小4】分数の種類(仮分数・帯分数)と直すやり方の練習問題

「分数ってどんな種類あったけ?」「仮分数と帯分数の直し方を忘れた」という小学4年生の方へ

分数の種類については「帯分数」「仮分数」をお互いに変形できるようになればオシマイです。つまり2つの方法を覚えるだけです。やる気が出てきませんか?

この記事では、東大卒講師歴20年の図解講師「そうちゃ」が「帯分数→仮分数」「仮分数→帯分数」のやり方を分かりやすく説明します。

記事を読んで真似すれば、分数を好きな形に自由自在に変形できるようになりますよ!

 分数の種類

爽茶そうちゃ

こんにちは!「そうちゃ」@zky_tutor(プロフィール)です。

はじめに分数の3つの種類を見ていきましょう♪

三つの種類(形)

分数には三種類の形があります。

(1)真分数(しんぶんすう)

分母(下)が分子(上)より大きい形を真分数と言います。

13←分子が小さい←分母が大きい

今まで習っていたのはこの形です。図にすると、こうなります。

おなじみの形です

1個のパンを分ける図になります

ここからの2つが、新しく習う形です。

(2)帯分数(たいぶんすう)

真分数の左に数(整数)がついて整数と分数を足した形を「帯分数」と言います。

帯分数
整数がついている113
横の整数が特徴

図にするとこうなります。

1と1/3を図にする

丸ごと1個と三等分を1ピース

整数部分は分けていないパン丸ごと1個になります

(3)仮分数(かぶんすう)

分子(上)が分母(下)より大きい形は「仮分数」と言います。

43←分子が大きい←分母が小さい

図にするとこうなります

三等分したのが4ピース

2つ以上のパンを分ける図になります。この図を見て何か気づきませんか?

そうですね。さっき見た真分数の113と同じ量を表していますね。

つまり43は113と書き換えることが出来ます。(後で練習します!)

形を見分ける練習

それでは、この3つの形を見分ける練習をしてみましょう。

例題1(分数を見分ける)

以下の分数はそれぞれ真分数、帯分数、仮分数のどれか答えなさい。
(1)114 (2)1115 (3)139 (4)77
図解
(1)の答えを見る

114は整数(左横の数)と分数を合わせた形なので帯分数です。

答:帯分数

(2)の答えを見る

1115は上(分子)が下(分母)より小さいので真分数です。

答: 真分数

(3)の答えを見る

139は分子(上)が分母(下)より大きいので仮分数です。

答: 仮分数

(4)の答えを見る

77のように分子と分母が同じ大きさの場合はどうするのかと言うと…「仮分数」にすると決まっています。

答: 仮分数

分数の3つの形「真分数」「帯分数」「仮分数」が理解できましたね?

●ちょっと応用

「算数が得意だ」興味がある」という人向けです。

43113で見たように帯分数と仮分数の中身は同じなので、分数は「真分数」と「仮分数&帯分数」の2グループに分けることができます

この2グループの違いというか、境界線、分かれ目は何だと思いますか?

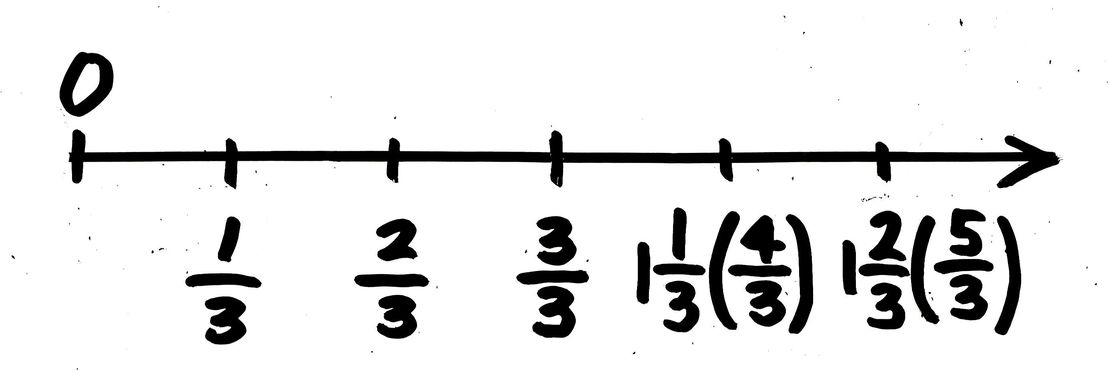
ヒント

13から233343と増えていくのをイメージして下さい。

ヒント図:

図解

数直線をイメージして…1との大きさの関係で、真分数は1より小さく仮分数&帯分数は1か1より大きい

境界線は1

もっと問題を解きたい人は下にある「オススメ教材」を見て下さい

分数の種類は分かりましたね!次は分数を別の形に「変身」させる方法です。

仮分数を
帯分数へ直す

爽茶そうちゃ

さっきチラッと書きましたが、帯分数と仮分数は同じものです。

例えば上の図だと43113と同じです。
したがって、帯分数を仮分数に直すことも、反対に仮分数を帯分数に直すこともできるのです。

仮分数を帯分数に直す方法

まず、仮分数を帯分数に直す方法を練習してみましょう。

●例題2-(1)

53を円形(パン)の図にしなさい
図解

パンを三等分したのを5ピースなので、こうなりますね。

パン2つを分けた図になります

●例題2-(2)

上の図を参考にして53を帯分数に直しなさい
図解

右にある3つのピースは合わせるとパン丸ごと一つになるので、左にある2ピースと合わせて、123になりますね。

123

直し方を公式にする

例題のように図を書いて求めても良いですが、もっとパッと直せるように公式(数字の計算の形にしたものを「公式」と言います)にしてみましょう♪

もう一回、直す前と後を並べるとこうなります。

53 → 123

直す前と後で、分母は3で変わりません。

では、帯分数の横の数字1と分子2 この2個の数字はどうやって出てきたのでしょう?

さっきの図で「三等分ピースからピースをまとめて丸ごと1個が出来て、2ピースは余る」と考えたからです。

これは余りのあるわり算「5÷3=1余り2」をしていたのと同じです。

仮分数から帯分数へ

→余りのある割り算「仮分数の分子÷分母」をする

答え帯分数の整数部分に、余り分子にする。
(例:53を帯分数に直す場合)
仮分数を帯分数に治す方法。分母を分子で割って答えと余りを出す。

公式を使う練習

では、この公式を使ってサッ!と計算で仮分数を帯分数に直す練習をしてみましょう。

類題2(仮分数→帯分数)

次の仮分数を帯分数に直しなさい
(1)73 (2)112 (3)257 (4)474
ヒント

公式通り余りのある割り算「仮分数の分子÷分母」をします

●類題2-(1)
73を帯分数に直しなさい
図解
解答を表示

「上(分子)÷下(分母)」で余りのある割り算をすると、7÷32余り1 なので、整数部分が2,分子が1、分母は変わらず3になります。

73(7÷321)213

213

●類題2-(2)
112を帯分数に直しなさい
図解
解答を表示

「上(分子)÷下(分母)」で余りのある割り算をすると、11÷25余り1 なので、整数部分が5,分子が1、分母は変わらず2になります。

112(11÷251)512

512

●類題2-(3)
257を帯分数に直しなさい
図解
解答を表示

「上(分子)÷下(分母)」で余りのある割り算をすると、25÷73余り4 なので、整数部分が3,分子が4、分母は変わらず7になります。

257(25÷734)347

347

●類題2-(4)
474を帯分数に直しなさい
図解
解答を表示

「上(分子)÷下(分母)」で余りのある割り算をすると、47÷4>=11余り3 なので、整数部分が11,分子が3、分母は変わらず4になります。

474(47÷4113)1134

1134

次は、帯分数を仮分数に直します。

帯分数から
仮分数に直す方法

爽茶そうちゃ
さっきは「仮分数→帯分数」と直しましたね。
今度は反対方向「帯分数→仮分数」の直し方です。

直し方を考える

例題3(帯分数→仮分数)

帯分数214を仮分数に直したい。以下の問いに答えなさい
●例題3-(1)
214を円グラフ(パン)の図にせよ
図解

丸ごと2個のパンと1個のパンを四等分したものが1ピースなのでこうなりますね。

●例題3-(2)
図を参考にして214を仮分数にしなさい
図解

まだ分けられていない2個のパンも同じ様に四等分すると、2×4=8ピースに別れます。

それを、最初から分けられていた1ピースを合わせると全部で8+1=9ピースになるので、答えは294になります。

94

 直し方を公式にする

こちらは分かりやすいですね。

今の計算「(2×4)+1=9」がそのまま仮分数の分子になりました。
そして、分母は変わらないので、214(2×4)+1494になるのですね

帯分数→仮分数

帯分数ACBは仮分数(A×B)+CBに直せる。
帯分数を仮分数に直す方法。整数部分と分母をかけたものを分子に足す。

公式を使う練習

では、類題で練習をしてみましょう

類題3(仮分数に直す練習)

次の帯分数を仮分数に直しなさい
ヒント

公式の通りに「(横の整数×分母)+分子」 を計算しましょう

●類題3-(1)
134を仮分数に直しなさい
図解
解答を表示
134(1×4)+3474

74

●類題3-(2)
823を仮分数に直しなさい
図解
解答を表示
823(8×3)+23263

263

●類題3-(3)
615を仮分数に直しなさい
図解
解答を表示
615(6×5)+15315

315

●類題3-(4)
1247を仮分数に直しなさい
図解
解答を表示
1247(12×7)+47887

887

これで「分数の種類と直し方」は終了です!

もっと問題を解きたい人は記事の下の「オススメ教材」を見て下さい

記事のまとめ

最後に記事のまとめです。

分数の種類

●3つの種類がある

(分数) (分数) (分数)
23  123  53

●異なる種類に直す
○仮分数を帯分数に直す(分母÷分子)

73(7÷321)213

○帯分数を仮分数に直す(整数×分母+分子)

134(1×4)+3474

これで三種類の分数を自由に使えるようになりましたね!

他にも分数の記事があるので「分数の総合案内」から見て下さい!

おすすめ教材

爽茶そうちゃ
もっと問題を解きたい人にオススメの教材を紹介♪

オススメ問題集
「毎日のドリル」(学研)はスマホアプリとの連携でやる気をアップできる問題集です。(くわしい案内はこちら)
「分数の計算(算数基礎マスター)」は3年から6年の分数計算をカバーしているので学校の予習復習はもちろん、中学受験に向けた先取り学習にも使えます。低学年のうちに買うと長く使えてオトクですよ!

動画で学習したい人へ
「分かりやすい!」と評判のスタディサプリなら有名講師「尾崎正彦」先生による分数の授業動画もありますよ♪
今なら14日間無料♪この期間内に利用を停止すれば料金は一切かかりません。この機会に試してみては?

2023年度生徒さん募集

2023年度の生徒さんの募集を開始しました(対面授業の一次募集)

東武野田線・伊勢崎線沿線にお住まいの新5年生で予習シリーズをベースにされている方が対象です。

詳しくはコチラのページを御覧下さい
新4年生の方を対象に学習相談/授業を実施します(2次募集はサピックス新越谷校・南浦和校の方のみ対象。締め切り1/27)。応募はコチラから

中学受験でお悩みの方へ

爽茶そうちゃ
いつもお子さんのためにがんばっていただき、ありがとうございます。
中学受験を考えると色々と悩みが出てきますね。
「中学受験と高校受験とどちらがいいの?」「塾の選び方は?」「4年次・5年次はどう勉強すればよい?」「志望校の過去問が出来ない…」など
様々なお悩みへのアドバイスをまとめたので参考にして下さい。

もしかしたら、自分だけで悩んでいると煮詰まってしまい、事態が改善できないかもしれません。講師経験20年の「そうちゃ」に相談してみませんか?対面/オンラインの学習相談を受け付けているので、ご利用下さい。

最後まで読んでいただきありがとうございました♪この記事があなたの役に立てたなら嬉しいです!
タイトルとURLをコピーしました