当你按下一个note(泛指rail/flick/catch等)时,会获得多少分?
仅靠结算界面,能否识别出不明显的分数造假?
90万分最多能Miss多少个note?
Lanota并不像Arcaea那样每个大P+1分,但Lanota会打出整齐的分数,为什么?
怎么用Lanota打出520000?

先从第一个问题说起。
结论1:Lanota的note分数由两部分组成:基础分和连击分。
基础分
每个Harmony有(92万/物量)分,
每个Tune有(40万/物量)分;
每个Miss有0分。
举个例子:传统魔王曲1444物量,每个Harmony 637.12分,每个Tune 277.01分。物量最少的vivid color(Wisper)有116物量,每个Harmony 7931.03分,每个Tune 3448.28分;物量最高的黄道2019物量,每个Harmony 455.67分,每个Tune 198.12分
Combo分/连击分
Combo分分为两部分,总和为8万。前50%的每个Combo的连击分是一个线性递减数列,总和为6万,后50%的每个Combo的连击分是一个定值,总和为2万。
通式1为:

求和后可得总Combo分通式2,

以 Vivid Color (Wisper,116物量) 为例,图像为

②有Miss的情况
请看图示的例子。这局验证公式正确与否的游戏称之为“验证局”,我先是打了6个Harmony,然后Miss1个,接着打了11个Harmony,记录下对应的(6+1+11=18)个实际分数及Combo数,并用公式计算理论上获得的分数与实际分数对比。

第一列的“实际分数”是我按或者不按按键过后游戏右上角显示的分数。
第二列的“combo”指盘子边缘显示的combo数,0代表我miss了。
第三列的“combo分”指按照连击分公式计算得出的连击分数。
第四列的“计算分数”指按照“基础分+连击分”公式计算得出的分数。
第五列的”计算-实际“指用计算出的分数减去录像记录的分数,用于验证公式的正确性。可见误差在[0,1)内,猜测是舍去小数(Rounddown)引起的误差。
结论1.2:当你的Combo数(设为n+1)超过之前的最高Combo数(n)时,获得f(n+1)分的连击分;当不超过时,无连击分。
推论1:结算页面的Max Combo代入之前的公式2后即为本局游戏所获得的Combo分。
注:不能用百分比显示的Max Combo(比如43%)计算,误差大。

推论2:结算页面的总分可以通过结算页面的详细数据核验。
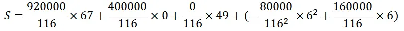
公式3:

将物量=116,Harmony=67,Tune=0,Miss=49,Max Combo=6/116代入,得

结果为53944.1,与结算分数一致。这就回答了问题2:仅靠结算界面,可以识别部分不明显的分数造假。
推论3:如果只有一个Miss,其他情况不变,则Miss越靠近中间,最后总分越低。
Miss越靠近中间,意味着Max Combo%越低,总Combo分越低。这也与日常游玩经历相吻合。当Miss处于正中间时,将丢失2万或2万稍多一点的Combo分和一个Harmony的基础分,就拿不到L评价了。

现在可以回答第3个问题:90万分最多能Miss多少个note?
当然Miss要集中在头或者尾端,每个Miss扣除Harmony基础分和对应的(最少的)Combo分,可列出方程式:

可以解得Miss/物量=5/48=10.4167%
对于1281物量的Stasis(Ultra),最多Miss133个仍可以解锁Master谱面。
对于1444物量的SolarOrbit(Ultra),则是150个Miss。
对于2019物量的黄道,哪怕Miss(2019*5/48=210.3)个按键都可以拿到90万,你Miss了几个?拿到90万了吗?

最后一个问题,对物量进行质因数分解,只要Harmony和Tune在一个合适的数字,控制Combo分为8万/6万等,就能得到“XX0000”形式的分数。
思考题:怎么用Lanota打出520000或其他数字?
鬼才会有奖励。