Abstract
The terms “global warming,” “climate crisis,” “climate emergency,” and “climate justice” each draw attention to different aspects of climate change. Psychological theories of attitude formation suggest that people’s attitudes can be influenced by such variations in terminology. In a national experiment, we randomly assigned a national sample of 5,137 U.S. residents to “climate change,” “global warming,” “climate crisis,” “climate emergency,” or “climate justice” and examined their responses. Overall, “climate change” and “global warming” were rated as most familiar and most concerning, and “climate justice” the least, with ratings for “climate crisis” and “climate emergency” falling in between. Moreover, we find no evidence for “climate crisis” or “climate emergency” eliciting more perceived urgency than “climate change” or “global warming.” Rated willingness to support climate-friendly policies and eat less red meat were less affected by presented terms, but they were lowest for “climate justice.” Although effects of terms on rated familiarity, concern, and perceived urgency varied by political leaning, “climate justice” generally received the lowest ratings on these variables among Democrats, Republicans, and Independent/others. Auxiliary analyses found that when terms were unfamiliar, participants were generally less likely to express concern, urgency, policy support, or willingness to eat less red meat. We therefore recommend sticking with familiar terms, conclude that changing terminology is likely not the key solution for promoting climate action, and suggest alternative communication strategies.
Similar content being viewed by others
Avoid common mistakes on your manuscript.
1 Introduction
1.1 Words matter
Psychological theories of attitude formation suggest that attitudes about a topic are influenced by topic-related information that comes to mind in the moment (Schwarz 2007; Sudman et al. 1996). In line with those theories, survey design research has been showing for decades that words that draw attention to different aspects of a topic can sway public opinion about that topic (Cantril 1944; Payne 1951). Similarly, classic psychological studies have found that seemingly slight variations in how options are framed can affect people’s judgments and decisions (Tversky and Kahneman 1981; Levin et al. 1988). For example, food without meat and dairy is more likely to be chosen when it is labeled “plant-based” rather than “vegan” -- and becomes even more popular when labels say “healthy” or “sustainable” to emphasize the benefits of eating food without meat and dairy (Sleboda et al. 2024). While “healthy” and “sustainable” are not exactly synonyms of the term “vegan,” vegan food does tend to be more healthy and sustainable than non-vegan food (Sleboda et al. 2024). Hence, there is reason to suspect that the terms that have been proposed to emphasize different aspects of “climate change” may affect people’s responses, including their concern about the topic, and their willingness to do something about it (e.g. Schuldt et al. 2011). The present paper therefore examines public responses to the terms “climate change,” “global warming,” “climate crisis,” “climate emergency,” and “climate justice,” among Democrats, Republicans, and Independents/others (see Sect. 1.6).
1.2 Terms used to discuss “climate change” emphasize different aspects of the phenomenon
Terms like “climate change” and “global warming” have long been used to describe the climate impacts of increasing anthropogenic greenhouse gases in the atmosphere (Penz 2017). Although “climate change” and “global warming” are often used interchangeably in the public discourse (Benjamin 2017), they are not synonyms and emphasize different aspects of the phenomenon. Specifically, “climate change” refers to diverse changes in the climate that may or may not be due to human activity while “global warming” refers to increasing global surface temperatures and implies that humans are actively warming the planet (Penz 2017). Indeed, the term “climate change” was initially popularized by an advisor to the Bush administration to de-emphasize the role of human activity (Penz 2017). Google Trends between 2004 and 2014 found that, as an internet search term, “climate change” was initially less popular than “global warming” (Lineman et al. 2015). Consistent with this trend, a 2003 public perception study in South England found that “climate change” was less familiar than “global warming,” while also raising less concern or calls for action (Whitmarsh 2009). However, “climate change” and “global warming” were similarly likely to be searched in 2014, and “climate change” had overtaken “global warming” in 2016 (Penz 2017).
In addition to “climate change” and “global warming,” other terms have been introduced to focus the public discourse on other aspects of the phenomenon. Like “global warming,” none of these terms are synonyms of “climate change,” but they emphasize aspects of climate change to try to increase public responsiveness. In 2019, The Guardian newspaper switched to using “climate crisis” and “climate emergency” in an effort to raise concern and convey urgency (Schäfer et al. 2023). Additionally, the term “climate justice” has been introduced by left-leaning grassroot organizations to draw attention to climate change as a human rights challenge (Dutta 2019). That is, disadvantaged communities will suffer the most from the effects of climate change despite being the least responsible for causing it (Dutta 2019; Schlosberg and Collins 2014; Saraswat and Kumar 2016). It has been suggested that linking climate policy to justice may increase public support (Bergquist et al. 2020).
1.3 Political polarization in public responses to “climate change” and “global warming”
Americans who lean Republican are traditionally more skeptical about climate change than Americans who lean Democrat (Pew Research Center 2023a), in agreement with political parties’ stance on the issue. In part, this reflects Americans’ tendency to support the views of their political party and devalue the views of the other political party (van Boven et al. 2018).
Since the early 2000s, national experiments have been examining whether the words used for “climate change” affect this partisan divide (e.g., Akerlof and Maibach 2011; Schuldt et al. 2011; Villar and Krosnick 2011). In the early 2000’s, Republicans in the United States (U.S.) reported being more skeptical when they were asked about “global warming” than when they were asked about “climate change,” perhaps because Republicans tended to question “global warming” during unseasonably cold weather (Schuldt et al. 2011, 2015; Morin-Chassé et al. 2020). A Republican senator even brought a snowball into U.S. Congress in 2015 to highlight how cold it was and to question “global warming” (Fisher et al. 2015).
In line with this finding, Republicans used to consider “climate change” as more serious than “global warming” (Villar and Krosnick 2011). In contrast, Democrats considered “global warming” more serious than “climate change” (Villar and Krosnick 2011), perhaps because the former suggests the contribution of human activity (Penz 2017). When asked to choose between “climate change” and “global warming,” most Americans had no preference, though Democrats slightly preferred “global warming” (Akerlof and Maibach 2011). However, Democrats and Independents/others showed relatively less skepticism than Republicans, independent of the presented terms (Schuldt et al. 2011).
Over time, partisan differences in responses to the terms “climate change” and “global warming” have faded (Schuldt et al. 2020). In 2018, about 75% of Republicans and 95% of Democrats indicated that they thought “climate change” and “global warming” were real, thus no longer showing an effect of terminology on reported concerns (Schuldt et al. 2020). However, the influence of saying “climate change” or “global warming” may be stronger on concerns than on willingness to act, and on Independents/others who do not have strong opinions about the phenomenon (Benjamin et al. 2017).
1.4 Political polarization in public responses to newer terms
Few studies have examined public responses to “climate crisis” and “climate emergency,” which were introduced to raise public concern and emphasize urgency (Schäfer et al. 2023). One study with a U.S. national sample found no differences in willingness to support specific policies after reading news stories mentioning “climate crisis,” “climate emergency” or “climate change,” and there were no partisan differences in responses to those terms (Feldman and Hart 2021). However, perceived credibility and newsworthiness were generally worse for “climate emergency” than for “climate change” (Feldman and Hart 2021). Two other studies also examined public responses to the “climate crisis,” but not whether they varied by political leaning (Jaskuslky and Besel 2013; Hung and Bayrak 2020). The first study found that American undergraduate students expressed the least concern about rising temperatures after reading a news story about the “climate crisis,” as compared to “climate change,” or “global warming” (Jaskulsky and Besel 2013). The second study was conducted with Taiwanese adults, and found no differences in their reported concerns or willingness to act when they were asked about the “climate crisis” or “climate change” (Hung and Bayrak 2020). However, people with individualistic or hierarchical world views reported relatively less willingness to act on the “climate crisis” than on “climate change” (Hung and Bayrak 2020). While these findings suggest that saying “climate crisis” or “climate emergency” could potentially be counterproductive (Jaskulsky and Besel 2013; Hung and Bayrak 2020; Feldman and Hart 2021), public responses to terms change over time (Schuldt et al. 2020; Benjamin et al. 2017).
We found no national experiments that examined the relative benefits of using the term “climate justice” as compared to other terms. As noted, the term “climate justice” was introduced by left-leaning grassroots organizations to emphasize the unfairness of unequal vulnerabilities to climate change (Dutta 2019; Schlosberg and Collins 2014), and linking climate policy to justice may improve public support (Bergquist et al. 2020). However, one study that examined U.S. residents’ familiarity with the concept found that only 37–44% was aware that climate change affects “some groups more than others” (Schuldt and Pearson 2023). Moreover, a study in the United Kingdom found that narratives that focus on “climate justice” are politically polarizing because they resonate with left-leaning audiences and are off-putting to right-leaning audiences (Whitmarsh and Corner 2017). It remains an open question how the term “climate justice” will be received by U.S. residents with different political leanings.
1.5 The current study
Here, we aimed to examine public responses to terms that emphasize different aspects of climate change, and whether these responses differed by respondents’ political leaning. Specifically, we conducted a national terminology experiment in which we randomly assigned a nationally representative sample of 5,137 U.S. adults to survey questions about the terms “climate change,” “global warming,” “climate crisis,” “climate emergency,” and “climate justice.” Our first research aim was to examine the effect of terminology on participants’ ratings of familiarity, concern, perceived urgency, willingness to support policies, and willingness to eat less red meat. Thus, we incorporated measures of beliefs and intentions to act, in recognition of previous findings suggesting that the use of different terms is more likely to affect beliefs than intentions to act (Benjamin et al. 2017). Willingness to eat less red meat was included because the IPCC (2019; 2022) has recommended this dietary shift as a major opportunity for reducing greenhouse gas emissions, which would, in turn, curb climate change and its disproportionate impact on vulnerable communities. Our second research aim was to examine whether the effects of the randomly assigned terms on ratings of familiarity, concern, urgency, willingness to support climate-friendly policies, and willingness to eat less red meat were moderated by Democratic, Republican, or Independent/other political leaning.
2 Methods
2.1 Sample
Our sample includes 5,137 participants of the Understanding America Study, a national survey panel directed by the University of Southern California’s Understanding America Study (UAS), including 1,852 Democrats, 1,697 Republicans, and 1,588 Independent/others. Panel members were recruited from randomly selected U.S. addresses, sampling probabilities were adjusted for underrepresented populations, and internet-connected tablets were provided to interested individuals if needed. They are regularly invited to complete surveys and receive $20 for each 30 minutes of participation.
Initially, 7,607 participants were invited to complete a survey that asked about their political leaning. Only those 5,763 (75%) who reported their political leaning were eligible for our survey. Of those, 5,137 (89%) completed our survey, thus retaining 68% of original invitees. Figure S1 shows the flowchart of participants’ pathway through the surveys. Table 1 compares sample demographics to 2022 population statistics from the U.S. Census, before and after applying post-stratification weights. These post-stratification weights, generated through a raking algorithm, were used in all analyses to align the sample to the U.S. adult population, in terms of age, gender, race/ethnicity, education, and geographic location (see www.uasdata.usc.edu/page/Weights).
2.2 Procedure
Participants were randomly assigned to receive questions about “climate change” (unweighted N = 1,071), “global warming” (unweighted N = 1,009), “climate crisis” (unweighted N = 1,037), “climate emergency” (unweighted N = 1,014), and “climate justice” (unweighted N = 1,006). Table S1 shows demographic characteristics of participants who completed our questions about each randomized term. Participants received five questions about their assigned term (Table 2). The questions about willingness to support policies and willingness to eat less red meat were preceded by a sentence that mentioned the assigned term (Table 2). Survey design research suggests that people take into account such preceding sentences when interpreting survey questions (Schwarz 1999). As is common practice on the UAS, we also offered a Spanish version of our survey (Table S3), even though few UAS participants tend to select it. Indeed, most American residents of Hispanic origin are proficient in English (Pew Research Center 2023b).
Our survey was conducted in June-August 2023 (survey #556 of the Understanding America Study; https://uasdata.usc.edu/index.php). In December 2022-February 2023, participants had been asked “regardless of how you are registered to vote, are you more closely aligned with…” (survey #500 of the Understanding America Study; https://uasdata.usc.edu/index.php). They could indicate Democrat, Republican, Independent (no party), Libertarian, Green Party, some other party, or not aligned with any party. Participants indicating the latter five responses were classified as Independents/others. Table S2 shows that self-reported political leaning was significantly associated with each demographic characteristic, with Republicans being the least likely to indicate wanting the Spanish survey version, or being 65 or younger, female, college-educated, or from a racial/ethnic minority group.
2.3 Analyses
For ease of interpretation, we present the percent of participants who gave a positive response by using the top half of the 4-point rating scale for each of our dependent variables (Table 3). Terms’ mean ratings of familiarity, concern, perceived urgency, willingness to support policies, and willingness to eat less red meat appear in Figs. 1 and 2. Our main analyses treated each rating as a continuous variable. For each rating, we conducted a separate Analysis of Covariance in which we examined the effect of terminology (“climate change,” “global warming,” “climate crisis,” “climate emergency,” or “climate justice”) and political leaning (Democrat, Republican, or Independent/other) as well as their interaction (Table 4). Because demographic characteristics were associated with political leaning (Table S2), covariates included selecting the Spanish (vs. English) survey version, being aged 65 or older (vs. not), being female (vs. not), having a college degree (vs. not), and identifying with the three largest race/ethnicity groups, including Hispanic (vs. not), Non-Hispanic White (vs. not) or Non-Hispanic Black (vs. not). Overall conclusions were unaffected by including or excluding these covariates. We computed partial η2 to assess the effect size for each main effect and the interaction. For partial η2, 0.01 reflects a small effect size, 0.06 a medium effect size, and 0.14 a large effect size (Cohen 1969). We treated significant effects with a partial η2 < 0.01 as showing no meaningful difference.
Mean reported (A) familiarity, (B) concern, (C) urgency, (D) willingness to support policies, and (E) willingness to eat less red meat by term
Note: Survey questions and response scales are described in Table 2. Poststratification weights were used in these analyses. Error bars reflect standard errors. Significance tests of pairwise comparisons between terms are reported in Table S4
Mean reported (A) familiarity, (B) concern, (C) urgency, (D) willingness to support policies, and (E) willingness to eat less red meat, by term and political leaning
Note: Survey questions and response scales are described in Table 2. Poststratification weights were used in these analyses. Error bars reflect standard errors. Significance tests of pairwise comparisons between terms are reported in Table S5-S7
To address our first research aim, we examined the main effect of the randomly assigned term on participants’ ratings of familiarity, concern, perceived urgency, willingness to support policies, and willingness to eat less red meat elicited by the terms (Table 4). We also conducted pairwise comparisons of terms with Bonferroni-corrected p-values to adjust for the number of tests (Table S4).
To address our second research aim, we examined the interaction effect of the randomly assigned term and participants’ political leaning, on ratings of familiarity, concern, urgency, willingness to support climate-friendly policies, and willingness to eat less red meat (Table 4). To better understand these interactions, we conducted a separate Analyses of Covariance on each rating to examine the effect of terms among Democrats, Republicans, and Independents/others, using the same covariates (Table 5). For these analyses, we also report effect sizes (Table 5) and pairwise comparisons with Bonferroni-corrected p-values (Table S5-S7).
In auxiliary analyses, we examined the role familiarity played in reported urgency, willingness to support climate-friendly policies, and willingness to eat less red meat. This involved an Analyses of Covariance in which we added familiarity and its interactions with the randomly assigned term, political leaning, or both, using the same covariates as mentioned above (Table 6). We also conducted separate Analyses of Covariance to examine the effect of familiarity by term and political leaning (Table S8-S9). Familiarity was dichotomized for these auxiliary analyses to facilitate interpretations of these auxiliary analyses, treating “somewhat familiar” and “very familiar” as familiar and treating “not familiar at all” and “not that familiar” as unfamiliar. As noted, post-stratification weights were used in all analyses (see www.uasdata.usc.edu/page/Weights).
3 Results
3.1 Familiarity
A majority of participants indicated being very familiar or somewhat familiar with “climate change,” “global warming,” “climate crisis,” or “climate emergency,” but not “climate justice” (Table 3). However, ratings of familiarity varied across terms (Fig. 1A), seen in a significant main effect with a large effect size (Table 4). “Climate change” and “global warming” received the highest ratings of familiarity (Fig. 1A), with pairwise comparisons suggesting that both terms were rated as similarly familiar and significantly more familiar than each of the other terms (Table S4). “Climate justice” was rated as the least familiar (Fig. 1A), and significantly less familiar than each of the other terms (Table S4). The other two terms fell in between (Fig. 1A), with “climate crisis” rated as significantly more familiar than “climate emergency” (Table S4).
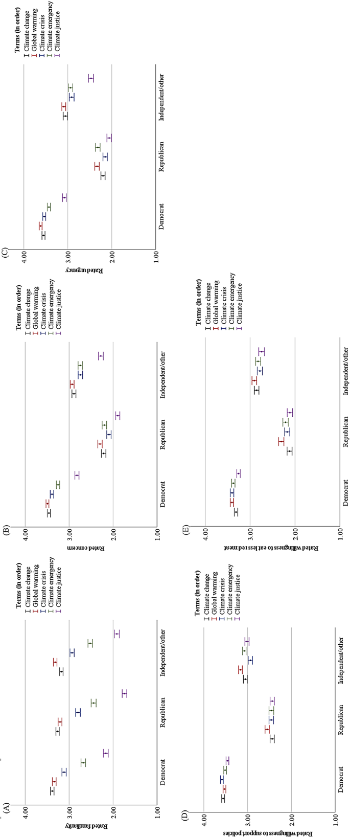
A breakdown by political leaning showed that a large majority of Democrats, Republicans, and Independents/others were familiar with the terms “climate change,” and “global warming” (Table 3). A somewhat smaller majority in each group reported being familiar with the terms “climate crisis,” and “climate emergency” (Table 3). In each political group, “climate justice” was the least familiar, with the majority rating it as unfamiliar rather than familiar (Table 3). Ratings of familiarity also showed this relative pattern across terms (Fig. 2A). Democrats and Independents/others were generally somewhat more familiar with the terms than Republicans (Fig. 2A), seen in a significant main effect of political leaning on familiarity ratings with a small effect size (Table 4). More importantly, we found a significant interaction between terms and political leaning with a small effect size (Table 4): The effect of terms on familiarity ratings was somewhat more pronounced for, in order, Republicans, Independents/others, and Democrats (Table 5). “Climate crisis,” “climate emergency” and “climate justice” were each significantly less familiar than “climate change” and “global warming” for each political leaning (Table S5-S7), but “climate justice” was especially unfamiliar to Republicans (Fig. 2A).
3.2 Concern
A majority of participants expressed being very concerned or somewhat concerned with “climate change,” “climate change,” “climate crisis,” or “climate emergency,” but not “climate justice” (Table 3). Ratings of concern varied across terms (Fig. 1B), resulting in a significant main effect with a medium effect size (Table 6). “Climate change” and “global warming” were rated as eliciting the most concern (Fig. 1B), with pairwise comparisons suggesting that both terms elicited similar concern and at least somewhat more concern than each of the other terms (Table S4). “Climate justice” was rated as the least concerning (Fig. 1B) and received significantly lower ratings of concern than each of the other terms (Table S4). The other two terms fell in between (Fig. 1B), with “climate crisis” raising similar concern as “climate emergency” (Table S4).
A breakdown by political leaning shows that most Democrats and Independents/others were concerned about each term, except for “climate justice,” which only raised concern among a majority of Democrats (Table 3). No term raised enough concern to reach a majority among Republicans (Table 3). Indeed, we found a significant main effect of political leaning on ratings of concern with a large effect size (Table 4): Concern was generally highest among Democrats and lowest among Republicans, with Independents/others falling in between (Fig. 2B). There was no significant interaction between terms and political leaning (Table 4): For every political leaning, “climate justice” consistently elicited the least concern (Fig. 2B), and received significantly lower ratings of concern than every other term (Table S5-S7).
3.3 Urgency
Most participants felt that it was somewhat urgent or very urgent to do something about “climate change,” “global warming,” “climate crisis,” “climate emergency,” and “climate justice” (Table 3). Ratings of urgency varied across terms (Fig. 1C), as seen in a significant main effect with a relatively small effect size (Table 4). “Climate change,” “global warming,” climate crisis,” and “climate emergency” were all rated as similarly urgent, except that “global warming” was rated as slightly more urgent than “climate crisis” (Table S4). “Climate justice” was rated as significantly less urgent than all other terms (Table S4).
A majority of Democrats and Independents/others perceived urgency to do something about each term– but not Republicans (Table 3). Indeed, there was a significant main effect of political leaning on urgency ratings with a large effect size (Table 4): Perceived urgency was highest among Democrats and lowest among Republicans (Fig. 2C). More importantly, the effect of terms on ratings of urgency varied by political leaning (Fig. 2C), as seen in a significant interaction between terms and political leaning with a large effect size, F(2, 4441) = 2.97, partial η2 = 0.26, p < 0.01. The effect of terms on urgency ratings showed a medium effect size among Democrats, and a small effect size among Republicans, with Independent/others falling in between (Table 5). Both Democrats and Independent/others rated each term as significantly more urgent than “climate justice,” while Democrats also rated “global warming” as significantly more urgent than “climate emergency” (Table S5-S7). Republicans’ ratings of urgency showed few significant differences between terms, except that they rated “global warming” and “climate emergency” as somewhat more urgent than “climate justice” (Table S6).
3.4 Willingness to support policies
A majority of participants reported being somewhat willing or very willing to support policies to do something about “climate change,” “global warming,” “climate crisis,” “climate emergency,” and “climate justice” (Table 3). Ratings of policy support did not vary meaningfully across terms (Fig. 1D), as seen in a significant main effect with a very small effect size (Table 4). Pairwise comparisons suggested that ratings of policy support were mostly similar across terms, except that “global warming” received significantly higher ratings of policy support than “climate justice” despite the difference being small (Table S4).
A majority of Democrats and Independents/others supported policies to do something about each term (Table 3). Even among Republicans, a slight majority indicated willingness to support policies to do something about each term, with the lowest support still being at 50% for “climate change” (Table 3). Yet, there was a significant main effect of political leaning on ratings of willingness to support policies with a large effect size (Table 4): Democrats showed the highest and Republicans the lowest willingness to support policies. There was no significant interaction between terms and political leaning (Table 4). Pairwise comparisons of terms within each political group found no significant differences, except that Independent/others responded slightly more positively to “global warming” than to “climate crisis” (Table S5-S7).
3.5 Willingness to eat less red meat
A majority of participants reported being somewhat willing or very willing to eat less red meat to do something about “climate change,” “climate change,” “climate crisis,” “climate emergency,” and “climate justice” (Table 3). Ratings of willingness to eat less red meat did not vary meaningfully across terms (Fig. 1E), as seen in a significant main effect with a very small effect size (Table 4). Indeed, pairwise comparisons found only two small significant differences, suggesting that “global warming” and “climate emergency” received somewhat higher ratings for willingness to eat less red meat, compared to “climate justice” (Table S4).
A majority of Democrats and Independents/others, but not Republicans, indicated being willing to eat less red meat independent of the term that was used (Table 3). Rated willingness to eat less red meat was indeed highest among Democrats and lowest among Republicans (Fig. 2E), as confirmed in a significant main effect of political leaning with a large effect size (Table 4). There was no significant interaction between terms and political leaning (Table 4). Indeed, pairwise comparisons of terms within each political group found no significant differences, except that Democrats responded slightly more positively to “global warming” than to “climate justice” (Table S5-S7).
3.6 Auxiliary analysis
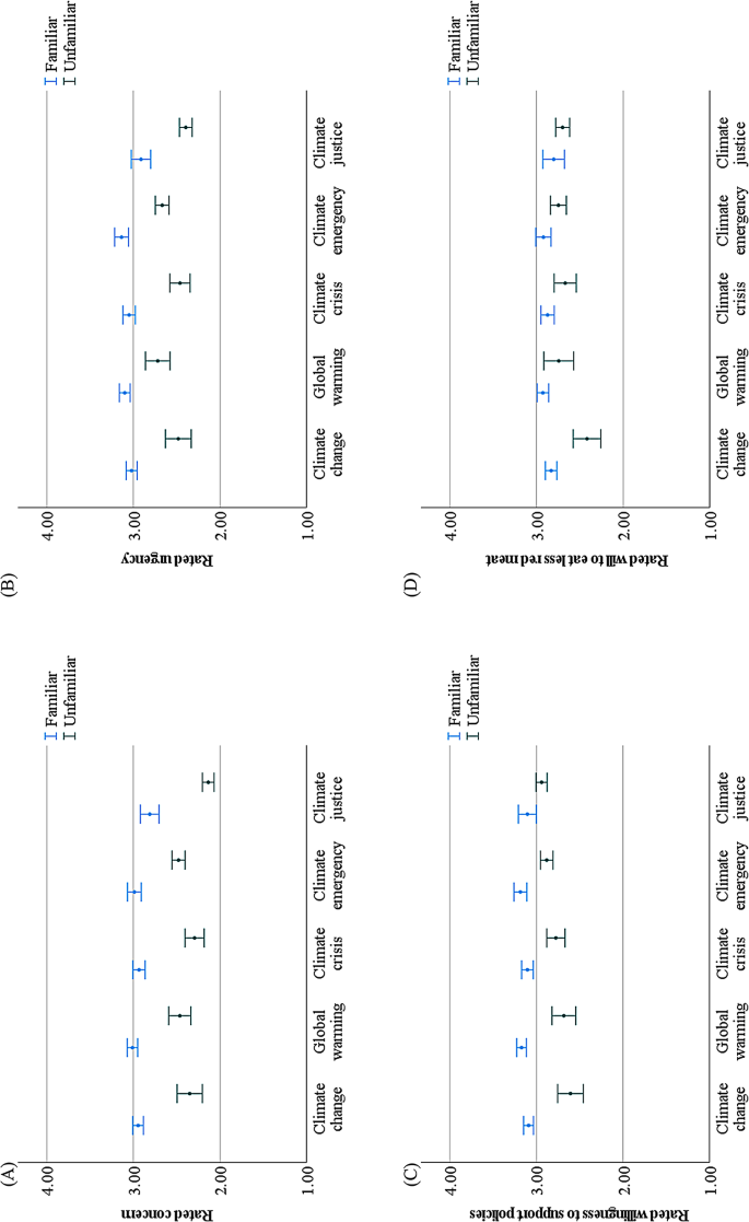
Among participants who found a term unfamiliar (vs. familiar), ratings of concern, urgency, willingness to support climate-friendly policies, and willingness to eat less red meat were generally lower (Fig. 3). Familiarity had a significant effect on each of these dependent variables, with a medium effect size for concern, and a smaller effect size for perceived urgency, willingness to support policies, and willingness to eat less red meat (Table 6). The effect of familiarity did not significantly vary with the randomized term, with two exceptions: There was a significant interaction with a small effect size for willingness to support climate-friendly policies and for willingness to eat less red meat (Table 6), which suggested that the effect of familiarity was the least pronounced for “climate justice” (Fig. 3; Table S8).
Mean reported (A) concern, (B) urgency, (C) willingness to support policies, and (D) willingness to eat less red meat by term and familiarity
Note: Familiarity was dichotomized, treating “somewhat familiar” and “very familiar” as familiar and treating “not familiar at all” and “not that familiar” as unfamiliar. Survey questions and response scales are described in Table 2. Poststratification weights were used in these analyses. Error bars reflect standard errors. Significance tests are reported in Table S8
The effect of familiarity did significantly vary by political leaning, seen in a significant interaction with a small effect size for each dependent variable (Table 6). Specifically, while familiarity tended to make no difference for Republicans, Democrats and Independents/others generally responded more strongly if a term was familiar (Figure S2-S4), with effect sizes typically being largest among Democrats (Table S9). Three-way interactions between familiarity, randomized term and political leaning had a very small effect size for each dependent variable (Table 6), suggesting no meaningful variation.
4 Discussion
Psychological theories of attitude formation suggest that attitudes about a topic are influenced by topic-related information that comes to mind in the moment (Schwarz 2007; Sudman et al. 1996). Therefore, it has been posited that changing terms to emphasize different aspects of “climate change” may influence public concern and willingness to act (e.g. Schuldt et al. 2011). In a national terminology experiment, we therefore compared public responses to the term “climate change” as well as alternative terms that emphasize different aspects of the phenomenon: “global warming,” “climate crisis,” “climate emergency,” and “climate justice.” Although the terms “climate change” and “global warming” are often used interchangeably in public discourse, “climate change” refers to diverse changes in the climate while seemingly de-emphasizing human activity, and “global warming” refers to increasing global surface temperatures and implies that this is due to humans actively warming the planet (Penz 2017). The terms “climate crisis,” “climate emergency,” and “climate justice” have more recently been introduced to emphasize urgency (Schäfer et al. 2023). The term “climate justice” has been used by left-leaning grassroots organizations to emphasize the unfairness of unequal vulnerabilities (Dutta 2019; Schlosberg and Collins 2014).
Across a national U.S. sample, we found that the more traditional terms “climate change” and “global warming” were rated as more familiar than the relatively newer terms “climate crisis” and “climate emergency.” Perhaps due to being less familiar, the terms “climate crisis” and “climate justice,” which were introduced to emphasize urgency (Schäfer et al. 2023), actually elicited somewhat less concern. Moreover, "climate crisis" or "climate emergency" did not elicit greater perceptions of urgency than “climate change” and “global warming.” The term “climate justice” was least familiar and generally performed most poorly on all dependent measures. This may, in part, reflect low familiarity with the idea that climate change disproportionally affects vulnerable communities (Schuldt and Pearson 2023). Additionally, the term “climate justice” may resonate less with people than the other terms.
Respondents’ willingness to support policies and willingness to eat less red meat were generally less affected by the presented terms than their ratings of concern and urgency. This finding is in line with previous suggestions that terminology effects are stronger for beliefs than for willingness to act, with the latter having a higher threshold (Benjamin et al. 2017). However, our study suggested that both willingness to support policies and willingness to eat less red meat were lowest in response to “climate justice.” If people are unaware of the disproportionate effect of climate change on vulnerable communities (Schuldt and Pearson 2023), they may find it harder to see the need to act on it even if they have heard of the term “climate justice.”
Because of demonstrated partisan differences in responses to terminology, we also examined how responses to terms varied between individuals who leaned Democrat, Republican, or Independent/other (e.g., Akerlof and Maibach 2011; Schuldt et al. 2011; Villar and Krosnick 2011). Effects of terms varied by participants’ political leaning, but only for ratings of familiarity, concern, and perceived urgency– with willingness to act only showing main effects of terms and of political leaning. All political groups were familiar with the more traditional terms “climate change” and “global warming,” relatively less familiar with “climate crisis” and “climate emergency,” and least familiar with “climate justice.” Those terminology effects on familiarity were most pronounced among Republicans, who were especially unfamiliar with “climate justice.” For ratings of concern and perceived urgency, terminology effects showed large effect sizes. Terminology effects on ratings of concern and perceived urgency were most pronounced for Democrats, with a relatively larger benefit of using the traditional terms “climate change” or “global warming” instead of “climate justice.” Thus, unlike in the United Kingdom (Whitmarsh and Corner 2017), “climate justice” did not appear to polarize American audiences much along political lines– perhaps because the issue is currently not yet that familiar in the U.S. (Schuldt and Pearson 2023).
Nevertheless, a consistent finding across all political groups was that “climate change” and “global warming” performed similarly well, and about as well or better than alternative terms on all outcome variables. Even though the terms “climate change” and “global warming” were differentially favored by Democrats and Republicans in the past, there is a growing trend to treat these two terms as interchangeable (Benjamin et al. 2017). Even among Independents/others we now find that these two terms elicit similar responses, while in 2012 they were the last group to respond differentially (and more positively) to “climate change” vs. “global warming” (Benjamin 2017).
In line with psychological theories of attitude formation (Schwarz 2007; Sudman et al. 1996), these findings suggest that it matters somewhat which terms we use for climate change. Specifically, “climate change” and “global warming” are likely the most effective terms to use, followed by “climate crisis” and “climate emergency,” with “climate justice” being the least effective. However, our findings also suggest a need to temper the conclusion that climate terms matter, for two reasons. First, the effect of terms was less strong for willingness to support policies and willingness to eat less red meat, than for expressed concern, and perceived urgency. This finding is in line with previous reports that terminology effects tend to be smaller for willingness to act than for expressed beliefs (Benjamin et al. 2017). Second, the effect of political ideology was stronger than the effect of terminology for expressed concern, perceived urgency, willingness to support policies, and willingness to eat less red meat, in line with previous suggestions that Americans follow the views of their political party (van Boven et al., 2018). That is, Republicans generally responded most negatively to presented terms. The relative advantage of using the terms “climate change” or “global warming” was also the lowest among Republicans. Hence, changing the terms we use is likely not the key solution for promoting climate action.
4.1 Limitations
Like any study, ours has limitations. First, our study presents only one snapshot in time, and the popularity and effectiveness of terms may change over time (Penz 2017; Schuldt et al. 2020; Benjamin et al. 2017). The term “climate justice” may increase willingness to act, as it becomes more familiar. Yet, it is possible that “climate justice” will become politically polarizing as it becomes more familiar, following findings from the United Kingdom, where the “justice” framing resonates with left-leaning audiences while right-leaning audiences find it off-putting (Whitmarsh and Corner 2017). Second, we did not assess how participants interpreted each term, or the reasoning behind their responses. It is possible that those who said that they were familiar with a term did not know what it meant, or that those who said that they were unfamiliar with a term were nevertheless able to make an educated guess that affected their responses. Moreover, people may have perceived “climate change” as the main concern, and “climate justice” as a secondary outcome. Third, we presented terms without further explanation, to test the effect of their mere usage on public responses. Providing definitions of less familiar terms like “climate justice” is likely needed to raise public awareness that climate change affects some more than others (Schuldt and Pearson 2023). Many people are also unaware that eating less red meat can reduce greenhouse gas emissions (Kause et al. 2019), and may therefore benefit from information about how eating less red meat could curb climate change and its impacts on vulnerable communities. Fourth, questions about willingness to support policies and willingness to eat less red meat were preceded by a sentence that mentioned the randomly assigned term (Table 2). However, survey design research suggests that people do take into account such preceding sentences when interpreting survey questions (Schwarz 1999). Fifth, we only examined willingness to eat less red meat as a personal action, and not willingness to engage in other actions to reduce carbon emissions. Sixth, our study was conducted during an exceptionally hot summer that brought unprecedented heat waves, droughts, and wildfires across the U.S. Because the term “global warming” tends to elicit thoughts of these hot weather events, participants may have expressed relatively more concern about “global warming” than they might have otherwise (Whitmarsh 2009). Seventh, in line with most previous studies, we focused on how terminology effects varied with participants’ political leaning (e.g., Schuldt et al. 2011; Vilnar et al. 2011). However, participants’ climate change beliefs may be more complex (Benjamin et al. 2017), and that complexity may affect how they respond to presented terms. Eighth, our study only focused on the U.S., and different terms may be more effective for communicating about climate change in other countries. For example, people in Africa may be more likely to indicate that they are perceiving long-term severe weather changes than that they are perceiving climate change (Bruine de Bruin and Dugan 2022).
4.2 Conclusion
The terms we use to talk about climate change matter, but only somewhat. The traditional terms “climate change” and “global warming” are generally familiar, among Democrats, Republicans, and Independents/others. The newer terms “climate crisis,” “climate emergency,” and “climate justice” are generally less familiar, and may not raise as much concern as the traditional terms “climate change” and “global warming.” Sticking with familiar terms is advisable because public responsiveness may be lower when terms are unfamiliar. Although we did not test the term “climate upheaval,” which has recently been introduced to emphasize the sudden worrisome change associated with climate change (Chen 2024), we suspect that it will be more effective to stick with the familiar terms “climate change” and “global warming.” Indeed, interviews with climate-concerned and climate-ambivalent Americans found that they wanted climate change communications to use familiar terms (Bruine de Bruin et al. 2021). This finding was replicated in Germany (Wege et al. 2024).
However, terms’ effects on willingness to act were small at best, and Republicans were often unresponsive. Climate change communications may therefore need to go beyond terminology to promote willingness to act. For example, effective communication strategies include using compelling everyday language, presenting clear graphs, emphasizing social norms, and making climate-friendly actions the default (Bruine de Bruin et al. 2021; Bruine de Bruin et al. 2024; Constantino et al. 2022; Nisa et al. 2019; Sleboda et al. 2024; Wege et al. 2024). Moreover, efforts to reach Republicans may require messages from Conservative spokespeople, and involving the private sector in climate change mitigation (Goldberg et al. 2021; Gillis et al. 2021).
Data availability
Understanding America Study, surveys 556 and 550 (https://uasdata.usc.edu/index.php).
References
Akerlof K, Maibach EW (2011) A rose by any other name… what members of the general public prefer to call climate change a letter. Clim Change 106:699–710
Benjamin D, Por HH, Budescu D (2017) Climate change versus global warming: who is susceptible to the framing of climate change? Environ Behav 49:745–770
Bergquist P, Mildenberger M, Stokes LC (2020) Combining climate, economic, and social policy builds public support for climate action in the U.S. Environ Res Lett 15:1–9
Bruine de Bruin W, Dugan A (2022) On the differential correlates of climate change concerns and severe weather concerns: evidence from the world risk poll. Clim Change 171:1–25
Bruine de Bruin W, Rabinovich L, Weber K, Babboni M, Dean M, Ignon L (2021) Public understanding of climate change terminology. Clim Change 167:1–21
Bruine de Bruin W, Rabinovich L, Weber K, Babboni M, Ignon L, Wald R, Dean M, Kashdan A, Luz S. (2024). Improving figures for climate change communications: Insights from interviews with international policy makers. Clim Change 177:1-24.
Cantril H (1944) Gauging public opinion. Princeton University Press, Princeton, N.J
Chen H (2024) Can climate upheaval be a more informative term than climate change? Environ Sci Policy 154:1–8
Cohen J (1969) Statistical power analysis for the behavioral sciences. Academic, New York
Constantino SM, Sparkman G, Kraft-Todd GT, Bicchieri C, Centola D, Shell-Duncan B, 0…, Weber EU (2022) Scaling up change: a critical review and practical guide to harnessing social norms for climate action. Psychological Science in the Public Interest, 23:50–97
Dutta S (2019) From ‘climate change’ to ‘climate justice’. India Int Centre Q 46:285–301
Feldman L, Hart PS (2021) Upping the ante? The effects of emergency and crisis framing in climate change news. Clim Change 169:1–10
Fisher DR, Waggle J, Jasny L (2015) Not a snowball’s chance for science. Contexts 14:44–49. https://doi.org/10.1177/1536504215611896.
Gillis A, Vandenbergh M, Raimi K, Maki A, Wallsten K (2021) Convincing conservatives: private sector action can bolster support for climate change mitigation in the United States. Energy Res Social Sci 73:1–11
Goldberg MH, Gustafson A, Rosenthal SA, Leiserowitz A (2021) Shifting republican views on climate change through targeted advertising. Nat Clim Change 11:573–577
Hung LS, Bayrak MM (2020) Comparing the effects of climate change labelling on reactions of the Taiwanese public. Nat Commun 11:1–6
IPCC (2019) Special report on climate change and land. https://www.ipcc.ch/srccl/chapter/chapter-5/
IPCC (2022) Climate change 2022: Mitigation of climate change. https://www.ipcc.ch/report/sixth-assessment-report-working-group-3/
Jaskulsky L, Besel R (2013) Words that (don’t) matter: an exploratory study of four climate change names in environmental discourse. Appl Environ Educ Commun 12:38–45
Kause A, Bruine de Bruin W, Milward-Hopkins J, Olsson H (2019) Public perceptions of how to reduce carbon footprints of consumer food choices. Environ Res Lett 14:1–9
Levin I, Schnittjer SK, Thee SL (1988) Information framing in social and personal decisions. Organ Behav Hum Decis Process 24:520–529
Lineman M, Do Y, Kim JY, Joo GJ (2015) Talking about climate change and global warming. PLoS ONE 10:1–12
Morin-Chassé A, Lachapelle E (2020) Partisan strength and the politicization of global climate change: a re-examination of Schuldt, Roh, and Schwarz 2015. J Environ Stud Sci 10:31–40
Nisa CF, Bélanger JJ, Schumpe BM, Faller DG (2019) Meta-analysis of randomised controlled trials testing behavioural interventions to promote household action on climate change. Nat Commun 10:1–13
Payne SL (1951) The art of asking questions. Princeton University Press, Princeton
Penz H (2017) Routledge handbook of ecolinguistics Ch 18
Pew Research Center (2023a) What the data says about Americans’ views of climate change. https://www.pewresearch.org/short-reads/2023/08/09/what-the-data-says-about-Americans-views-of-climate-change/#:~:text=Nearly eight%2Din%2Dten%20Democrats,identical%20to%2010%20years%20ago
Pew Research Center (2023b) English proficiency of Hispanic population in the U.S. https://www.pewresearch.org/hispanic/chart/us-hispanics-english-proficiency/
Saraswat C, Kumar P (2016) Climate justice in lieu of climate change: a sustainable approach to respond to the climate change injustice and an awakening of the environmental movement. Energy Ecol Environ 1:67–74
Schäfer M, Hase V, Mahl D, Krayss X (2023) From climate change to climate crisis? analyzing changes in global news nomenclature from 1996 to 2021. Bergen Lang Linguistics Stud 13:1–18
Schlosberg D, Collins LB (2014) From environmental to climate justice: climate change and the discourse of environmental justice. Wiley Interdisciplinary Reviews: Clim Change 5:359–374
Schuldt JP, Enns PK, Konrath SH, Schwarz N (2020) Shifting views on global warming and climate change in the United States. J Environ Psychol 69:101414
Schuldt JP, Konrath SH, Schwarz N (2011) Global warming or climate change? Whether the planet is warming depends on question wording. Pub Opin Q 75:115–124
Schuldt JP, Pearson AR (2023) Public recognition of climate change inequities within the United States. Clim Change 176:1–14
Schuldt JP, Roh S, Schwarz N (2015) Questionnaire design effects in climate change surveys: implications for the partisan divide. ANNALS Am Acad Political Social Sci 658:67–85
Schwarz N (1999) Self-reports: how the questions shape the answers. Am Psychol 54:93–105
Schwarz N (2007) Attitude construction: evaluation in context. Soc Cogn 25:638–656
Sleboda P, Bruine de Bruin W, Gutsche T, Arvai J (2024) Don’t say vegan or plant-based: food without meat and dairy is more likely to be chosen when labeled as healthy or sustainable. J Environ Psychol 93:1–9
Sudman S, Bradburn N, Schwarz N (1996) Thinking about answers: the application of cognitive processes to survey methodology. Jossey-Bass, San Francisco, CA
van Boven L, Ehret PJ, Sherman DK (2018) Psychological barriers to bipartisan public support for climate policy. Perspect Psychol Sci 13:492–507
Tversky A, Kahneman D (1981) The framing of decisions and the psychology of choice. Science 4481:453–458
Villar A, Krosnick JA (2011) Global warming vs. climate change, taxes vs. prices: does word choice matter? Clim Change 105:1–12
Wege L, Bruine de Bruin W, Kause A (2024). Public understanding of climate change terminology in Germany. ClimChange 177:1-27.
Whitmarsh L (2009) What’s in a name? Commonalities and differences in public understanding of climate change and global warming. Public Underst Sci 18:401–420
Whitmarsh L, Corner A (2017) Tools for a new climate conversation: a mixed methods study of language for public engagement across the political spectrum. Glob Environ Change 42:122–135
Acknowledgements
We thank the team of the Understanding America Study at the University of Southern California’s Center for Economic and Social Research for data collection, especially Jill Darling and Bart Orriens.
Funding
We gratefully acknowledge funding from the University of Southern California’s Wrigley Institute for Environmental Studies. Bruine de Bruin was additionally supported by a gift from the Golden Belt Community Foundation.
Open access funding provided by SCELC, Statewide California Electronic Library Consortium
Author information
Authors and Affiliations
Contributions
All authors designed the study. WBB analyzed and interpreted the data. WBB drafted the paper, and all authors contributed to revisions. All authors approved of the submitted version.
Corresponding author
Ethics declarations
Ethics approval
Obtained at Understanding America Study.
Conflict of interest
None.
Additional information
Publisher’s Note
Springer Nature remains neutral with regard to jurisdictional claims in published maps and institutional affiliations.
Electronic supplementary material
Below is the link to the electronic supplementary material.
Rights and permissions
Open Access This article is licensed under a Creative Commons Attribution 4.0 International License, which permits use, sharing, adaptation, distribution and reproduction in any medium or format, as long as you give appropriate credit to the original author(s) and the source, provide a link to the Creative Commons licence, and indicate if changes were made. The images or other third party material in this article are included in the article’s Creative Commons licence, unless indicated otherwise in a credit line to the material. If material is not included in the article’s Creative Commons licence and your intended use is not permitted by statutory regulation or exceeds the permitted use, you will need to obtain permission directly from the copyright holder. To view a copy of this licence, visit http://creativecommons.org/licenses/by/4.0/.
About this article
Cite this article
Bruine de Bruin, W., Kruke, L., Sinatra, G.M. et al. Should we change the term we use for “climate change”? Evidence from a national U.S. terminology experiment. Climatic Change 177, 129 (2024). https://doi.org/10.1007/s10584-024-03786-3
Received:
Accepted:
Published:
DOI: https://doi.org/10.1007/s10584-024-03786-3