MBTI機能セット表批判(ncoちゃんねる作)
MBTI(16personalities)好きの皆さん、ncoちゃんねるは嫌いですか?
私は嫌いです。だって間違っていますものね〜
私はあなた方の気持ちがよ〜くわかっていると自負しております。
具体的な理論形成に興味を持たずに実践・応用部分にだけ理解を示す。本来これはSe仕草のはずなんですがあの人は劣等グリップが酷いですから、嫌な部分がよく発揮されていますよね。
発信部分には多少Tiで目を通しているはずですけど、それでも弱い機能ですから対して効力を発揮していない。物事の表層だけをなぞって、実践に応用できる部分だけを切り取って、それで満足しているのですから正にESTP。
Noteを読んで見えてくる性格はどこからどう見てもENTJには見えませんね。
皆さん、この表見て違和感を感じませんか?
そうですよね。もうビンビンに感じますよね。だって───
コレと全然部類の仕方が違うじゃないか!!!
って考えた人は帰ってください。それかncoちゃんねるとzakuroチャンネルの動画でも見てROMっておいてください。
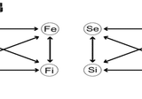
どこから、どう見ても!縦軸、横軸を意識して読み取った時に法則性が乱れている事が問題でしょう。縦軸で読み取れば、機能セットの全反転。横軸で読み取ればS/Nのみの反転。
4タイプにのみ分類しているのだから横軸をS/N(非合理機能)が反転するようにしたならば、縦軸でT/F(合理機能)を反転させるように組み直せば中心を座標とした時に4タイプが法則性を持って記入できるはず。
ただこれも直感的に理解できない、整理されてないと感じます。
ぱっと見で横軸と縦軸の同一性が読み取りにくく、そのため、違いもまた読み取りにくい。これは視線誘導が上手くいっていない所為なので修正したのがこちら。
機能セットも分からずに読んでくれた酔狂な人用の雑多な性格的部類解説
※内容を保証するものではありません
T/F分類=x
・+x=TEFI
論理を受容(Te) 自分の感情を発露する(Fi)
・-x=TIFE
論理を疑い(Ti) 他者の感情を受容する(Fe)
S/N分類=y
・+y=SINE
現世は倫理で生き(Si) 未知に対して道徳で動く(Ne)
・-y=SENI
現世の道徳で生き(Se) 未知に対して倫理で動く(Ni)
-x,+y 不思議ちゃん
→現世倫理(Si)、未知道徳(Ne)、論理疑心(Ti)、感情受容(Fe)
+x,+y サイコパス
→現世倫理(Si)、未知道徳(Ne)、論理受容(Te)、感情発露(Fi)
-x,-y 聖人君子
→現世道徳(Se)、未知倫理(Ni)、論理疑心(Ti)、感情受容(Fe)
+x-y 甘えんぼ
→現世道徳(Se)、未知倫理(Ni)、論理受容(Te)、感情発露(Fi)
かなり見やすくなりましたが、この形に直してみると、Ncoチャンネルの「理と利」のモデル、どうもおかしいことに気づきませんか?
不思議ちゃんは理には拘らず、利にも拘らない
サイコパスは理に拘り、利にも拘る
聖人君子は理に拘り、利には拘らない
甘えんぼは理には拘らず、利に拘る
普通に考えれば理は合理機能を示していて、そうであるならば利は非合理機能の存在を暗示しているというのが筋だと思いませんか?
つまり、
x軸が理に拘るのか、拘らないかの違いを示し、
y軸が利に拘るのか、拘らないかの違いを示す。
そしてこの表から見るに、
彼の感知した理とは、Tiでしょう。
彼の感知した利とは、Seでしょう。
恐らく彼はお友達であるISTJくんの様子からサイコパスの位置関係を測定、表に応用したものと思われます。しかしS型はどうにも即物的でいけませんね。INFJとISTJを比べたら確かにISTJの方が利に拘っていると言われても無理ありません。だからこの場合S型とはS型を比べて、N型とはN型を比べる。またI型とE型もそのように取り計らうのが肝要でしょう。
この判断については同氏のノートを参考にすると分かり易いと思います。人間追い詰められた時に本性が出ますからね。
この場合の「利に拘る」は地位と名誉に執着しているかどうかでしょう。誰でも命は惜しいものですから。「理に拘る」は自分の論理に自信と執着を持っているかどうか。
これを元にINFJ、INFP、INTPと比べてみましょう。
まず名誉欲に関してはINFJがあるというより、INFPとINTPはどう考えても持ち合わせていません。INFPは非生産的なことに終始していますし、INTPは引き抜きに応じない所が名誉に興味がないことを示しています。
次に自分の論理に対する自信と執着に関しては、INFPがFiの強さから妙に頑固な所はありますが考えている、というよりは感じているが近いでしょう。INTPは戦乱時でものどかに研究していることから明らかに執着していますし、INFJはNiと判別が非常につき難いですが、政争に強いところに生来の疑り深さと、自分の論理への自信を感じさせます。
さらにESTPとESTJも比べてみましょう。
まず、乱世においてどちらも武将になれるならばなるタイプでしょう。
ただ負けに対する価値観が両者で決定的な違いがあります。ESTJにとっての勝敗の意味はTe的な損得の話で、ESTPにとっての勝敗の意味はSe的な名誉の話です。16personalitiesの名付けから持ってきても、ESTP起業家vs ESTJ幹部となり、どちらが名誉に対して意識的に行動しているかについては皆さんと共通した価値観を共有できると信じています。
サイコパスグループはSiがTeに影響を受けて損をしない程度に名誉などを意識して動きますけど、本質は自分が良いと思えばそれで良いという自己満足で完結するグループです。ISTJとESTJなんていう現代の奴隷階級に最適な性格タイプがいるのですから奴隷に満足する精神性を持っているのです。
総括
正しい表は正しく法則性も現象させます。恐らくFPS判別法というのもこの表を正しい形で最初から制作できていれば2秒とかからずに彼ならば思いついたはずです。
そして彼自身もそろそろ既存のものに違和感を感じている頃合いでしょう。
いくら彼が感覚が劣等機能の癖に洞窟のイドラに囚われた間抜けで、ぽやっと指数4の癖に視野狭窄に陥ったケダモノでも。まあ流石、IQデバフ特大さんですから大変ですよね。(2025年2月27日編集)
皆さんは根本的にズレて、差延が発生しているものに拘らずに、そのズレを修正して正しく世界を認知できるようになりましょうね。
最後に、
この表はMBTIの一つの認識の仕方です。nco氏の4分類が分かりやすいと思う人もいれば、16personalitiesの4分類が分かりやすいと思う人もいます。私の新方式も結局間違っているかもしれません。
どちらにも良いところ悪いところあります。
なので好きなものを選びましょう。ないなら好きなものを作りましょう。
私もやったんだからさ、ね?



コメント
1紹介どうもです。その分類、ソシオニクスと一緒なんです、結果として。細かい理屈に関しては論戦はする気ないので、ご自由に展開なさってください。批判は大いに結構。では😉