全ての記事一覧
○第10回天文宇宙検定(2020年11月22日開催)
●最年少受験者
1級 10歳
2級 8歳
3級 6歳
4級 5歳
●最高齢受験者
1級 73歳
2級 82歳
3級 87歳
4級 76歳
※年齢は受験申込時に受験者本人様に提出いただいた情報によります
●受験者男女比率
1級:男性 82.0%、女性 18.0%
2級:男性 66.4%、女性 33.6%
3級:男性 53.6%、女性 46.4%
4級:男性 49.9%、女性 50.1%
●合格率
1級:1.0%
2級:36.2%
3級:79.0%
4級:85.6%
●最高得点
1級:77点
2級:96点
3級:96点
4級:100点
●平均点
1級:46.0点
2級:62.7点
3級:70.2点
4級:74.6点
〇第10回天文宇宙検定講評
2020年11月22日(日)開催の第10回試験は、コロナ禍での開催となりましたが、例年と変わらず多くの方々に参加いただきました。受験された皆様には、検温や会場での私語を控えていただく等のご協力をいただき、また、体調に不安のある方には参加をお見送りいただく等のご配慮もいただきましたおかげで、つつがなく無事に検定試験を終えることができました。
参加いただいた受験者の皆様、試験監督官をお引き受けいただいたスタッフの皆様、変わらぬご支援をいただいた協賛・協力団体の皆様に、この場を借りてあらためて心より御礼申し上げます。
以下に、第10回試験の講評文をアップします。解答速報と併せてご覧ください。(第10回解答速報の公開は終了しました)
■4級
4級受験者数は前年より微減。今回は、合格率85.6%、平均点74.6点であり、この数年間で最も高かったが、試験後に受験者からの指摘を受けて全員正解とした問題が2問あったことの影響も否めない。最高点は前回に続いて全問正解者が出ている。受験者を年齢層からみると10代以下の若年層が47.8%を占めており、昨年に引き続き5歳での最年少合格者も出た。
正答率が最も高かったのは、【問14】星座早見盤で調べられることを問う問題(正答率97.3%)、続いて、【問21】太陽の観察で使ってよいものを選ぶ問題(正答率94.9%)、【問4】小惑星リュウグウのサンプルを持って帰った探査機の名前を問う問題(正答率94.1%)であった。他に90%を超えたものは、【問9】(91.7%)【問12】(91.2%)【問8】(90.9%)【問39】(90.4%)と、併せて計7問あった。
暗記問題では高い正答率が見られる一方で、正答率が低かった問題には、先入観や思い込みから正答に辿り着けなかった傾向が見られる。たとえば、【問32】金星が最も明るく見えるときに、望遠鏡で金星を見るとどのような形に見えるか」(正答率33.1%)では、38.1%の人が④の満月型を選んだ。なかなか金星の満ち欠けを見る機会はないが、科学館・プラネタリウムなどで開催している観望会に参加してみることをお勧めしたい。ガリレオが望遠鏡で見た天体のスケッチを残したように、意外な発見に驚くかもしれない。【問34】天の川銀河に最も近い銀河を答える問題(正答率39.5%)では、約46%の方が②のアンドロメダ銀河を選択した。大マゼラン雲も銀河であるという認識がテキストから得られにくかったのかもしれないという反省を『公式テキスト』の著者らにもたらした結果だった。【問17】太陽・月・地球が描かれた図から、見られる天体現象を問う問題(正答率45.1%)は、空間認知能力が試される問題かもしれない。約半数(49.1%)の方が、①の皆既日食を選択したが、太陽、月、地球の相互の距離の関係で皆既日食になるか金環日食になるか決まるので、改めて図をじっくりと見ておさらいしてほしい。【問20】こと座の環状星雲M57についての問題(正答率48.3%)では、約30%の方が④を選択。星雲というとオリオン大星雲のように、星が誕生しているところという印象があるが、惑星状星雲は星が死んでいくときにできるということを覚えておこう。正答率が50%を割ったのは他に【問18】土星の輪の見え方についての問題、【問37】上弦の月の見え方についての問題だった。
■3級
幅広い年齢層が受験しているのは例年と変わらない。受験者分布では、20代以下で50%を超えている。20~50代では女性が男性を上回った。合格率は前回(81.8%)には及ばなかったものの、79.0%、平均点も70.2点で高い水準を維持している。コロナ禍で「おうち時間」が増え、いつもより試験勉強にあてる時間が増えたことが影響したのか、10歳未満の合格率は前回(57.9%)を大きく上回り72.7%に及んだ。最年少の合格者は6歳の未就学児であった。
正答率が高かった問題は、【問1】太陽の正しい天文符号を選ぶ問題(正答率100.0%)、【問2】図から正しい古代の宇宙観を選ぶ問題(正答率95.8%)、【問4】ジャイアントインパクト説の正しい説明を選ぶ問題(正答率95.1%)。【問48】2020年に多くの火星探査機が打ち上げられた理由を問う問題(正答率93.4%)。【問36】月の公転周期と自転周期が同じことに関係する現象を問う問題(正答率92.3%)。上位中4問は、基礎的な定番問題ともいえる。受験者が過去問題から傾向と対策を立てている表れだろう。火星大接近はおよそ2年ごとに各メディアでも報道されていることも要因と考えられる。
一方、正答率が低かったのが、【問14】肉眼で見える星の範囲は銀河系の大きさと比較してどれくらいかを問う問題(正答率11.0%)。①10000分の1を選んだ受験者が66.6%と圧倒的に多かった。主要な天体の大きさや距離などは覚えておくと、計算問題が出題されても慌てることなく正答を導くことできるだろう。次に【問37】彗星の模式図から、彗星の進む向きを問う問題(正答率21.4%)。この模式図には太陽方向が明記されていないことに注意。【問11】日没にかかる時間を問う問題(正答率26.6%)。テキストの3章1節の太陽の動きと地球の自転の関係を理解しよう。【問29】惑星以外で環が見つかっている天体を問う問題(正答率28.5%)では、「衛星と準惑星」を選んだ方が多かったが、衛星には環が見つかっていない。本検定は問題数が多い(3級は50分で60問を解答する)ので、選択肢が変則的になると混乱してしまう傾向があるようだ。また、正答率が低い問題の特徴としては、毎年のことだが応用問題が多い。日頃から覚えた知識を使って別の角度から考えることを意識しておくことをお勧めする。
■2級
まずは、今試験において、2級試験問題に試験会場で問題文の訂正があり、混乱を招いた点をお詫び申し上げます。
近年、2級受験者数が増加しており、昨年に引き続き今回も3級の受験者数を上回った。特に20代、30代の受験者数が昨年より増加した。また、2級は高校地学で学ぶレベルの内容だが、小学生、中学生でチャレンジされる方も増えつつあり、今回は4年ぶりに10歳未満の合格者が出た。
正答率が9割を超えたのは次の2問。【問28】黒点が黒く見える理由を選ぶ問題(正答率98.6%)、【問34】太陽コロナに関する間違った記述を選ぶ問題(正答率92.0%)。【問21】宇宙の晴れ上がりとはどのような現象かを選ぶ問題(正答率88.8%)、【問51】図の測定装置について正しく説明したものを選ぶ問題(正答率88.6%)。
正答率が低かった問題は、【問46】明治時代に行われた改暦についての問題(正答率7.2%)。歴史的な出来事と天文学史が正確に結び付けられていないと正答に辿り着けない。次が【問41】太陽コロナのうち光源が太陽の光球からの光ではないものを選ぶ問題(正答率18.7%)。EコロナのEは「輝線」を意味する“Emission”に由来している。Fコロナ、Kコロナの語源もチェックしておこう。【問18】天文学史における重要な発見の順番を問うた問題(正答率21.7%)、【問30】銀河系の中心が太陽系ではないことが初めて示された際の根拠を選ぶ問題。(正答率25.9%)と続く。
当検定の2~4級の試験問題は、『公式テキスト』からのみ出題されるので、当然、『公式テキスト』を読み込むことが合否を分けるともいえる。たとえば、【問55】宇宙全体の元素の存在比を問う問題(正答率79.3%)は、テキスト掲載の図表を暗記していれば解ける問題だ。しかし、類似問題である【問23】太陽大気に存在する元素個数を多い順に正しく並べたものを選ぶ問題(正答率29.5%)は、太陽の周りに原始太陽系円盤が形成され、その中の重元素が集まって地球などの惑星がつくられた過程の理解が問われる。今回、得点数のピークは60点から69点のところにあり、あと一歩で合格という方も少なくなかった。次回もぜひ挑戦して合格を勝ち取っていただきたい。
■1級
1級受験には2級合格が条件となるが、挑戦されるのは初回から変わらず男性優位で、50代・60代が多い傾向は今年も同じであった。ただ、今年は20代の挑戦者が若干増加した。合格率は、第8回0.8%、第9回7.0%と推移してきて、今回は1.0%。平均点の46点は昨年よりも6点ほど低かった。今回は出題問題の後半に向かって正答率が低くなる傾向が顕著で、アンケートでも時間が足らなかったという声もあった。1級試験の問題数は40問だが、よく考えを巡らせなくてはならない問題も多いため、時間配分が合格のための鍵でもあろう。正答率が高かった問題は次の6問。【問25】クェーサー3C 273のスペクトル図からその赤方偏移を求める問題(92.0%)。【問4】ダークマターの存在を示す証拠として不適切なものを選ぶ問題(91.0%)。【問34】天文学で常用されるギリシャ文字に関する問題(89.0%)。いずれも、1級の公式参考書『極・宇宙を解く』の記述内容から出題されたもの。1級試験問題のうち4割程度が出題される参考書をよく読み込んで試験に臨まれていることがうかがえる。一方で、問題正答率が低かったのは、【問17】重力平衡状態にある星について正しい記述を選ぶ問題(5.0%)。【問40】南天の星座「ぼうえんきょう座」のモデルとなった望遠鏡を問う問題(7.0%)。【問38】惑星探査機「ボイジャー」搭載のレコードに収録されていない音楽を選ぶ問題(9.0%)。【問37】中国の月探査機「嫦娥(じょうが)」に関する誤った記述を選ぶ問題(14.0%)。4問のうち、問17が参考書の記述をアレンジして出題されたものである以外は、天文学史・時事問題である。例年、広範に及ぶ1級の出題範囲の中でも、天文学史に関する問題は正答率が低い傾向がみられる。受験者に向けて、推薦図書の提示などの対応も検討すべきかもしれない。
■総括
さて、本検定もついに節目の10年目となった。ここまで続けてこられたのは、ひとえに受検者の方々のおかげであり、開催スタッフやテキスト執筆者が頑張れるのも受検者の方々の期待と叱咤激励のおかげである。あらためて、深く感謝いたします。
さて、今回、始めて受検された方もおられれば、2度目の方、さらには何度もチャレンジされた方もおられるだろう。公式テキストは2年に1回の割で少しずつ改訂しているので、2度目3度目の方は途中でテキストが新しくなった方も多いだろう。天文学は日進月歩の分野であり、この10年ほどに限っても、重力をもたらすヒッグス粒子の発見(2012年)、プランク衛星による宇宙論パラメータの発表(2013年)、探査機ロゼッタの着陸機フィラエがチュリュモフ・ゲラシメンコ彗星に着陸(2014年)、ニューホライズンの冥王星到達(2015年)、重力波の初検出(2016年発表)、中性子星合体の対応天体検出(2017年)、はやぶさ2の小惑星リュウグウ到着(2018年)と帰還(2020年)、ブラックホールシャドウの撮影成功(2019年)、ブラックホール研究でのノーベル物理学賞(2020年)、などなど、ほぼ毎年、大きな発見があった。これら最先端の知見を少しでも早く反映するための2年ごとの改訂である。テキスト本文自体はあまり大きな改訂はないが、グラビア・傍注・コラムなどの変化を愉しんでいただきたい。また本文の内容なども含め、その級のテキストとして不満な点などあれば、ご意見やご要望を寄せていただければ次回の改訂で検討いたしたい。
初回から続く傾向としては、2級や1級で出てくる数式問題について、一般に正答率が低くなることがある。数式を使わないと計算や現象を表せないわけではない。実際、江戸時代の和算もそうだし、メソポタミアなどの古代文明でも、数式を使わずに、さまざまな計算をしていた。ただし、それらは非常に複雑になる。数式を使えば、非常にエレガントに表現や答えの導出ができるのだ。昔の算法と比べれば、数式によって表現方法が大きく進化したわけである。そういう観点からも、数式の“ありがたさ”を今一度、考えてほしい。
また同じく初回から続く傾向としては、天文学史や宇宙開発・時事などの正答率が低いということもある。一般の人からみると、天文学史はともかく、宇宙だから天文も宇宙飛行士も同じ分野のように思われることが多い。しかし、研究的な側面からは、分野としても研究者の集団としても、天文学研究と宇宙開発と天文学史は、大きく違った分野なのだ。ここだけの話だが、講評子も天文分野に所属しており、実は宇宙開発や天文学史は苦手である。にもかかわらず、天文宇宙検定として、これらすべてを扱っているのは、やはり広い意味では天文学に関わる興味深い分野だと考えているからだ。苦手な分野も一緒に勉強していきましょう。
新しいことを学ぶこと、無駄な知識を覚えること、そして不思議な現象を理解すること、などなどに歓びを見いだしながら、これからも天文宇宙検定を愉しんでいただければ幸いである。
2021年2月吉日
天文宇宙検定委員会
第10回の試験問題について、ご質問をお寄せいただき有難うございました。
以下に、お寄せいただいたご質問・ご意見について回答申し上げます。
●3級・問14について
【問題文】 肉眼(にくがん)で見える星は、銀河系(ぎんがけい)(天の川銀河)のほんの一部でしかない。肉眼で明るく見える星のある範囲(はんい)の半径は、 銀河系全体の半径と比較(ひかく)するとどれくらいか。
①10000分の1
②1000分の1
③100分の1
④10分の1
【正解】
③100分の1
【解説】
肉眼(にくがん)で明るく見える星は、ほとんどが地球から1000光年くらいの範囲(はんい)にある。銀河系(ぎんがけい)全体の大きさは、まだ議論(ぎろん)が続いているものの、大ざっぱに10万光年と考えられている。よって都会でも見えるような明るい星のある範囲は、銀河系全体の50分の1より小さい=ざっと100分の1程度である。ちなみに1万光年以上離(はな)れていても、肉眼で見える星は存在(そんざい)する。
【質問】
「銀河系全体の半径」とあるのは「直径」の間違いではないでしょうか。解答にも「銀河系全体の大きさは、まだ議論が続いているものの、大ざっぱに10万光年と考えられている。」とあり、テキストでも直径10万光年とされています。また、ハローの広がりは15万光年とされており、どの数字を使うかで考え方が違ってきます。全員正解とすべきではないでしょうか。
【回答】
この問題は、おおざっぱな値(あたい)(天文学ではオーダーとよびます)を把握(はあく)して、どちらの桁(けた)に近いかを判断(はんだん)してもらう問題です。星のある半径を1000光年として、銀河系(ぎんがけい)の直径と比較(ひかく)すれば、確かに100分の1と、すっきりした数値になりますが、あえてイメージがわきやすいように、どちらも半径で比較し、どちらがより近いかを判断していただく問題になっています。星のある範囲(はんい)を1000光年とすると、銀河系の半径と比較した場合、50分の1になります(ハローの15万光年を採用(さいよう)するなら75分の1)。これが100分の1に近いのか、10分の1に近いのかを判断します。100分の1と比較すると2倍のずれ、10分の1と比較すると5倍のずれになります。したがって、オーダーで考えると、10分の1ではなく100分の1となります。このような趣旨(しゅし)の問題であり、問題がまちがっているわけではありません。
●2級・問1と問題訂正について
【ご意見】
〇今回は問題訂正が4問あり、突合せに時間がかかりました。このような時は時間を5分延長するといったような対応も必要かと思いました(ご質問文より一部抜粋)。
〇公式テキストには記載があったようですが、テキストを使って勉強していない者にとっては混乱する問題でした。また、訂正があったためパニックになったという声も受験後聞いたので、全員正解などの対応をして欲しい(ご質問文より一部抜粋)。
【回答】
ご意見ありがとうございます。2級問題に複数の訂正があり、受験者のみなさまに混乱を招いたことを深くお詫びします。また、2~4級の出題は公式テキストの内容から出題すると事前に告知しておりますが、今後は告知の徹底をさらに図る所存です。いただいたご意見は次回の参考にさせていただきます。
●2級・問10について
【問題文】 アニメ『機動戦士ガンダム』シリーズでよく登場するスペースコロニーでは、どのようにして重力と同じ働きをする力を得ようとしているか。
①マイクロブラックホールを搭載している
②超高速で回転するジャイロを搭載している
③スペースコロニー自体が並進加速度運動をしている
④スペースコロニー自体が回転している
【正解】
④スペースコロニー自体が回転している
【解説】
スペースコロニーは1969年にジェラルド・オニールが提唱した宇宙空間の人工居住地で、スペースコロニー自体を回転させることで遠心力による擬似重力を得ることが考えられている。例えば直径6.4kmのスペースコロニーが、110秒で1回転すれば地球と同程度の疑似重力が得られるが、回転と同じ方向に移動すれば疑似重力は大きくなり、横方向であればコリオリの力を受ける。例えばコロニー内で野球をすると、野球場の向きによって打球の行方が大きく変わるとの試算もある。
【質問1】
ガンダムというアニメ内のァンタジーの世界の中のスペースコロニーを問う問題と読み取れる文章でした。一般的なスペースコロニーの設問だとしても設問として生かすにはおかしい文章でした(ご質問文より一部抜粋)。
【質問2】
なぜ高速回転させてはいけないのでしょうか?ガンダムを知らない私にとっては解きにくい問題でした…(ご質問文より一部抜粋)
【回答1】
問題文として分かりづらい表現であったこと、また問題と共にコロニーの図を掲載するなど配慮がたらなかったことをお詫びします。『機動戦士ガンダム』に登場するスペースコロニーは、アニメの創作ではなく、そもそもオニールのスペースコロニーを参考にしています。
【回答2】
テキストP.138に、「『機動戦士ガンダム』などアニメにも取り上げれられている。」と記述があるように、そこに登場するスペースコロニーは、アニメの創作ではなく、そもそもオニールが提唱したスペースコロニーを参考にしています。②は、ジャイロが高速回転するだけで、スペースコロニー自体が回転するとは限りません。スペースコロニー自体が回転しないと、疑似重力はつくれないので、②は誤りです。
●2級・問40について
【問題文】
1光年は1天文単位の約何倍になるか。
①1000倍
②10万倍
③100万倍
④1億倍
【正解】
②10万倍
【解説】
1天文単位は1.5×1011mで、1光年は9.5×1015mなので約10万倍違う。さらに、1光年の10万倍が銀河系のサイズ(約10万光年)になる。
【質問】
問40は選択肢が雑すぎるのではないでしょうか。3級テキスト6章のコラムに載っていますが、「1天文単位は1.5億km、1光年は10兆km」で、これを覚えて計算してきました。割り算をすると66666倍で、約7万倍ということになります。それを約10万倍と答えさせるのは、ほかの厳密な計算問題と比べても整合性が取れません。そもそもこれは2級レベルではなく、3級レベルでは?もやもやとしています(ご質問文より一部抜粋改変)。
【回答】
この問題は、おおざっぱな値(天文学ではオーダーと呼びます)を把握してもらうもので、天文学的な捉え方、概算という概念を理解していただく意図で出題いたしました。ご意見ありがとうございます。今後の参考にさせていただきます。
●1級・問14について
【問題文】
低質量の主系列星の光度は、質量のおよそ3乗に比例する。この場合、太陽の質量の0.5倍の主系列星の寿命はどれくらいか。なお、太陽の寿命を100億年とする。
①200億年
②400億年
③600億年
④800億年
【正解】
②400億年
【解説】
質量をM、光度をLとすると、質量光度関係はL=M3と表される。主系列星の寿命τは質量を光度で割った値に比例するので、τ∝M /L ∝M /M3=M-2となり、寿命は質量の2乗に反比例する。したがって、太陽の質量の0.5倍の主系列星の寿命は、
τ=100億年×(0.5)-2=100億年×22=400億年となり、②が正答となる。
【質問1】
公式問題集によると星の明るさはコードLは3乗から4乗に比例すると書いてあります。星の寿命のτはL分のMに比例するから星の質量Mをコードで割ったものになり、質量の3乗から4乗分のMの3乗から4乗分のMだからMの2乗から3乗分の1になります。太陽の質量の2分の1の寿命はどれかっていうと4分の1から8分の1になります。答えは400億年から800億年の範囲になるから解答は③600億年を選びましたが解答は②400億年ということになるとのことですが、一度お調べいただけないでしょうか。
【回答1】
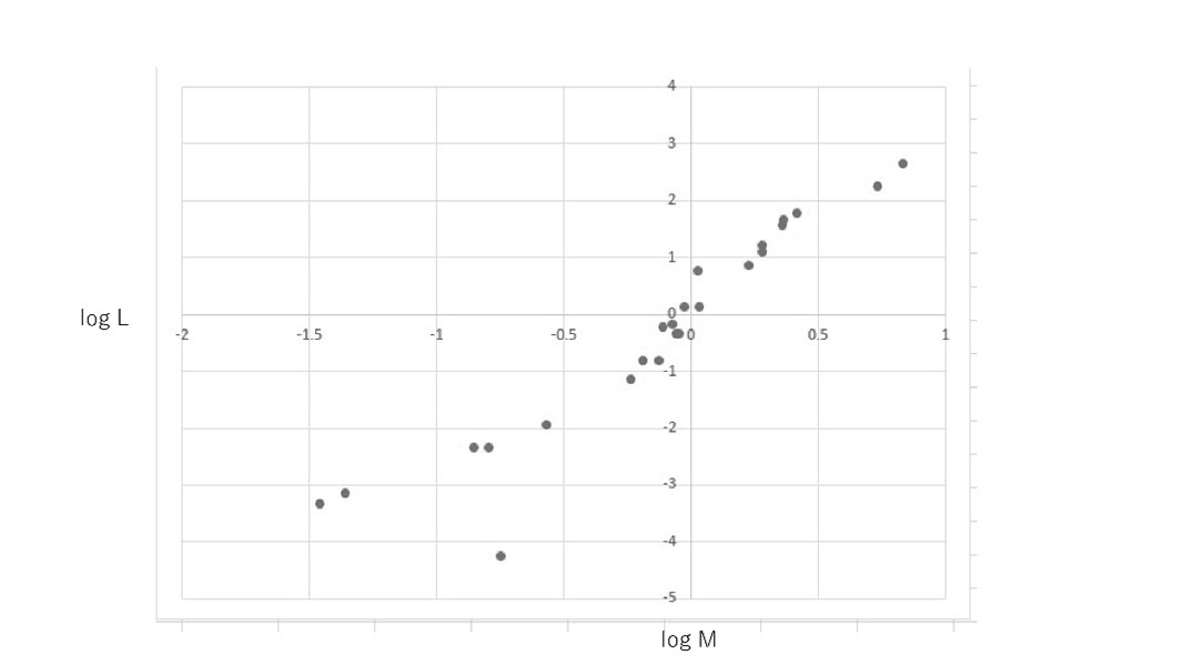
多くのテキストなどには、「主系列星の光度は質量の3~4乗に比例している」と書かれていますが、これは、横軸に質量の常用対数値を、縦軸に光度の常用対数値をとってプロットすると、全体的にほぼ直線状に分布し、その傾きが3~4の間にあることを意味しています。しかし、その分布を詳しくみると、低質量側で傾きが小さく3に近くなり、質量が大きいと傾きが4に近くなります。
この問題では、「低質量の主系列星の光度は質量のおよそ3乗に比例する」と規定しており、「質量が太陽の0.5倍」と、主系列星も低質量側にありますので、3乗で計算した結果を正答としています。1級公式参考書『極・宇宙を解く』の「第3章 恒星の世界 27.主系列星の質量光度関係」の項に詳述してありますので、ご参照ください。
【質問2】
上記回答で、「しかし、その分布を詳しくみると、低質量側で傾きが小さく3に近くなり、質量が大きいと傾きが4に近くなります。(中略)1級公式参考書『極・宇宙を解く』の「第3章恒星の世界 27.主系列星の質量高度関係」の項に詳述してありますので、ご参照ください。」とありますが、公式参考書P.114の(27.6)式によると、質量が小さく低温の恒星では、光度は質量の5乗に比例する旨が書かれており、逆に質量の大きな恒星は質量の3乗に比例することが書かれています。回答の内容は、テキストの内容と矛盾していませんか。問題文には確かに「低質量の主系列星の光度は、質量のおよそ3乗に比例する。」ことが前提とされており、それを前提にすれば答えは導かれますが、そもそもの前提がテキストの内容と違うことにかなり違和感を覚えました。
【回答2】
ご指摘の通り、確かにテキスト(極・宇宙を解く)には、「低質量側で光度の5乗に比例する」と書いてあります。この部分は、理論的な導出が述べられていますが、理論的な考え方をおおざっぱな見積もりで示したものです(例えば、中心温度は一定とするなど)。
他方、観測的に見ますと、参考図1に示すように、低質量星側では傾きは少し小さめになります。この図は、テキストの演習のデータを使って作成したものです。

また、大質量星のデータは少ないですが、別の資料から作成したものも示します(参考図2)。観測的には、低質量星側と大質量星側で少し傾きが変化することがわかると思います。

問14は、このような観測事実をもとにして作成しましたが、テキストの記述と矛盾がありました。
テキストの理論的見積もりは、簡単な見積もりで質量光度関係がだいたい導けること、低質量星側と大質量星側で異なることを示したものです。観測的には、上述の回答どおりです。観測的な事実と、テキストの理論的導出の結果が矛盾してしまったのは、テキストの理論的な導出が粗いためだと考えてください。
頂いたご意見はテキスト改訂時に、参考にさせていただきます。
●1級・問40について
【問題文】
南天の星座に「ぼうえんきょう座」がある。これは、南天の観測を終えたニコラ=ルイ・ド・ラカイユが作成した14の星座の1つで、1756年に彼の星図で表記された。この「ぼうえんきょう座」の望遠鏡は何がモデルになっているとされているか。
①ガリレオ・ガリレイの作った望遠鏡
②アイザック・ニュートンの作った反射望遠鏡
③ウィリアム・ハーシェルの巨大反射望遠鏡
④ジャン=ドミニク・カッシーニが使った空気望遠鏡
【正解】
④ジャン=ドミニク・カッシーニが使った空気望遠鏡
【解説】
ぼうえんきょう座は、いて座やみなみのかんむり座の南にある星座で、暗い星ばかりでできている目立たない星座である。ラカイユは当時、土星のカッシーニの隙間など様々な発見をしていたパリ天文台のジャン=ドミニク・カッシーニ(1625–1712)の望遠鏡をモデルにしたとされている。実際ヨハン・ボーデの星図などには、長い望遠鏡が描かれており、ニュートンの反射望遠鏡やガリレオの望遠鏡とはあきらかに違う。なお、ハーシェルが活躍したのは1773年以降で、有名になったのは1781年の天王星発見。巨大望遠鏡の建設はさらに後の1785年以降に作られている。
【質問】
設問40の正答が選択肢④カッシーニの空気望遠鏡であること自体に疑義はありません。キーワード「ぼうえんきょう座」だけで検索してもその旨の記述が複数見つかること、ラカイユとカッシーニの関係、ぼうえんきょう座が作られた当初は現在より遥かに長い領域だったこと、競うように「ハーシェルのぼうえんきょう座」が作られたことなどから、納得できます。しかし、ぼうえんきょう座が作られた当時の古星図はともかく、現在書店や図書館にある書籍の多くに採用されているぼうえんきょう座の星座絵は、ほぼ全部が空気望遠鏡ではなく鏡筒がある屈折望遠鏡に見える形状に描かれており、選択肢①ガリレイの望遠鏡を参考にしたと思われるものも複数見受けられます。神話が無いため、由来に言及していない本も少なくありません。ということで、①ガリレイの望遠鏡が選択肢にあるのは「引っ掛け問題」の範疇を超える紛らわしさに思え、「メシエの望遠鏡(監視者メシエ座が作られたことがある)」にでもしていただいた方が疑義の余地を無くせたかと思われるのですが、いかがでしょうか。
【回答】
「ラカイユが作成した星座は1756年に彼の星図に表記された」と問題中にヒントがあります。彼は同時代・少し前の機器を星座としてとりあげています。時代的に、ガリレイ、ニュートン、ハーシェルは排除するためのヒントになるので誤答として設定しています。有名な天文学者とその時代、星座の成立などから、仮に知らなくても、類推できる問題と考えています。
『4級公式テキスト』に、読者の方より、以下のようなご質問をいただきました。
「6ページでは、「……探査機が他の太陽系の中を通過する確率は、100億年に1 回以下といわれている」。18ページでは、「ボイジャー1号や2号が他の太陽系の中を通過する確率は1億年に1度くらいと考えられている」と、表記の揺れがございます。どちらが正しいでしょうか(ご質問メールを一部改変)。
まずは、回答が遅くなりましたことをお詫び申し上げます。
ご指摘いただきました、表記の揺れによるわかりづらさにつきましては、今後の編集業務の参考にさせていただきます。
ご質問いただきまして、誠にありがとうございました。
以下に、編者からのお返事をお伝えします。
****************************
100億年に1度以下が正しい。
ただ、1億年に1度でもまちがっていないのです。
科学者の研究によると、現在発見されている星の数からすると、ボイジャーが、他の恒星を中心とする直径1光年の範囲を通るのは500万年ごとです。
太陽系の天体で、現在直径1光年は太陽から発見されている一番遠い天体(2018 VG18)までの距離の250倍です。つまり「まと」の幅が250分の1、面積は6万分の1になりますから、太陽系の中を通るのはさらに6万倍も難しく、3000億年に1度となります。
実際にはまだ発見されていない星もたくさんありますし、太陽系の大きさもより広いかもしれません。そう考えると100億年から1000億年に1度くらいと考えるのがよいでしょう。
ただ、太陽系の大きさはもっとずっと広くて、2光年くらいあるという考えもあります。
そうなると、100万年に1度は他の太陽系の中を通るといえないことはありません。
太陽系の大きさはまだよくわかっておらず、もしかしたらもっとひんぱんに他の太陽系を通るかもしれません。
ただ、隣の太陽系まで、もしまっすぐに行ったとしてもボイジャーは10万年はかかりますので、1000年ということはありません。
****************************
○第9回天文宇宙検定(2019年10月20日開催)
●最年少受験者
1級 11歳
2級 8歳
3級 6歳
4級 4歳
●最高齢受験者
1級 74歳
2級 81歳
3級 83歳
4級 86歳
※年齢は受験申込時に受験者本人様に提出いただいた情報によります
●受験者男女比率
1級:男性 84.3%、女性 15.7%
2級:男性 63.9%、女性 36.1%
3級:男性 60.7%、女性 39.3%
4級:男性 57.8%、女性 42.2%
●合格率
1級:7.0%
2級:40.0%
3級:81.1%
4級:83.0%
●最高得点
1級:84点
2級:98点
3級:99点
4級:100点(2名)
●平均点
1級:53.7点
2級:63.5点
3級:70.0点
4級:71.9点
〇第9回天文宇宙検定講評
■4級
受験者数が徐々に伸びている4級。今回も10代未満・10代の若年層が4級受験者に占める割合は5割を超えた。
今回は合格率が上がり、全体でも80%を超えたが、10代未満の合格率は71.3%と前回54.3%を大きく上回った。また、90点以上の高得点獲得者は、受験者の1割を超えた。20代、30代女性の受験者がやや減少したが、30代女性の合格率は100%、40代女性は92.7%と健闘した。
正答率が高かった問題は次の4問。【問33】地球がどの天体の種類にあてはまるかを問う問題(正答率98.0%)、【問11】環をもたない惑星を選ぶ問題(正答率95.6%)、【問22】ほうき星と呼ばれる天体を選ぶ問題(正答率93.3%)、【問35】北緯35°での太陽の見える角度を問う問題(正答率93.3%)。
正答率が低かった問題のうち、正答率が4割以下だったのは次の3問。【問4】三大流星群でないものを選ぶ問題(正答率25.7%)。しぶんぎ座流星群(1月4日ごろ活動が最も活発になる)を選んでしまった方が5割以上だった。この問題は第5回試験でも出題されたが、その際も正答率は26.2%と低かった。次に正答率が低かったのが【問6】アンドロメダ銀河、大マゼラン雲、小マゼラン雲のうち、肉眼で見える銀河の数を問う問題(正答率33.1%)。肉眼で見られる銀河は3つ全てであるが、そのうち日本から見られるのは1つだけ(大マゼラン雲、小マゼラン雲は天の南極の近くにあるので日本では見られない)なので、勘違いしてしまった方がいたようだ。次に正答率が低かったのは【問5】おうし座にある、すばる(プレアデス星団)の位置を問う問題(40.0%)。すばるは、おうしの背中の部分に見えるが、おうしの顔の部分に見えるヒアデス星団の位置と間違ってしまった方が多かった。
また、星座早見盤の東西南北の表記に関する問題【問21】は過去に出題されており、問題集にも掲載されているが、正答率はあまり高くない(63.0%)。星座早見盤は空にかざして使うため、東西が逆に描かれていることに注意しよう。公式テキスト4章には季節ごとに見やすい星座が紹介されている。ぜひ公式テキストや星座早見盤を片手に、実際に夜空を見上げて星座を探してみてほしい。
■3級
今回は3年ぶりに合格率が80%を超え、平均点も70点となった。特に10代~20代、50代~60代の合格者が増加した。3級や4級の試験会場では、親子で、または孫と一緒に受験、という姿も多く見られた。
正答率が高かった問題は次の3問。【問15】彗星と関わりの深い現象を選ぶ問題(正答率95.6%)、【問34】星の正式名に付けられたギリシャ語のアルファベットの意味を問う問題(正答率95.4%)、【問20】夏の大三角を構成する星を選ぶ問題(正答率94.6%)。
正答率が極めて低かったのが【問56】探査機が着陸したことのある衛星をもつ天体を問う問題(正答率15.1%)。火星を選んだ受験者が約7割と圧倒的に多かった。「探査機が着陸したことのある惑星」を問うているわけではないことに注意。次に正答率が低かったのが【問12】天文学において使われない座標を問う問題(正答率21.6%)。赤道座標や銀河座標を選んでしまった方が多かった。2019~2020年の公式テキストから新しく加わった内容(2章コラム)だが、重要なので、もう一度整理しておこう。次に正答率が低かったのが、【問6】離心率の最も大きい太陽系惑星を問う問題(正答率22.2%)。海王星を選んだ方が多かったが、むしろ海王星は金星に次いで離心率は小さい。
今回は、2019年に2度のタッチダウンを成功させた「はやぶさ2」に関連する問題が2問出題された。【問9】表面に着地することを表す言葉を問う問題(正答率83.2%)と【問23】小惑星リュウグウの写真を選ぶ問題。【問23】の正答率は44.5%とあまり芳しくなく、小惑星イトカワの写真を選んでしまった方が4割近くいた。コマやそろばんの玉のような形と報じられたリュウグウ。公式テキストだけでなく、時に新聞や天文雑誌に目を通してみることも、合格への一助となるだろう。
■2級
例年3級の受験者が最も多いが、今回は2級の受験者数が3級を上回った。3級から2級は難易度がぐんと上がるが、今回は10代でチャレンジされた方が増えた。全体の合格率も40.0%と昨年(29.2%)を大きく上回った。2級までの出題範囲は公式テキストの記述内容からであり、過去問の類似問題も多いので、公式テキストや問題集を隈なく読み込んで試験に臨もう。
正答率が9割をこえた問題は、次の3問。【問43】小惑星帯に関する正しい記述を選ぶ問題(正答率93.1%)。【問54】天体の色について、間違った記述を選ぶ問題(正答率91.9%)。【問47】規模の似た2つの銀河が衝突するとどのようなことが起きるかを問う問題(正答率91.4%)。以上3問は過去に類似問題が出題されたことがある。
正答率が特に低かった問題は次の4問。【問59】小惑星リュウグウにない地名を選ぶ問題(正答率25.1%)。キンタロウクレーターを選んだ方が多かった。オトヒメというクレーターはないが、最も大きい岩は「オトヒメ岩塊」と命名された。【問26】多くの渦巻銀河で見られる輝線のスペクトルの模式図を選ぶ問題(正答率28.6%)。正答は①だが、③と迷われた方が多かったようだ。これは公式テキスト6章4節からの応用問題である。【問58】『明月記』の客星の記載を欧米の天文学者に紹介した人物を問う問題(正答率29.2%)。正答は、アマチュア天文家の射場保昭であるが、著名な天文学者を選んでしまった方が多かった。【問32】2018年に打ち上げられた太陽探査機を問う問題(正答率29.8%)。日本の太陽観測衛星「ひので」を選んでしまった方が多かった。「ひので」打ち上げは2006年で、すでに多くの観測成果をあげている。
■1級
1級受験者は、今回も男性が8割以上であり、男性は50代と60代、女性は30代が多かった。昨年の合格率は0.8%とこれまでで最も低い合格率であったが、今回はぐっと増えて7.0%となった。得点のピークは50点台で、あと一歩で準1級という方が多かった。最高得点は84点と過去最高であった。今回は時事問題がごくわずかに多めであったため、話題のニュースをこまめにチェックしている方は正答を導きやすかったのかもしれない。
正答率が8割以上だった問題は次の4問。【問21】探査機「イカロス」の推進法を選ぶ問題(94.8%)。【問25】種族Iの恒星に重元素が多い理由を選ぶ問題(89.6%)。【問15】ギリシャ文字「ロー」を選ぶ問題(87.0%)。【問18】天体ニュートリノの発見でノーベル物理学賞を受賞した人物を選ぶ問題(85.2%)。
正答率が特に低かったのは【問24】宇宙における星の分布は平たい円盤状になっているのではないかと最初に提唱した人物を選ぶ問題(10.4%)。ウィリアム・ハーシェルを選んだ方が多かったが、ハーシェルが天の川銀河(銀河系)の円盤構造を論文で発表したのは、1785年のこと。次に低かったのが【問19】銀河の赤方偏移サーベイによって作成された銀河の分布図で見られる、地球からの視線方向に伸びた構造の呼び名を選ぶ問題(17.4%)。大スケールにおける赤方偏移変形である「カイザー効果」を選んでしまった方が多かった。時事問題で正答率が低かったのは【問6】アメリカの新型宇宙船に乗るために訓練を開始した日本の宇宙飛行士を選ぶ問題(22.6%)。直近にISSに滞在していた金井宣茂宇宙飛行士を選んだ方が半数以上いた。
なお、1級公式参考書『超・宇宙を解く』に掲載された図を使った出題は、【問7】(77.4%)、【問10】(74.8%)など正答率は70%を超えた。今年の1級試験からは、2月に発刊する『極・宇宙を解く』(『超・宇宙を解く』の改訂版にあたる)を公式参考書に採用する。4割程度はこの参考書より出題されるので、今回の試験同様、しっかり読み込んでおくことをおすすめする。
■総括
第8回に引き続き、第9回検定試験も全国10カ所の会場で行われた。各試験会場の運営にご協力いただいた皆様には心より御礼申し上げる。
試験終了後には、東京・名古屋・大阪会場で答え合わせ会が開催された。多くの受験者にご参加いただき、熱心で活発な質疑応答も行われた。
今回も幅広い年齢層の方々に挑戦していただけた。今回は、4級・3級・2級そして1級すべてで、合格率が上がった。とくに1級の合格率が大きく上がった。非常に喜ばしい限りである。
さて、例年の総括同様、まず、本検定のココロから復習すると、本検定は天文や宇宙に関わるあらゆるモノゴトについて、知識を蓄え、本質を理解し、そして徹底的に楽しんでいただきたくことが目的である。定員の決まった大学の入学試験などでは仮に成績がよくても定員を超えた受験者を“落とす”わけだが、本検定の場合は基準を超えた受験者を“合格”させるものだ。原理的には全員が合格という可能性もある。本検定も10年近く続いており、どうしても過去問との類似問題も増えてきてはいるが、各級における問題の難易度自体は一定の水準で保たれている。したがって、今回、全体的に合格率が上がったということは、受験者のみなさんが公式テキストや過去問をしっかり勉強してこられたことを意味しており、実施する側としても非常に嬉しいわけである。
ところで、過去問を含め、4択という条件はあるものの、検定問題にはいくつかのタイプがあることはご存じだろうか。圧倒的に多いのは、基礎的な知識やトリビアな知識そして最先端の知見など、知識の内容を尋ねる単純な文章題である。天体画像やグラフを読み解く画像・図形問題もある。そして簡単な計算や数式の意味を考える公式・計算問題がある。作成側としては、図形問題や計算問題はなかなか作成に手間がかかるので、どうしても単純問題へと流れがちである。一方、受験者側としても、単純な問題の方が覚えやすく、図形問題や計算問題は取っかかりが難しいだろう。ただ宇宙に関する多種多様な知識を暗記するだけ、というのは本検定の本意ではなく、その先、種々の知識を基礎として宇宙をより深く理解し愉しんで欲しいのが本意である。その観点からは、あれこれと考える問題を出題し、また受験者に解いていって欲しいと思う。
また天文や宇宙の分野は本当に日進月歩である。この1年ほどの間にも、ブラックホールシャドー発見の報はあり、はやぶさ2が小惑星リュウグウへタッチダウンし、重力波源や系外惑星はその数をますます増やした。公式テキストは2年毎に改訂されており、運良く昨年に改訂された2級と3級の公式テキストには入れ込むことができたが、間に合わないことも少なくない。いずれにせよ、本検定のための勉強を支えに、最新の発見などにも触れ、公式テキスト以外にも視野を大きく広げて欲しい。
最後に、今回は若年層の受験者が伸びているようである。4級の合格者が3級へ進み、3級をクリアしたら2級へ挑み、そしてついには高難易度の1級へチャレンジして欲しい。そして、その間には天文や宇宙の最先端も拡がり、それとともに公式テキストも改訂され、ともに末永く先へ先へと進んでいただきたいものである。
2020年2月吉日
天文宇宙検定委員会
第9回の試験問題について、ご質問をお寄せいただき有難うございました。
以下に、3級・問49の試験問題の誤植訂正のご報告と、
1級・問27についてお寄せいただいた、複数の方からのご質問について回答申し上げます。
●3級・問49の誤植訂正
【問題文】
2019年はドミトリ・メンデレーフが元素の周期律を発見してから150周年にあたる。
次の中で名前の由来が太陽に関係する元素を選べ。
①セレン(Se)
②ヘリウム(He)
③サマリウム(Sm)
④セシウム(Cs)
【正解】 ②
【解説】
①セレンの由来は月の古代ギリシャ名セレーネ。
②ヘリウムは古代ギリシャ語の太陽=ヘリオスが由来で正解。
③サマリウムは当該元素が発見された鉱物、サマルスキー石が由来。
④セシウムはラテン語で青が由来。
【誤植訂正】
試験問題用紙の選択肢③「サマリウム(Sa)」は「サマリウム(Sm)」の誤りでした。
訂正してお詫び申し上げます。
●1級・問27:質問への回答
【問題文】
イベント・ホライズン・テレスコープ・プロジェクトが、
2019年4月、ブラックホールの直接撮像に成功した。
次のうち誤っているものを選べ。
①離れた望遠鏡間のデータを比較するほど解像度がよくなるため、
地球上の各地の電波望遠鏡を用いて同時観測を行った
②銀河系中心の超巨大ブラックホールは、M 87のブラックホールに比べて
質量が小さいため変動が大きく、2019年8月現在、まだ確実な撮像ができていない
③ブラックホールの周囲の天体が放つ光が、ブラックホールで曲げられて、
リング状に光るように見えると考えられる
④光るリングの内側の端の部分が、ブラックホールの事象の地平面
(イベント・ホライズン)である
【正解】 ④
【解説】
イベント・ホライズン・テレスコープ・プロジェクトが、直接撮像に成功したのは、
M 87銀河系の中心にある超巨大ブラックホールで、リング状に光る天体だった。
光るリングのすぐ内側がブラックホールなのではない。
もし、ブラックホールが回転していないのならば、光が安定に周回できる円軌道の半径は、
ホライズン半径の1.5倍より外側である。
【質問】
イベント・ホライズン・テレスコープの問題について質問です。
ブラックホールの直接撮像のリングは「周囲の天体が放つ光」だけではなく、
降着円盤からの光もあるのでは?
また、ブラックホールの近くに存在するガスが放つ電波も、
天体が放つ光となるのでしょうか。
選択肢の③、④共に誤りだと思うのですが?
(質問文は一部要約しています)
【回答】
ご質問いただき、ありがとうございます。
結論から申しますと、記述内容に誤りがあるのは、選択肢④のみで、
選択肢③の記述に誤りはありません。
まずは、国立天文台が撮像の記者発表と同時に公開した、
メカニズム説明の動画を見ていただければ、ご理解いただけると思います。
●国立天文台ホームページ:史上初、ブラックホールの撮影に成功
https://www.nao.ac.jp/news/sp/20190410-eht/videos.html
次に、選択肢③についてですが、
今回公開されたブラックホールの画像がぼやけているため、
その広がった部分が降着円盤であると考えておられる方が見受けられます。
たしかに、M87中心のブラックホール周辺には、
おそらくは非常に希薄な降着ガス流が存在していると考えられますが、
降着ガス自体は希薄すぎて、今回、電波画像として検出できていません。
つまり、今回公開された画像では、降着ガスから放射された電波が、
ブラックホールの重力で曲げられ、
円形の光子リングへ収束されて遠方に届いたものを観測しています。
光子リングは、本来は細いですが、電波画像ではぼけてしまって、
幅広のリボンのようにみえています。
次の画像(Thorneらの理論シミュレーションの論文より)で説明するならば、
中央の黒い領域を取り囲む細い円形のリングが今回観測されたものです。
M87銀河ではもともとガスの量が非常に少なく、ブラックホール周辺に存在するだろう降着ガスは
希薄過ぎて電波画像としては検出されていません。
ただし、降着ガスのさまざまな場所から放射された光(電波)が収束して
強められた光子リングは検出されたのです。
したがって、希薄で検出はできなかったですが、ブラックホール周辺には
“降着ガス流”という天体が存在していると考えてよいです。
最後となりましたが、ご質問とは別に、本問題文では、
「イベント・ホライズン・テレスコープ・プロジェクトが、
2019年4月、ブラックホールの直接撮像に成功した。」
となっていますが、記者発表が4月であり、実際の撮影は2年前です。
問題文に誤りがありましたことを訂正し、お詫び申し上げます。