にじ格制プロジェクト クリエイター募集します!
はじめに
お疲れ様です。にじさんじ格闘ゲーム制作プロジェクト総監督の柊 弥生です。この度、本制作において基盤システム開発が完了しましたのでクリエイターの追加募集を行います。どうか本ゲームのリリースのためにお力を犯しください。🙇♀️
企画内容
にじさんじ格闘ゲーム制作プロジェクトは、にじさんじライバーが登場する3D格闘ゲームを制作するプロジェクトになります。
企画書
チーム体制説明資料
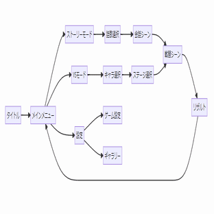
画面遷移
企画資料集
ジャンルについて
ゲームジャンルは、鉄拳やソウルキャリバーに代表される3D格闘になります。
ゲームモード
本格闘ゲームでは、以下のゲームモードが存在します。
ストーリーモード
VSモード
ストーリモード
ストーリーモードは、シナリオに沿って戦闘が行われるモードです。
キャラ同士が会話した後に、戦闘を行います。
VSモード
VSモードは、ストーリーモードから戦闘シーンのみを抜き出したモードになります。このモードは、キャラとステージを選択して対戦をします。
募集する班
・2D班
・3D班
やること
共通事項
・定期的なミーティングへの参加
・進捗報告
・各役職ごとの作業
2D班
立ち絵制作:表情差分ありで立ち絵全身を制作します。
背景制作:ストーリーモード会話シーンの背景を制作します。
UI制作:各画面ごとのUIを制作します。
画面設計:各画面の遷移図に示す各画面を設計します。
3D班
モデルのゲーム向けに修正:3Dモデルはお借りします。このモデルを本ゲーム向けに修正します。
戦闘ステージ制作:戦闘シーンで登場するステージを制作します。ステージの制作方法はおまかせします。
これらの内容において適性を見極めつつ制作していただきます。
参加時にご相談ください。
参加条件
・積極的に参加できる
・責任感を持ってタスクを遂行できる
・平日に連絡が付く
・ミーティングへの参加可能
応募方法
以下のDiscordサーバーにご参加ください。
その後、制作チーム参加申し込み所(常設)にて参加のご連絡をお願いします。
CONTACT
ご質問がある方は、Xまたは、Discord(hiragiyayoi)にて受け付けています。
X(旧Twitter):@nijikakuproject
E-mail:vfgpproject@zohomail.jp
この記事が気に入ったらサポートをしてみませんか?


コメント