Your privacy, your choice

We use essential cookies to make sure the site can function. We also use optional cookies for advertising, personalisation of content, usage analysis, and social media.

By accepting optional cookies, you consent to the processing of your personal data - including transfers to third parties. Some third parties are outside of the European Economic Area, with varying standards of data protection.

See our privacy policy for more information on the use of your personal data.

for further information and to change your choices.

Skip to main content
Log in

Frequency response characteristics of the stereocilia tip-link tension in different regions of the cochlea

  • Research
  • Published:
Meccanica Aims and scope Submit manuscript

Abstract

Research on the mechanism of sound perception in the cochlea has always been an important challenge for scientists of humans. Therefore, the frequency response of stereocilia in the cochlear different regions and the changes in tip link tension was researched, which may deepen the understanding of the physiological role of stereocilia in relation to their biomechanical behaviours and the frequency encoding mechanism in the auditory system. In this paper, the stereocilia motion is described as a forced vibration structure, and the effect of the lymphatic fluid in the cochlea on the stereocilia is considered, and a stereocilia motion model is established. The tension distribution of the tip link at different frequencies was solved. The correctness of the model was proved by comparing the response frequencies of the tip links at different positions with the Greenwood frequency. An increase in the elastic modulus of stereocilia leads to a non-linear decrease in the tension of the tip link, while an increase in the elastic modulus of the tip link leads to an increase in the tension of the tip link. Reducing the proportion of low and medium stereocilia to high stereocilia helps to improve low frequency resolution. In addition, the height gradient of stereocilia has a significant impact on their frequency response characteristics, and there are significant differences in the resolution and response range of stereocilia in different rows of outer hair cells. There are significant differences in the frequency resolution capability and response range of stereocilia of outer hair cells in different rows.

This is a preview of subscription content, log in via an institution to check access.

Access this article

Subscribe and save

Springer+ Basic
¥17,985 /Month
  • Get 10 units per month
  • Download Article/Chapter or eBook
  • 1 Unit = 1 Article or 1 Chapter
  • Cancel anytime
Subscribe now

Buy Now

Price includes VAT (Japan)

Instant access to the full article PDF.

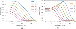
Fig. 1
Fig. 2
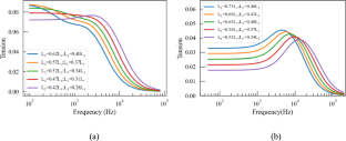
Fig. 3
Fig. 4
Fig. 5
Fig. 6
Fig. 7
Fig. 8
Fig. 9

Similar content being viewed by others

Explore related subjects

Discover the latest articles, news and stories from top researchers in related subjects.

Data availability

The data supporting the findings of this study are available within the article or are available from the corresponding author on request.

References

  1. Bozovic D (2018) Active biomechanics of sensory hair bundles. Cold Spring Harb Perspect Med 11(9):a035014. https://doi.org/10.1101/cshperspect.a035014

    Article  MATH  Google Scholar 

  2. Schwander M, Kachar B, Müller U (2010) Review series: the cell biology of hearing. J Cell Biol 190(1):9–20. https://doi.org/10.1083/jcb.201001138

    Article  MATH  Google Scholar 

  3. Lorente-Cánovas B, Eckrich S, Lewis MA, Johnson SL, Marcotti W, Steel KP (2022) Grxcr1 regulates hair bundle morphogenesis and is required for normal mechanoelectrical transduction in mouse cochlear hair cells. PLoS ONE 17(3):e0261530. https://doi.org/10.1371/journal.pone.0261530

    Article  Google Scholar 

  4. Moreland ZG, Bird JE (2022) Myosin motors in sensory hair bundle assembly. Curr Opin Cell Biol 79:102–132. https://doi.org/10.1016/j.ceb.2022.102132

    Article  MATH  Google Scholar 

  5. Caprara GA, Peng AW (2022) Mechanotransduction in mammalian sensory hair cells. Mol Cell Neurosci 120:103706. https://doi.org/10.1016/j.mcn.2022.103706

    Article  MATH  Google Scholar 

  6. Fettiplace R, Kim KX (2014) The physiology of mechanoelectrical transduction channels in hearing. Physiol Rev 94:951–986. https://doi.org/10.1152/physrev.00038.2013

    Article  MATH  Google Scholar 

  7. Maoiléidigh DÓ, Ricci AJ (2019) A bundle of mechanisms: inner-ear hair-cell mechanotransduction. Trends Neurosci 42(3):221–236. https://doi.org/10.1016/j.tins.2018.12.006

    Article  MATH  Google Scholar 

  8. Martin P, Tobin M, Chaiyasitdhi A (2021) Machanical frequency tuning by the hair bundle of Mechanosensory hair cells. Biophys J 120(3):101a–102a

    Article  Google Scholar 

  9. Flock Å, Strelioff D (1984) Graded and nonlinear mechanical properties of sensory hairs in the mammalian hearing organ. Nature 310(5978):597–599. https://doi.org/10.1038/310597a0

    Article  MATH  Google Scholar 

  10. Beurg M, Gamble T, Griffing AH, Fettiplace R (2022) Atypical tuning and amplification mechanisms in gecko auditory hair cells. PNAS 119(12):e2122501119. https://doi.org/10.1073/pnas.2122501119

    Article  Google Scholar 

  11. Fettiplace R (2020) Diverse mechanisms of sound frequency discrimination in the vertebrate cochlea. Trends Neurosci 43(2):88–102. https://doi.org/10.1016/j.tins.2019.12.003

    Article  Google Scholar 

  12. Assad JA, Corey DP (1992) An active motor model for adaptation by vertebrate hair cells. J Neurosci 12(9):3291–3309. https://doi.org/10.1523/JNEUROSCI.12-09-03291.1992

    Article  MATH  Google Scholar 

  13. Corey DP, Hacohen N, Huang PL, Assad JA (1989) Hair cell stereocilia bend at their bases and touch at their tips. In Soc Neurosci Abstr 15:208

    Google Scholar 

  14. Peng AW, Scharr AL, Caprara GA, Nettles D, Steele CR, Ricci AJ (2021) Fluid jet stimulation of auditory hair bundles reveal spatial non-uniformities and two viscoelastic-like mechanisms. Front Cell Dev Biol 9:725101. https://doi.org/10.3389/fcell.2021.725101

    Article  Google Scholar 

  15. Karavitaki KD, Corey DP (2010) Sliding adhesion confers coherent motion to hair cell stereocilia and parallel gating to transduction channels. J Neurosci 30(27):9051–9063. https://doi.org/10.1523/JNEUROSCI.4864-09.2010

    Article  MATH  Google Scholar 

  16. Geisler CD (1993) A model of stereociliary tip-link stretches. Hear Res 65(1–2):79–82. https://doi.org/10.1016/0378-5955(93)90203-d

    Article  MATH  Google Scholar 

  17. Pickles JO (1993) A model for the mechanics of the stereociliar bundle on acousticolateral hair cells. Hear Res 68(2):159–172. https://doi.org/10.1016/0378-5955(93)90120-p

    Article  MATH  Google Scholar 

  18. Billone M, Raynor S (1973) Transmission of radial shear forces to cochlear hair cells. J Acoust Soc Am 54(5):1143–1156. https://doi.org/10.1121/1.1914361

    Article  MATH  Google Scholar 

  19. Authier S, Manley GA (1995) A model of frequency tuning in the basilar papilla of the Tokay gecko. Gekko gecko Hear Res 82(1):1–13. https://doi.org/10.1016/0378-5955(94)00138-g

    Article  MATH  Google Scholar 

  20. Cotton J, Grant W (2004) Computational models of hair cell bundle mechanics: I Single stereocilium. Hear Res 197(1–2):96–104. https://doi.org/10.1016/j.heares.2004.06.004

    Article  MATH  Google Scholar 

  21. Cotton J, Grant W (2004) Computational models of hair cell bundle mechanics: II Simplified bundle models. Hear Res 197(1–2):105–111. https://doi.org/10.1016/j.heares.2004.06.005

    Article  MATH  Google Scholar 

  22. Orly G, Manor U, Gov NS (2015) A Biophysical Model for the Staircase Geometry of Stereocilia. PLoS ONE 10(7):e0127926. https://doi.org/10.1371/journal.pone.0127926

    Article  MATH  Google Scholar 

  23. Smith ST, Chadwick RS (2011) Simulation of the response of the inner hair cell stereocilia bundle to an acoustical stimulus. PLoS ONE 6(3):e18161. https://doi.org/10.1371/journal.pone.0018161

    Article  MATH  Google Scholar 

  24. Tobin M, Chaiyasitdhi A, Michel V, Michalski N, Martin P (2019) Stiffness and tension gradients of the hair cell’s tip-link complex in the mammalian cochlea. Elife 8:e43473. https://doi.org/10.7554/eLife.43473

    Article  Google Scholar 

  25. Nam JH, Cotton JR, Grant JW (2005) Effect of fluid forcing on vestibular hair bundles. J Vestib Res 15(5–6):263–278

    Article  MATH  Google Scholar 

  26. Zetes DE, Steele CR (1997) Fluid–structure interaction of the stereocilia bundle in relation to mechanotransduction. J Acoust Soc Am 101(6):3593–3601. https://doi.org/10.1121/1.418320

    Article  Google Scholar 

  27. Kozlov AS, Baumgart J, Risler T, Versteegh CP, Hudspeth AJ (2011) Forces between clustered stereocilia minimize friction in the ear on a subnanometre scale. Nature 474(7351):376–379. https://doi.org/10.1038/nature10073

    Article  Google Scholar 

  28. Zhu Z, Reid W, George SS, Ou V, Maoiléidigh DÓ (2024) 3D morphology of an outer-hair-cell hair bundle increases its displacement and dynamic range. Biophys J 123(19):3433–3451

    Article  Google Scholar 

  29. Hudspeth AJ (1989) How the ear’s works work. Nature 341(6241):397–404. https://doi.org/10.1038/341397a0

    Article  MATH  Google Scholar 

  30. Wright A (1984) Dimensions of the cochlear stereocilia in man and the guinea pig. Hear Res 13(1):89–98. https://doi.org/10.1016/0378-5955(84)90099-6

    Article  MATH  Google Scholar 

  31. Kazmierczak P, Sakaguchi H, Tokita J, Wilson-Kubalek EM, Milligan RA, Müller U, Kacher B (2007) Cadherin 23 and protocadherin 15 interact to form tip-link filaments in sensory hair cells. Nature 449(7158):87–91. https://doi.org/10.1038/nature06091

    Article  Google Scholar 

  32. Greenwood DD (1990) A cochlear frequency-position function for several species—29 years later. J Acoust Soc Am 87(6):2592–2605. https://doi.org/10.1121/1.399052

    Article  MATH  Google Scholar 

  33. Murakoshi M, Yoshida N, Kitsunai Y, Iida K, Kumano S, Suzuki T, Kobayashi T, Wada H (2006) Effects of heat stress on Young’s modulus of outer hair cells in mice. Brain Res 1107(1):121–130. https://doi.org/10.1016/j.brainres.2006.05.095

    Article  Google Scholar 

  34. Duncan RK, Grant JW (1997) A finite-element model of inner ear hair bundle micromechanics. Hear Res 104(1–2):15–26. https://doi.org/10.1016/s0378-5955(96)00176-1

    Article  MATH  Google Scholar 

Download references

Funding

This work was supported by the Key Project of National Natural Science Foundation of China (Grant No. 11932010).

Author information

Authors and Affiliations

Authors

Contributions

Jiakun Wang: Conceptualization, Methodology. Junyi Liang: Conceptualization, Formal analysis, Validation, Writing-review & editing. Bin Liu: Investigation, Validation, Software, Writing-original draft. Wenjuan Yao: Visualization, Writing-review & editing, Supervision, Funding acquisition.

Corresponding author

Correspondence to Wenjuan Yao.

Ethics declarations

Conflict of interest

The authors declare no competing interests.

Consent to participate

Not applicable.

Consent for publication

Not applicable.

Ethical approval

Not applicable.

Additional information

Publisher's Note

Springer Nature remains neutral with regard to jurisdictional claims in published maps and institutional affiliations.

Rights and permissions

Springer Nature or its licensor (e.g. a society or other partner) holds exclusive rights to this article under a publishing agreement with the author(s) or other rightsholder(s); author self-archiving of the accepted manuscript version of this article is solely governed by the terms of such publishing agreement and applicable law.

Reprints and permissions

About this article

Check for updates. Verify currency and authenticity via CrossMark

Cite this article

Wang, J., Liang, J., Liu, B. et al. Frequency response characteristics of the stereocilia tip-link tension in different regions of the cochlea. Meccanica (2025). https://doi.org/10.1007/s11012-024-01930-y

Download citation

  • Received:

  • Accepted:

  • Published:

  • DOI: https://doi.org/10.1007/s11012-024-01930-y

Keywords