detail/q1412644184
→そうなると、2000mgは2mlとなる
③この2mlという数字は次亜塩素酸ナトリウム溶液の5%の量と同等なので、5%を100%とするためには20倍する必要がある
→そうなると、2ml×20倍=40mlが答えとなる
★次亜塩素酸ナトリウム濃度を求める
正解の単位が「mg/L」なので最終的にその単位になるように計算を順序良くしていけば解答できます。
問題【2019(令和元)年45問目】
6%次亜塩素酸ナトリウム溶液100mLを水30Lに加えた場合、この濃度の次亜塩素酸ナトリウム濃度に最も近いものは次のうちどれか。
1.20mg/L 2.60mg/L 3.100mg/L 4.200mg/L 5.300mg/L
解答のやり方
①6%の次亜塩素酸ナトリウム溶液100mlを計算する
→そうなると、100ml×6%=6mlとなる
②ここから単位をml→mg変換する【解答がmg/Lなのでそれに合わせる為】→そうなると、6mlは6000mgとなる
③溶液の濃度6000mgに水30Lを加えると答えがでる
→そうなると、6000mg÷30L=200mg/L【割るので単位がくっつく】が答えとなる
計算の大前提★★★計算式ではかけたり・割ったりしたら、違う単位はくっつく★★★
★加える水の量を求める
正解の単位が「L」なので最終的にその単位になるように計算を順序良くしていけば解答できます。
問題【2018(平成30)年45問目】
5%溶液として市販されている次亜塩素酸ナトリウム16mLに水を加え、およそ20mg/Lの濃度に希釈するときに加える水の量として、最も近いものは次のうちどれか。
1.0.8L 2.3.2L 3.4L 4.32L 5.40L
解答のやり方
①5%溶液として市販されている次亜塩素酸ナトリウム16mLに水を加える
→そうなると、16ml×5%(0.05)=16ml×5/100=0.8ml
②ここから単位をml→mg変換する
→そうなると、0.8mlは800mgとなる
③20mg/Lの濃度に希釈する
→そうなると、800mg÷20mg/L=40L【mg/Lのmgは消されてなくなりLのみ残った】
計算の大前提★★★計算式ではかけたり・割ったりしたら、同じ単位は消されてなくなる★★★
空気環境の測定 伝熱
この伝熱の問題は【空気環境の測定】の単元で出題される問題です。
公式を覚えましょう。
貫流熱量(W)=①熱貫流率(W/m²・K)×②温度差(℃)×③壁面積(m²)
①の部分には【熱貫流率(W/m²・K)】と【熱貫流抵抗(m²・K)/W】の2種類がある。
→熱貫流率と問題文章に記載あった場合はそのまま、熱貫流抵抗と記載あったの場合は逆数にすること
※逆数にするとは…文章中は5だった場合、1/5の表記に直すこと
②の部分には【室温-外気温】の差し引きを入れる。
③の部分には【日射が当たらない条件で床面を地表面に固定】=5面と【床面が地表面から浮いた状態で固定】=6面の2種類の表記があります。
・【日射が当たらない条件で床面を地表面に固定】の場合は縦●m×横●m×5面
・【床面が地表面から浮いた状態で固定】の場合は縦●m×横●m×6面
答えは、外壁を通過する熱量【W】、壁の熱貫流率【W/(m²・K)】、室内空気温度【℃】の3種類あります。
それによってどこに何の数字を代入するかがわかります。
★外壁を通過する熱量を求める
公式の右辺にそのまま問題文章内の数値を入れ込むだけで簡単に解くことができます。一番簡単です。
問題1【2019(令和元年)年48問目】
面積8m²の外壁の熱貫流(熱通過)抵抗が2.0m²・K/Wであったとする。外気温度が-5℃のときに室温20℃とすると、外壁を通過する熱量として、正しいものは次のうちどれか。
1.60W 2.80W 3.100W 4.400W 5.800W
解答のやり方
公式→貫流熱量(W)=①熱貫流率(W/m²・K)×②温度差(℃)×③壁面積(m²)
①は文章内には【熱貫流抵抗が2.0m²・K/W】と記載あり、逆数で計算をする
→そうなると、2.0→1/2を代入する
②は温度差は文章に【気温度が-5℃のときに室温20℃とする】と記載あるので、公式通り代入する
→そうなると、室温-外気温なので20℃-(-5℃)=20℃+5℃=25℃を代入する
③は外壁の面積8m²は今回は計算なしで、もう面積がでています
→そうなると、そのまま8m²は代入する
最終的には
熱量【W】=1/2×25℃×8m²=100Wとなる
計算の途中式は以下参照
問題2【2018(平成30年)年49問目】
一辺が4mの正方形の壁材料を組合せて立方体の室を作り、日射が当たらない条件で床面に固定した。壁材料の熱貫流率を1.25W/(m²・K)、隙間換気は無視できるとし、外気温度が0℃の条件下で内部を加熱したところ、十分に時間が経過した後の室温度が25℃になった。なお、床面は完全に断熱されており、床を通しての熱移動はない。
このとき、室内での発熱量として、最も適当なものは次のうちどれか。
1.1300W 2.1600W 3.2000W 4.2500W 5.3000W
解答のやり方
公式→貫流熱量(W)=①熱貫流率(W/m²・K)×②温度差(℃)×③壁面積(m²)
①は文章内には【熱貫流率を1.25W/(m²・K)】と記載があり、そのままで計算する
→そうなると、そのまま1.25W/(m²・K)を代入する
②は温度差は文章に【外気温度が0℃の条件下で内部を加熱したところ、十分に時間が経過した後の室温度が25℃】と記載あるので、公式通り代入する
→そうなると、室温-外気温なので25℃-0℃=25℃を代入する
③は面積は文章内には【一辺が4mの正方形の壁材料を組合せて立方体の室を作り、日射が当たらない条件で床面に固定】と記載。今回は床面に固定なので縦●m×横●m×5面で計算し代入する
→そうなると、4m×4m×5面=80m²となり、代入する
最終的には
熱量【W】=1.25W/(m²・K)×25℃×80m²=2500Wとなる
計算の途中式は以下参照
★壁の熱貫流率【W/(m²・K)】を求める
公式の両辺にそのまま問題文章内の数値を入れ込むだけで解くことができます。割り算が苦手な人はつまづく可能性あり。
問題【2024(令和6年)年47問目】
一辺が3mの正方形の壁材料を組み合わせて天井を含む立方体の室を作り、日射が当たらない条件で床面を地表面に固定した。隙間換気は無視できるとし、外気温度が -4℃の条件下で内部を1350Wの発熱により加熱したところ、十分に時間が経過した後の室温度が20℃になった。なお、床面は完全に断熱されており、床を通しての熱貫流はない。このとき、壁の熱貫流率として、最も適当なものは次のうちどれか。
1.1.05W/(m²・K) 2.1.25W/(m²・K) 3.1.50W/(m²・K) 4.1.60W/(m²・K) 5.2.10W/(m²・K)
解答のやり方
公式→貫流熱量(W)=①熱貫流率(W/m²・K)×②温度差(℃)×③壁面積(m²)
今回は、①の熱貫流率を求める問題なので、Xを代入します
②は温度差は文章に【外気温度が -4℃の条件下で内部を1350Wの発熱により加熱したところ、十分に時間が経過した後の室温度が20℃】と記載あるので、公式通り代入する
→そうなると、1350Wは公式の左辺に代入する数字。
右辺の温度差は(室温-外気温)なので20℃-(-4℃)=20℃+4℃=24℃を代入する
③は面積は文章内には【一辺が3mの正方形の壁材料を組み合わせて天井を含む立方体の室を作り、日射が当たらない条件で床面を地表面に固定】と記載。今回は床面に固定なので縦●m×横●m×5面で計算し代入する
→そうなると、3m×3m×5面=45m²となり、代入する
最終的には
1350W=【X】W/(m²・K)×24℃×45m²=1.25W/(m²・K)となる
計算の途中式は以下参照
★室内空気温度【℃】を求める
公式の両辺にそのまま問題文章内の数値を入れ込むだけで解くことができます。割り算が苦手な人はつまづく可能性あり。
問題【2022(令和4年)年49問目】
一辺が3mの正方形の壁材料を組み合わせて立方体の室を作り、日射が当たらない条件で床面が地表面から浮いた状態で固定した。床と天井を含む壁材料の熱貫流抵抗を0.4(m²・K)/W、隙間換気は無視できるとし、外気温度が10℃の条件下で内部を1620Wで加熱した。十分に時間が経過した後の室内空気温度として、最も適当なものは次のうちどれか。
1.12℃ 2.22℃ 3.28℃ 4.32℃ 5.40℃
解答のやり方
公式→貫流熱量(W)=①熱貫流率(W/m²・K)×②温度差(℃)×③壁面積(m²)
今回は、②の温度差から室内空気温度を求める問題なので、Xを代入します
①は文章内には【熱貫流抵抗を0.4(m²・K)/W】と記載あり、逆数で計算をする
→そうなると、0.4→1/0.4を代入する
②は温度差は文章に【外気温度が10℃の条件下で内部を1620Wで加熱した。】と記載あるので、公式通り代入する
→そうなると、1620Wは公式の左辺に代入する数字。
右辺の温度差は(室温-外気温)なので(X℃-10℃)をそのまま代入する
③は面積は文章内には【一辺が3mの正方形の壁材料を組み合わせて立方体の室を作り、日射が当たらない条件で床面が地表面から浮いた状態で固定】と記載。今回は床面から浮いているので縦●m×横●m×6面で計算し代入する
→そうなると、3m×3m×6面=54m²となり、代入する
最終的には
1620W=1/0.4W/(m²・K)×(X℃-10℃)×54m²=22℃となる
計算の途中式は以下参照
★外壁の単位面積当たりの熱流量を求める問題
正方形の問題より割とややこやしい問題です。個人的には嫌いです。できれば出題されないでくれと思ってました。
おそらく問題は室内側、室外側、A部材、B部材の4つに分かれています。
準備1 文章にでてきた数値を改めて図に書き込みする
準備2 cmとmの単位を合わせる
準備3 4つとも熱伝達抵抗にする
【厚み÷熱伝達率】or【熱伝達抵抗【X】=熱伝達率の逆数【1/X】】
①室内側、室外側、A部材、B部材の全体の熱貫流率を求める
②熱流量は温度差(℃)÷熱貫流抵抗で求められる。
※これは最後にこういう計算をする、とだけ覚えておいてください
A,B部材の単位がcmになっていて、求める単位はmで単位を変換しないと解答までたどり着けないなんて意地悪い問題も出題されてます。
必ず問題文を落ち着いてよく読み、単位変換を忘れないようにしてください。
問題1【2023(令和5年)年47問目】
図のようなA部材とB部材からなる外壁がある。いま、A部材とB部材の厚みと熱伝導率がそれぞれ14cmと1.4W/(m・K)、5cmと0.2W/(m・K)であり、室内側熱伝達率と屋外側熱伝達率がそれぞれ10W/(m²・K)、20W/(m²・K)であるとする。室内と屋外の温度差が20℃であるとき、この外壁の単位面積当たりの熱流量として、正しいものは次のうちどれか。
1.0.7W/m² 2.1.4W/m² 3.10W/m² 4.40W/m² 5.56W/m²
解答のやり方
準備1 文章で出てきた数値を図に当てはめてみる。
準備2 cmとmの単位を合わせる
問題文より、
・A部材→14cmは答えがm²で解答されているので、14cmをmに変換すると0.14mとなる
・B部材→5cmは答えがm²で解答されているので、5cmをmに変換すると0.05mとなる
準備3 4つとも熱伝達抵抗にする
【熱伝達抵抗【X】=熱伝達率の逆数【1/X】or【厚み÷熱伝達率】】
・室内側熱伝達率を熱伝達抵抗へ変換→10W/(m²・K)→1/10m²・K/W=0.1m²・K/W
・室外側熱伝達率を熱伝達抵抗へ変換→20W/(m²・K)→1/20m²・K/W=0.05m²・K/W
・A部材→【厚み÷熱伝達率=熱伝達抵抗】より【0.14m÷1.4W/(m・K)=0.1m²・K/W】
計算の途中式は以下参照
・B部材→【厚み÷熱伝達率=熱伝達抵抗】より【0.05m÷0.2W/(m・K)=0.25m²・K/W】
計算の途中式は以下参照
①室内側、室外側、A部材、B部材の全体の熱貫流率を求める
全体の熱貫流率【m²・K/W】=0.1m²・K/W【室内側熱伝達抵抗】+0.05m²・K/W【室外側熱伝達抵抗】+0.1m²・K/W【A部材熱伝達抵抗】+0.25m²・K/W【B部材熱伝達抵抗】=0.5m²・K/W
②熱流量は温度差(℃)÷熱貫流抵抗で求められる。
→そうなると、温度差は文章中に20℃と与えられているので、20℃÷0.5m²・K/W=40W/m²となる
問題2【2013(平成25年)年48問目】
下の図のようなA部材とB部材からなる外壁がある。いま、A部材とB部材の熱伝導抵抗がそれぞれ0.95m²・K/W、0.4m²・K/Wであり、室内側熱伝達率と屋外側熱伝達率がそれぞれ10W/(m²・K)、20W/(m²・K)であるとする。室内と屋外の温度差が20℃であるとき、この外壁の単位面積当たりの熱流量として、正しいものは次のうちどれか。
1.0.5W 2.2W 3.10W 4.20W 5.30W
解答のやり方
準備1 文章で出てきた数値を図に当てはめてみる。
準備2 cmとmの単位を合わせる→今回はすべて単位がそろっているので不要です
準備3 4つとも熱伝達抵抗にする【熱伝達抵抗【X】=熱伝達率の逆数【1/X】or【厚み÷熱伝達率】】
・室内側熱伝達率を熱伝達抵抗へ変換→10W/(m²・K)→1/10m²・K/W=0.1m²・K/W
・室外側熱伝達率を熱伝達抵抗へ変換→20W/(m²・K)→1/20m²・K/W=0.05m²・K/W
・A部材→文章中より熱伝達抵抗は0.95m²・K/W
・B部材→文章中より熱伝達抵抗は0.4m²・K/W
①室内側、室外側、A部材、B部材の全体の熱貫流率を求める
全体の熱貫流率【m²・K/W】=0.1m²・K/W【室内側熱伝達抵抗】+0.05m²・K/W【室外側熱伝達抵抗】+0.95m²・K/W【A部材熱伝達抵抗】+0.4m²・K/W【B部材熱伝達抵抗】=1.5m²・K/W
②熱流量は温度差(℃)÷熱貫流抵抗で求められる。
→そうなると、温度差は文章中に15℃と与えられているので、15℃÷1.5m²・K/W=10Wとなる
★壁の室内側表面温度を求める問題
① 壁の熱貫流率×(室外温度ー室内温度)×壁の面積【問題文に定義されていないのでXとする】=壁を通過する熱量 を計算する
※これは壁を通過する熱の伝達量と同じと考えられる
② 【①で出た数値】=【文章内の室内or外 伝達率】×(【室内or外 温度】ー壁表面温度)×壁の面積【問題文に定義されていないのでXとする】
以上、問題文を上記2つへ当てはめていけば解くことができます
問題【2018(平成30年)年48問目】
壁体の熱貫流率が4W/(m²・K)であるとき、室内温度が24℃、室外温度が4℃であった。この壁の室内側表面温度に、最も近いものは次のうちどれか。
ただし、室内側熱伝達率を10W/(m²・K)、室外側熱伝達率を20W/(m²・K)とする。
1.8℃ 2.12℃ 3.14℃ 4.16℃ 5.20℃
解答のやり方
① 壁の熱貫流率×(室外温度ー室内温度)×壁の面積【問題文に定義されていないのでXとする】=壁を通過する熱量 を計算する
壁体の熱貫流率が4W/(m²・K)が壁の熱貫流率に入り
室内温度が24℃、室外温度が4℃が(室外温度ー室内温度)に入る→24℃ー4℃=20℃
→そうなると、4W/(m²・K)×20℃×X=80Xとなる
② 【①で出た数値】=【文章内の室内or外 伝達率】×(【室内or外 温度】ー【室内or室外】壁表面温度)を計算する
今回は、【この壁の室内側表面温度に、最も近いものは次のうちどれか】と問われているので
室内温度伝達率が今回は代入される。→室内側熱伝達率は10W/(m²・K)
次に、室内側表面温度を問われているので【室内or外 温度】の部分には【室内温度】が代入される
→24℃を入れることになり、問題は室内側表面温度を問われているのでここの部分は【X】が入る
→そうなると、80X=10W/(m²・K)×(24℃ー室内壁表面温度)×X→式を変形すると80X=10X(24ー室内壁表面温度)
80X/10X=24ー室内壁表面温度
8=24ー室内壁表面温度→ 室内壁表面温度=16
空気環境の測定 水平面照度
この水平面照度の問題は【空気環境の測定】の単元で出題される問題です。10年中6回出題されている問題です。2種類の問題があります。【点光源直下●mの水平面照度を求める】【直射日光による水平面照度を求める】の2種類です。二つとも簡単なので何回か繰り返し解答をすれば確実に点数にできるサービス問題です。
★点光源直下●mの水平面照度を求める
この問題は次の式の通り解答しましょう。
① 【文章に表示されているルクス】✖【文章最初の点光源直下●m】の2乗
② 【①で出た数値】÷【文章に次に表示されているルクス】の2乗
の2ステップで簡単に答えが出ます。
問題1【2021(令和3年)年90問目】
点光源直下3.0mの水平面照度が450lxである場合、点光源直下1.0mの水平面照度として、最も近いものは次のうちどれか。
1.450lx 2.900lx 3.1,350lx 4.4,050lx 5.4,500lx
解答のやり方
① 【文章に表示されているルクス】✖【文章最初の点光源直下●m】の2乗→450ルクス✖(3.0m)の2乗 を計算する
→そうなると、450✖9=4050lxとなる
② 【①で出た数値】÷【文章に次に表示されているルクス】の2乗
→4050÷(1.0m)の2乗 を計算する
→そうなると、答えは4050lxとなる
問題2【2018(平成30年)年89問目】
点光源直下2.0mの水平面照度が300lxである場合、点光源直下3.0mの水平面照度として、最も近いものは次のうちどれか。
1.100lx 2.130lx 3.200lx 4.450lx 5.670lx
解答のやり方
① 【文章に表示されているルクス】✖【文章最初の点光源直下●m】の2乗
→300ルクス✖(2.0m)の2乗 を計算する
→そうなると、300✖4=1200lxとなる
② 【①で出た数値】÷【文章に次に表示されているルクス】の2乗
→1200÷(3.0m)の2乗 を計算する
→1200÷9=133.33333.......で割り切れない
→そうなると、答えは一番近い数値である130lxとなる
★直射日光による水平面照度を求める
使用する公式は【法線面照度】✖【太陽高度】です。
この太陽高度が3種類あり、それは覚えるしかないです。何回も繰り返せば必ず頭に入ります。
太陽高度30度→0.5に置き換える
太陽高度45度→0.71に置き換える
太陽高度60度→0.87に置き換える
問題1【2022(令和4年)年90問目】
地表における直射日光による法線面照度が100,000lxのとき、直射日光による水平面照度として、最も近いものは次のうちどれか。
ただし、このときの太陽高度は60度とする。
1.35,000lx 2.43,000lx 3.50,000lx 4.65,000lx 5.87,000lx
解答のやり方
太陽高度30度→0.5に置き換える
太陽高度45度→0.71に置き換える
太陽高度60度→0.87に置き換える ※※今回はこれを使う※※
公式は【法線面照度】✖【太陽高度】です。
→100000lx✖0.87=87000lx
問題2【2016(平成28年)年89問目】
地表における直射日光による法線照度が90,000lxのとき、直射日光による水平面照度として最も近いものは次のうちどれか。
ただし、このときの太陽高度は30度とする。
1.23,000lx 2.30,000lx 3.39,000lx 4.45,000lx 5.78,000lx
解答のやり方
太陽高度30度→0.5に置き換える ※※今回はこれを使う※※
太陽高度45度→0.71に置き換える
太陽高度60度→0.87に置き換える
公式は【法線面照度】✖【太陽高度】です。
→90000lx✖0.5=45000lx
空気環境の測定 換気量
この換気量の問題は【空気環境の測定】の単元で出題される問題です。
4種類の問題があります。どれも複雑な計算のオンパレードで文系の人はおそらく苦手とするかもしれないです。(自分は苦手でした)
【必要換気量を求める】【汚染物質の発生量を求める】【居室の1時間後の濃度を求める】【換気回数(回/h)を求める】の4種類です。
★必要換気量(m³/h)を求める問題
換気量の問題の中では比較的簡単な問題です。
公式を覚えましょう。
※※文章中に表示されている濃度単位※※
・文章中の単位がppmのときは ✖10の6乗をする
・文章中の単位が%の時は✖100をする
・文章中の単位がmg/m³の時は✖1をする
問題1【2020(令和2年)年56問目】
室面積40m²、天井高2.5mの居室に8人在室しているとき、換気によって室内の二酸化炭素濃度が900ppmに維持されていたとする。この部屋の換気量[m³/h]として、最も近いものは次のうちどれか。ただし、室内は定常状態・完全混合(瞬時一様拡散)とし、外気二酸化炭素濃度は400ppm、在室者一人当たりの二酸化炭素発生量は0.025m³/hとする。
1.50m³/h 2.100m³/h 3.200m³/h 4.400m³/h 5.1000m³/h
解答のやり方
居室の汚染物質発生量→8人在室✖在室者一人当たりの二酸化炭素発生量0.025m³/h=0.2
居室の汚染物質の室内CO2濃度→換気によって室内の二酸化炭素濃度が900ppm
汚染物質の外気濃度→外気二酸化炭素濃度は400ppm
よって、900ppmー400ppm=500ppm
※※文章中に表示されている濃度単位※※
・文章中の単位がppmのときは ✖10の6乗をする
・文章中の単位が%の時は✖100をする
・文章中の単位がmg/m³の時は✖1をする
→以上により、今回はppmが表示されているので、【文章中の単位がppmのときは ✖10の6乗をする】が適当なので、
公式全体にあてはめると
→0.2/500ppm✖10の6乗→20000/5=400となる
計算の途中式は以下参照
※室面積40m²、天井高2.5mの部分は今回の計算で答えを導くのには不必要なので無視してください
・✖10の6乗は表示のゼロの分、右に小数点がずれていく(桁が増えていく)
・÷10の6乗は表示のゼロの分、左に小数点がずれていく(桁が減っていく)ppm早見表
https://www.nacalai.co.jp/products/support/trivia/PPM.html
問題2【2019(令和元年)年58問目】
ある室において、在室者数6人、在室者1人当たりのCO2発生量0.022m³/h、室内CO2許容値1000ppm、外気CO2濃度400ppmのとき、必要換気量[m³/h]として最も近いものは次のうちどれか。ただし、室内は、定常状態で完全混合(瞬時一様拡散)とする。
1.40m³/h 2.120m³/h 3.180m³/h 4.220m³/h 5.330m³/h
解答のやり方
居室の汚染物質発生量→6人在室✖在室者一人当たりの二酸化炭素発生量0.022m³/h=0.132
居室の汚染物質の室内CO2濃度→換気によって室内の二酸化炭素濃度が1000ppm
汚染物質の外気濃度→外気二酸化炭素濃度は400ppm
よって、1000ppmー400ppm=600ppm
※※文章中に表示されている濃度単位※※
・文章中の単位がppmのときは ✖10の6乗をする
・文章中の単位が%の時は✖100をする
・文章中の単位がmg/m³の時は✖1をする
→以上により、今回はppmが表示されているので、【文章中の単位がppmのときは ✖10の6乗をする】が適当なので、
公式全体にあてはめると
→0.132/600ppm✖10の6乗→1320/6=220m³/hとなる
計算の途中式は以下参照
・✖10の6乗は表示のゼロの分、右に小数点がずれていく(桁が増えていく)
・÷10の6乗は表示のゼロの分、左に小数点がずれていく(桁が減っていく)ppm早見表
https://www.nacalai.co.jp/products/support/trivia/PPM.html
★汚染物質の発生量を求める
複雑な式を使用して解答をしていく問題です。自分は一番嫌いな問題です。
普通に代入していくだけなので理系の人には易しい問題だと思われます。(知り合いの理系の人が言ってました)
換気量を求める公式を覚えましょう。
換気量=部屋容積(m³)✖換気回数
※部屋容積(m³)の求め方→室面積(m²)✖天井高(m)で求められる (たまに部屋容積から求めなければいけない問題もあります)
換気量が求められればあとは文章中の数値を問題で与えられた式に代入していくだけです。
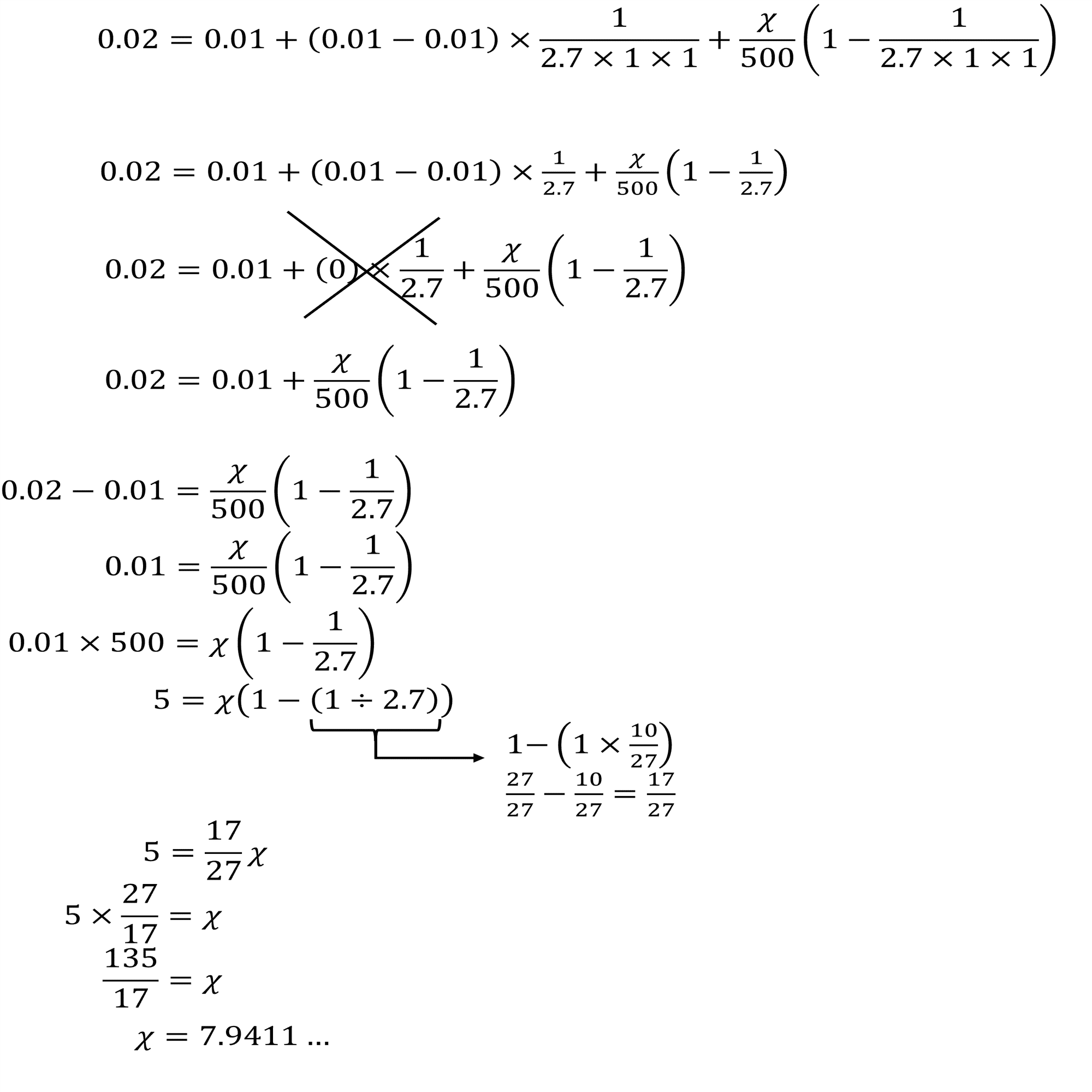
問題【2016(平成28年)年57問目】
室容積500m³の居室において、換気回数1.0回/hで換気がされている。
汚染物質の定常的発生があり、初期濃度0.01mg/m³が1時間後に室内濃度0.02mg/m³に増加した。
その時の汚染物質の発生量として、最も近い値は次のうちどれか。
ただし、室内は完全混合(瞬時一様拡散)とし、外気濃度は0.01mg/m³、室内濃度は、以下の式で表される。なお、e=2.7とする。
ただし、
・C:室内濃度(mg/m³)
・Cs:初期濃度(mg/m³)
・C0:外気濃度(mg/m³)
・M:汚染物質発生量(mg/h)
・Q:換気量(m³/h)
・n:換気回数(回/h)
・t:時間(h)
1.3mg/h 2.5mg/h 3.8mg/h 4.13mg/h 5.16mg/h
解答のやり方
与えられた式にわかる数値を代入する
今回は【M:汚染物質発生量(mg/h)】を求める問題なのでここは【X】代入
同じように、
【C:室内濃度(mg/m³)】→0.02
【Cs:初期濃度(mg/m³)】→0.01
【C0:外気濃度(mg/m³)】→0.01
【n:換気回数(回/h)】→1.0
【t:時間(h)】→1
【e】→2.7
が現在わかっている数値。
【Q:換気量(m³/h)】は計算して求める必要がある。
換気量=部屋容積(m³)✖換気回数
→ということは、500m³✖1.0回=500になる
以下の通りに数値を代入する
計算の途中式は以下参照
M=7.941mg/hとなるので、一番数値が近い8mg/hが答えとなる
★居室の1時間後の濃度を求める
同じように複雑な式が与えられるのでそれに数値を代入します。
落ち着いて計算していきましょう。
問題【2014(平成26年)年57問目】
室面積200m²、天井高2.5mの居室に、換気回数n=1.0回/hの換気がされている。初期濃度Cs=3,000ppmの時、1時間後の濃度として、最も近い濃度は次のうちどれか。なお、室内は、完全混合(瞬時一様拡散)とし、室内濃度は、以下の式で表される。ただし、在室者10人、外気濃度Co=500ppm、一人当たりの汚染物質発生量0.02m³/h、その他の室内汚染物質発生量0.05m³/hとする。またe=2.7とする。
ただし、
・C:室内濃度(ppm)
・Q:換気量(m³/h)
・M:汚染物質発生量(m³/h)
・t:時間
1.500ppm 2.900ppm 3.1400ppm 4.1700ppm 5.2200ppm
解答のやり方
与えられた式にわかる数値を代入する
今回は【C:室内濃度(ppm)】を求める問題なのでここは【X】代入
同じように、
【Cs:初期濃度(ppm)】→3000
【C0:外気濃度(ppm)】→500
【n:換気回数(回/h)】→1.0
【t:時間(h)】→1
【e】→2.7
が現在わかっている数値。
【M:汚染物質発生量(m³/h)】【Q:換気量(m³/h)】の2つは計算して求める必要がある。
【M:汚染物質発生量(m³/h)】
汚染物質発生量(m³/h)=在室者数(人)✖一人当たりの汚染物質発生量(m³/h)+その他の室内汚染物質発生量(m³/h)
→ということは、10人✖0.02m³/h+0.05m³/h=0.25になる
【Q:換気量(m³/h)】
今回は、いきなり換気量を求めることはできません。まず初めに部屋容積(m³)を求めてから、換気量を求めます
部屋容積(m³)の求め方→室面積(m²)✖天井高(m)で求められる
→ということは、室面積200m²✖天井高2.5m=500(m³)になる
換気量=部屋容積(m³)✖換気回数
→ということは、500m³✖1.0回=500になる
以下の通りに数値を代入する
計算の途中式は以下参照
C=1740ppmとなるので、一番数値が近い1700ppmが答えとなる
★換気回数(回/h)を求める
この問題も公式を覚えましょう。
①換気量(m³/h)の求め方↓
で求められる
※※文章中に表示されている濃度単位※※
・文章中の単位がppmのときは ✖10の6乗をする
・文章中の単位が%の時は✖100をする
・文章中の単位がmg/m³の時は✖1をする
②部屋容積(m³)の求め方→室面積(m²)✖天井高(m) で求められる
③換気回数=換気量/室容積
①から③まで順番に計算していけば答えを導くことができます。
問題1【2010(平成22年)年56問目】
室面積20m²、天井高2.5mの居室に6人が在室しているとき、換気によって室内の二酸化炭素濃度が0.09%に維持されていたとする。
この部屋の換気回数(回/h)として最も近いものは次のうちどれか。ただし、室内は完全混合(瞬時一様拡散)とし、外気濃度は0.04%、一人当たりの二酸化炭素発生量は0.025m³/hとする。
1.1回/h 2.3回/h 3.6回/h 4.15回/h 5.300回/h
解答のやり方
①換気量(m³/h)の求め方↓
で求められる
居室の汚染物質発生量→居室に6人が在室✖一人当たりの二酸化炭素発生量0.025m³/h=0.15
居室の汚染物質の室内CO2濃度ー汚染物質の外気濃度✖文章中に表示されている濃度単位→室内の二酸化炭素濃度が0.09% ー 外気濃度は0.04%=0.05%
→ということは、0.15/0.05✖100【濃度単位は%】=300m³h
②部屋容積(m³)の求め方→室面積(m²)✖天井高(m) で求められる
→ということは、室面積20m²✖天井高2.5m=50
③換気回数=換気量/室容積
→ということは、300/50=6回が答えとなる
本noteの続きは②へ…。
いいなと思ったら応援しよう!
温かいチップ、本当にありがとうございます!あなたの応援がこのnoteを続ける大きな力になります。心から感謝しています!

コメント