サービスグロースに必要な「顧客体験サイクル」という視点
こんにちは!Reproでカスタマーサクセスを担当している岩田です。
このnoteは「モバイルアプリマーケティングアドベントカレンダー2020」の7日目の投稿です。面白かったら是非ハッシュタグ「#アプリマーケアドベント 」を付けてシェアをお願いします!
このnoteでは「顧客体験サイクル」という"回転的な視点"からサービスグロースを考えることの有用性をまとめています。
あくまでB2Cのアプリグロース文脈で執筆しておりますが、もしもB2Bサービス文脈で考えたい方は以下のnoteも併せてお読みください。
KPIツリーとカスタマージャーニーの限界
アプリのサービス改善に取り組む際に、KPIツリーやカスタマージャーニーマップを用いることが一般的ですが、私は長らくそのフレームワークの限界に悩んでいました。。。
KPIツリーからサービス改善につながる施策を立案できた経験が「ほとんどない」からです。
KPIツリーは必ずと言っていいほど作ります。しかし「KPIツリーを使って施策立案をしよう!」と取り組んだ私は、次のような落とし穴にはまってしまっていたのです。
ケース1
「ふむふむ。売上を増やすためにはPU×ARPPUだ。ARPPUを上げることが必要だから!月額利用料を値上げしよう!」
ケース2
「リテンション率を向上させる必要がある!リテンション率向上の為に1日10回メールとプッシュ通知を配信してユーザーを起こし続けよう!」
少し極端な例を挙げていますが、意外とKPIツリーあるあるではないでしょうか?
まだKPIツリーを使いこなせていなかった私は、何度もこの過ちを犯したのです。。。
このようにKPIツリーではユーザーの行動の流れや、ユーザー体験を表現しきれないため、こと施策の立案には向いていません。
そのためユーザーの行動の流れに沿って施策立案するためにはカスタマージャーニーマップを活用しました。
しかし、カスタマージャーニーマップは理想の状態ゴールに向かう直線な流れしか表現できません
画像引用元:CVRを追い求めるのはもう限界!? “カスタマーエンゲージメント”重視のマーケティング手法とは
もちろんユーザーのオンボーディングを考える上では非常に効果的です。
しかし、継続的に利用し続けている既存ユーザーのふるまいを扱うにはどうにも使いにくい。。。(*1)
より本質的なユーザー体験を捉え、改善を行える視点はないのだろうか・・・?
それが私の抱えていたモヤモヤであり、悩みでした。
体験のコアサイクルに気付いた瞬間
その視点に気付いたのは、ある家計簿アプリ「Zaim」を使っていた時でした。
Zaimは家計簿を簡単に記録し、可視化できる便利なサービスです。クレジットカードの利用履歴から自動的に家計簿を記録し、分析まで行ってくれます。UXが素晴らしく、私自身、課金するほど愛用しています。
ある日のこと。自分がZaimを利用する流れを俯瞰して眺めてみたのです。
すると、恐ろしいほど規則性を持って行動を繰り返していたこと私は気が付きました。
「お店で商品を購入する→Zaimを立ち上げ記録を付ける→消費状況を振り返る→アプリを閉じる。お店で商品を購入する→Zaimを立ち上げ記録を付ける→消費状況を振り返る→アプリを閉じる→・・・と、同じ行動を何度も何度もひたすらに繰り返していたのです。
そうか!
この繰り返される体験のサイクル。これがZaimの体験のコアだったのか!
一連の体験のサイクルこそがサービスのコアバリューだったのか!
それに気付くことができました。
ジョブ理論的(*2)な表現で言えば、自分は「面倒くささゼロで、手軽に簡単に、お金の使用状況を可視化したい」というジョブを片付ける為に、Zaimの「ユーザー体験のサイクル」を雇用していたのです。
「顧客体験サイクル」
その回転視点のレンズを発見した瞬間でした。
コアサイクルの改善に注力せよ
それ以来、この「顧客体験サイクル」というレンズを用いて他のサービスを見ると、伸びているサービスは必ず顧客体験サイクルのコアサイクルが改善されていることに気が付きました。
例えばメルカリの購入者のサイクルを可視化すると、「想起する→探す/出会う→検討する→購入する→受け取り利用する→想起する→…」というサイクルになっていることが分かります。
つまり「探す/出会う」にせよ、「検討する」にせよ、メルカリのホーム画面における検索機能こそが最もコアなのです。(*3)
このホーム画面における検索体験が不十分だと、メルカリの顧客体験サイクルが回転しません。エンゲージメントの低いサービスになってしまいます。
だからこそ、メルカリの顧客体験サイクルの回転を促すためには、ホーム画面の検索体験が最も重要であることが分かります。
Podcast「フリーアジェンダ」にて、矢本さんと樫田さんが、「メルカリの改善で非常に大きなインパクトがあったのは、ユーザーが検索するホーム画面のUI改善。施策のインパクトを出すには何よりも『大通り』の改善が重要。」とおっしゃっているのを聞き、深く腹落ちして納得しました。
樫田さん:すごい思ったのが、一番大事なのはその「大通り」って僕読んでるんですけど、人が一番使ってるところの施策みたいのは、何より王様だなというのは思っていて。使う人が少ない奥の奥の機能をめちゃくちゃ良くしたとしてもそんなに数字とかに跳ね返ってくることってないんですよね。
例えばメルカリの話で言うと、すでにこれって山田進太郎さんも記事で喋ってたんで全然話しても大丈夫な話なんですけど、昔、写真が延々並んでるサービスじゃないですかメルカリって。二列だったんですよね写真が。でもあれ三列にしたじゃないですか。あれってシンプルな改善なんだよね。デザインの複雑さはあるんだけど、やってること自体はシンプル。一度にみれる写真の量を増やすって言う。別にできることが増えたわけじゃない。複雑な機能がついたわけじゃない。
でもあれはメルカリではものすごい効果があった施策のひとつで、なんでやっぱりあれが効いたのかな?って言うふうに前考えてたんですよね。他にもいろいろな施策を打ったことあるんだよね。難しいけど使いこなしたらめちゃくちゃ便利な機能とかつけたことももちろんあったし。
やっぱりいかに全員が通る大通りにある施策かって言うのがデカいなって言うふうに思って、結局メルカリを触る時に、商品を探すっていうことって基本的にはせざるを得ないんだよね。いわゆる写真が並んでいるところを使わない人はいなくて、そういうところに施策を仕掛けるのが結構デカいかなと思ってて。
なんかその検索のフィルターですごくマニアックなフィルターの機能とかを実装するとかって、あんまり人が使ってないから意味がないかなと思ってて。逆にああ言う一番大通りのところで、単位時間あたりに処理できる商品の検討数を増やすとか、タイムラインからひとつの商品の詳細画面に飛ぶスピードを速くして、戻るスピードも速くするとかっていうような。
当たり前だけど全員がルーティンとしてやっていることを、すごく高速化するとかが一番効くんじゃないかなって言うのが、いくつか得た学びの中では大きい方の学び。
by フリーアジェンダ「#63 Issue Analysisについて-タベリー初期の資料も大公開-」
つまり、
サービスを改善するとき「そのサービスのコアとなる顧客体験のサイクルは何か?」を考えることが何よりも重要であり、コアサイクル(*4)の改善こそインパクトの大きい施策と言えます。
実はゲームの世界ではこのようなサイクルの考えは「ゲームサイクル」と呼ばれ、広く浸透しています。
画像引用元:日本のガチャシステムは古い!?海外ゲームアプリに学ぶマネタイズ Unity道場で岩崎氏が提起
バトルを行い→報酬を得て→キャラを強化する
数多くのゲームが、このようなゲームサイクルを入念に設計し、サイクルの改善に取り組んでいます。
はじめはマサラタウンにいたレッドも、草むらでバトルし→経験値を獲得し→ポケモンを強化し→ジムリーダーとバトルし→経験値を獲得し→ポケモンを強化し→・・・と、このようなサイクルを繰り返しながら四天王に到達したのです。ファネル的ではなく、繰り返しのサイクルです。
このコアとなる体験のサイクルが楽しかったからこそ、我々はポケモンを長く楽しくプレイできたのです。
メルカリのようなECサービスもこれと同じです。
一連の体験サイクルをぐるぐると繰り返しながら、サービスの使い方を覚え、購入しているのです。
決して一直線なファネルではありません。
サイクル回転軌跡としてのカスタマージャーニー
しかし、ユーザーが最初から顧客体験サイクルを高頻度回転してくれるわけではありません。アプリインストール初期は、誰しもが回転が止まった状態です。ユーザーにオンボーディングしてもらい、顧客体験サイクルの回転を促す必要があります。
そして、高頻度回転していたユーザーの回転が止まってしまうと、アプリから去ってしまい、休眠してしまいます。回転を維持することが必要です。
このような回転の軌跡を、カスタマージャーニーとして表現することで注力するべき改善ポイントが明確になります。
つまり
・1.初期の高頻度回転をいかに生み出すか?(=オンボーディング)
・2.高頻度回転をいかに維持し、さらに活性化するか?(=ロイヤル化)
・3.回転が止まりそうなユーザーをいかに防止するか?
という3点に集約されます。
一般的に、休眠復帰施策は(他の施策に比べて)ほとんど効果がないことで知られています。それはそのはずで、この回転ジャーニーを見れば一目瞭然です。
顧客体験サイクルが完全に停止してしまったユーザを復帰させる(=再び回転させる)ためには相当な馬力が必要になるからです。一筋縄ではいきません。
それであれば、回転が止まりそうなユーザーを防止する方がはるかに効果的でしょう。
顧客体験サイクルのジャーニーを考えれば、矢本さんのグロース早見表も納得感をもって理解出来ます。
グロース早見表です
— Yamotty | 矢本真丈 (10X) (@yamotty3) October 7, 2020
認知と理解の獲得: 全力でやれ
オンボーディング: 死ぬほどでやれ
ロイヤル化: がんばれ
離脱直後の復帰施策: やってもいい
休眠復帰: やめろ
回転力を加え、改善する
では実際にどのように顧客体験サイクルの回転を促していければよいのでしょうか?
ユニクロでは顧客体験サイクルの回転を促すために、様々な取り組みを行っており、大変参考になります。
画像引用元:LTVを最大化するための「顧客体験サイクル」という視点と、その改善方法
1.ペインの解消
まずは回転の摩擦となるポイント(=ペイン)の解消を行うアプローチです。
例えばユニクロでは気になった服のサイズが欠けていても、その場でユニクロアプリからバーコードスキャンしてネット注文を行う事ができます。
他には、レジの無人化に取り組むことでレジ待ちのストレスを解消しています。
2.回転力を加える
2つ目のアプローチは回転力を加えるアプローチです。
例えばユニクロであるアイテムを購入すると、数日後に「岩田様のお買い上げのメリノブレンドタートルネックセーターを使ったコーディネートをご紹介します。」と着用の提案までしてくれるのです!
この通知を受け取ることで、心地よい着用体験を経験できるだけでなく、サイクルの回転が促され、併せ買いにつながります。
3.体験への投資
3つ目のアプローチは新たな体験への投資です。
ファーストリテイリング社は2019年の秋に「着こなし発見アプリ Style Hint」をリリースし、「着る」という体験への投資を進めています。
私はStyleHintユーザーですが、このアプリをきっかけにユニクロの商品を衝動買いした経験が何度もあります。サイクルが活性化した証拠です。
4.回転頻度マネジメント
4つ目のアプローチは、回転頻度マネジメントです。
ユニクロの商品投下頻度は秀逸です。
毎週月曜日に新作アイテムがリリースされるのです。ユーザーは毎週ユニクロのアプリや店舗に訪れたくなります。一定の投下頻度で商品投下することでインフルエンサーが「今週のユニクロ新作!」と商品紹介を習慣化してくれます。
ピッコマ等マンガアプリの「待てば0円」施策は、毎日の頻度でサイクルが回るように促す、回転頻度マネジメント施策であったと言えます。
顧客体験サイクルを定義する方法
顧客体験サイクルの活用方法がイメージできたところで、自社におけるサイクルをどう作ればよいか?が疑問だと思います。
大きく2つのアプローチで、顧客体験サイクルを定義していく事をオススメします。
1.N1分析から繰り返し発生するパターンを可視化する
これはZaimの利用体験で説明した通りです。N=1のユーザーを観察していくと、何度も何度も繰り返し利用される共通のパターンがあるはずです。それをもとに体験サイクルを仮説ベースで描いていきましょう。
「そうか!マサラタウンから四天王へのジャーニーを見ると、『バトル→経験値→ポケモン強化』を何度も何度もサイクルのように繰り返しながら成長していたのか!決して一直線なファネルではなく、サイクルだったのか!」
と、本質的なコアサイクルに気付くことができるかもしれません。
2.定量分析からコア機能を推定する
2つ目のアプローチは定量分析からコア機能の仮説を立てるケースです。既存ユーザの実行イベントごとのリテンション率をプロットすることで、「多くのユーザに利用される大通りの行動であり、かつ継続率が高まる行動」を見つけることができます。
これらの定性、定量の分析を基に、自社の顧客体験サイクルのコアサイクルを考えていくのがオススメです。
まとめ
サービスの改善を、KPIツリーや、一直線のファネル、一直線のカスタマージャーニーで捉えることが多いですが、「回転する体験のサイクル」として捉えることで、本質的なグロースに取り組むための"視点"を獲得することができます。
まずはコアとなる体験サイクルを定義し、その体験サイクルの回転を促すアイデアを立案していくことがオススメです。
ただし顧客体験サイクルは非常に抽象度の高いフレームワークなので、具体的な施策に落とし込む場合は、顧客体験サイクルのフレームワークをもう少しブレイクダウンする必要があります。
その具体的な方法については以下の記事に記載しているので、よろしければご覧ください。
また、B2B サービスの文脈でも、この顧客体験サイクルのレンズは適応可能です。以下で解説を行っているのでよろしければご覧くださいませ。
【余談:応用】顧客体験サイクルをグロースサイクルへ昇華させる
ここまで顧客体験サイクルというフレームワークについて、解説を行ってきましたが、実はサイクルとして考えるべきものは「顧客体験」だけではありません。
顧客体験のサイクルが、他の要素へ影響をおよぼし、事業成長につながるという、事業成長のサイクルに昇華させることができるのです。
どういうことか?
以下に示したものがAmazonの事業成長の戦略を表すサイクルです。Amazon創業初期にジェフベゾスがこの図をナプキンに書いたという話は有名ですね。
そう。
顧客体験サイクルの改善(ここでいうCustomer Experience)がトラフィックにつながり、売り手の数につながり、品ぞろえに繋がり、低価格につながる。
顧客体験の改善が、事業成長につながる、包括的なサイクルとして描かれているのです。
このように、顧客体験サイクルに加えて、認知拡大のサイクル、データ活用のサイクル、収益のサイクルを加えると、事業成長のサイクル「グロースサイクル」に昇華させることができます。
「グロースサイクル」に昇華させることで、より俯瞰的にサービス改善に取り組む"視点"を獲得することができます。
「グロースサイクル」という言葉は、Goodpatch國光さんの言葉を拝借しております。大変素晴らしく、脱帽のnoteなので、ぜひご一読ください。
【余談:発展】グロースサイクルのモデル化
グロースサイクルが完成すると、さまざまな事象が相互作用し合う、複雑な系であることに気が付きます。
最後にそんな複雑なグロースサイクルをモデル化し、シミュレーションに落とし込む方法をご紹介します。
具体的に家計簿アプリのZaimのケースで考えてみましょう
Zaimでは、以下のような顧客体験サイクルを描いていました。
ユーザーはこの顧客体験サイクルを繰り返しながらZaimを利用するのですが、、利用期間が長くなればなるほど、アプリに家計簿のデータが蓄積されます。
そう。データが資産化することで、家計簿データを詳細に分析できるようになります。つまり「家計簿確認」へのサイクルが回りやすくなるのです。
それによりデータ資産が増えれば増えるほど、毎日頑張って記録していたデータが欠損しないように習慣が継続しやすくなりますし、他のサービスへスイッチがしづらくなります。
このように顧客体験サイクルがデータ活用のサイクルを生み、データ活用のサイクルが顧客体験サイクルを加速させています。
どうやら、Zaimにおいて「エンドユーザーの家計簿データの資産化」に取り組むことで、顧客体験サイクルが回転し、アクティブユーザー活性化につながりそうです。
では「データの資産化施策」はどれくらいインパクトがあるものなのでしょうか?
グロースサイクルを「システムダイナミクス(SDモデル)」という手法でモデル化することで、サイクルの相互の影響をシミュレーションすることが可能になります。
今回は分かりやすく考えるために非常に限定的なモデルを組み上げます。「家計簿データストック数が増えれば増えるほど、記録アクティブユーザー数が増える。※新規ユーザーの流入は考えない」というシンプルなループ図を作成します。
次にループ図をストック・フロー図へ変換し、AnyLogicというツールを使ってシミュレーションにかけます。
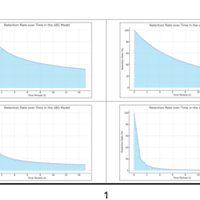
以下が、家計簿データの資産化施策を何も行わなかったときの、記録アクティブユーザー数の推移です。20か月後には記録アクティブユーザー数のMAUが0になっていることが分かります。
(※データ資産による活性化比率=0のケース)
次に、家計簿データの資産化施策に取り組み、記録した家計簿データがエンドユーザーにとって価値ある資産になり、分析価値が向上するケースを考えます。これにより、記録ユーザー数が残存しやすくなるはずです。
(※データ資産による活性化比率=0.2のケース)
シミュレーション結果を見ると、50か月後まで、エンドユーザーが残存しやすくなったことが分かります。
以上のように、データ資産化施策に取り組むことで、顧客体験サイクルが活性化し、アクティブユーザー数が維持されやすくなることが確認できました。
今回はあくまで限定的なシンプルなモデルで、適当な値を用いてシミュレーションを行いましたが、絡み合う複雑なループ図でも同様のシミュレーションが可能です。
システムダイナミクスは、相互作用が複雑に絡み合う、ループ型の問題をモデル化する際に利用される手法です。これを活用することで、複雑なグロースサイクルをモデル化してシミュレーションに書けることが可能になります。
特に、売り手と買い手、視聴者と配信者の2種類のプレイヤーがいるツーサイドマーケットサービスにおいて、その相互作用は複雑です。「買い手を獲得するべきか?売り手を獲得するべきか?」についても、その施策インパクトをシミュレーションできるようになります。
画像引用元:システム思考―複雑な問題の解決技法 (BEST SOLUTION) ジョン・D・スターマン
詳細を知りたい方は「システム思考―複雑な問題の解決技法 (BEST SOLUTION) ジョン・D・スターマン(*5)」をご一読ください。
注釈および参考文献
(*1):実際にはKPIツリーはモニタリングやドライバーを明確にするツールですし(決して施策立案ツールではない)、カスタマージャーニーは代表値となるユーザーの軌跡を描いて共通理解を促すツールです。これらのフレームワークは目的に応じて有効です。決してこれらを否定するものではなく、併用して使うフレームであると考えています。反対に「顧客体験サイクル」のフレームワークも万能ではなく使い物にならないケースが存在します。(※この記事の予断を参照)
(*2):ジョブ理論 イノベーションを予測可能にする消費のメカニズム
(*3):メルカリのサイクルを5つの体験の流れで表現しましたが正確には異なります。気になるアイテムを見つけても検討止まりでストップし、もう一度探す体験に戻るユーザーが多いからです。つまり「探す→検討→探す→検討」という行動の方がコアなサイクルであると言えます。またこれに加えて出品者の出品サイクルも描く必要があります。
(*4):このnoteでは何度も『コアサイクル』と言及したのですが、コアではないサイクルも存在します。例えばポケモンに置き換えればバトルタワーやポケモンコンテストと言った要素は、中級ユーザー向けのゲームサイクルとして位置づけられています。このように中級以上のごく一部のユーザにのみつかってもらい、更なるロイヤリティ向上に努める顧客体験サイクルも存在します。
(*5):システム思考―複雑な問題の解決技法 (BEST SOLUTION)
この記事が気に入ったらサポートをしてみませんか?



コメント