如何看待室温超导最新后续,国内导派“11战神”大集合的论文?
关于“要求知乎ID‘小小游离子’及同伙就其对本人的污名化行为向本人道歉”的声明
一段时间以来,知乎ID‘小小游离子’(知乎主页:小小游离子 - 知乎 (zhihu.com))等人,因与本人就网传某动图(如何评价B站UP主kitkote(ton哥)的一系列长视频中抗磁样品倒立全悬浮与倒立半悬浮等现象? - 知乎 (zhihu.com))的意见不同,长期在知乎评论区对本人进行“污名化”行为,本人特此声明:
针对网传某动图,本人的判断为:动图中的样品为“丝线连接的悬浮”,基于此判断,相关演示实验及实验细节已展示于本人B站视频及其简介中(【手机视频分辨率下“抗磁+铁磁”体系“伪悬浮”现象展示】 手机视频分辨率下“抗磁+铁磁”体系“伪悬浮”现象展示_哔哩哔哩_bilibili)。若知乎ID‘小小游离子’等人不认可本人之判断,请提供证据证明:网传某动图中的样品不存在丝线连接。证明方法包括但不限于:展示网传某动图中的两块样品中间穿过头发丝、纸片、圆环等。若知乎ID‘小小游离子’等人不能提供上述证明材料(未经处理的视频或实物样品等),请知乎ID‘小小游离子’等人就其对本人的“污名化”行为向本人道歉。若知乎ID‘小小游离子’等人能够提供上述证明材料(未经处理的视频或实物样品等),本人将向知乎ID‘小小游离子’等人道歉。
以上,请各位网友见证,谢谢。
在上述人员提供相关证明材料之前,本人不再回复。
有人提醒我没有定个时间期限,个人感觉定的时间太短对某些人不太公平,就定在上述人员的“有生之年”吧:如果各位在有生之年能让“动图中的两个样品”实现“简单磁场环境下、无连接”的完全悬浮,我会道歉;如果不能,请各位在决定放弃尝试的时候,给我道个歉。
差点忘了
哇,又有论文了,但是不好意思,那位艾特我的大哥,“超导”的实验数据,我真的不懂啊,而且万一我再说了什么各位不爱听的,不知道又要被扣多少帽子~~
不过…受累问一下各位,年前那个“从未发表过”的“全悬浮”视频,到底发了没有啊?总不能各位嗨完了就没有下文了吧……我还等着被打脸呢……
更多回答
2020322下午更新
首先对前几天我在回答中的不友善发言向诸位作者致歉,说实话我在看到这篇文章中的图时第一反应是不可思议,因为文章数据与宣称的奇异金属行为差太多——也就是我被这张毫无根据的图气笑了,我想做相关领域的实验人员(理论的我不清楚,因为我和我身边都是搞实验的)第一反应都是如此。
今天上午我在评论区见到有人说,大致意思为:以AI论文举例,无论理论如何说,只要模型能跑出来那就是牛逼。
事实上确实如此,只要你能做出了,理论再多也是白扯,做出来就是牛。但是关键在于,你要做出来啊。现在的情况,在我看来就像是你用代码实现了输出“Hello word”便宣称自己掌握了大语言模型,问你为啥,你说大语言模型也能输出“Hello word”。 这你让搞大模型的来看是啥感觉?
我的回答核心思想就一个,从目前论文展示的数据来看和奇异金属无关。
在评论里贴出了一个链接,Signatures of a strange metal in a bosonic system,看到这里我渐渐明白诸位的思路,因为诸位的论文数据和这篇Nature的图种某几条曲线很像,类比之下觉得这是奇异金属,如下图a中的黄色曲线
这篇文章让YBCO在超导态实现了奇异金属行为,也就是线性电阻一直延申到了最低温,由于YBCO处于超导态,他们认为输运主要是库伯对贡献,这也是为啥文章标题为写得bosonic system。但是问题在于,诸位的论文用的电流超出了你们假定的超导的上临界电流,诸位的材料在8mA电流时处于正常态,因此跟这篇Nature文章是无法进行类比的。那么随之的问题是,对比其它体系的奇异金属行为,诸位论文的数据那就差更多了。
然后是
在评论区的回复,太长了我只截头尾代表我对你的回复。我们认为符合奇异金属-坏金属的转变现象......(中间省略)我们这几天在知乎上听了很多意见,也有很多人加入进来帮我们做测试。
我向诸位探索的勇气致敬,但下结论之前也许需要更谨慎一些。说实话我在写回答之前未曾想到回复读者这么心累,光打字就占用了不少时间,有时还要克服完全不看内容的读者预设立场的阴阳产生的负面影响,想必诸位遇到的情况更糟。但是如果诸位决定继续坚持,那我真诚地祝你们好运,希望你们遇到更多同行者。
后续我可能不会再在回答中更新回复了,另外再次真诚祝愿诸位作者好运。
下图是我在评论区说的,铁磁材料测到抗磁性的行为。磁场为0时,还能测到抗磁性,黑色箭头指示的温度之上,M基本为0;50 Oe的磁场也在某个温度变抗磁性。抗磁性数值都可以和FC的数值相比了。这难道不比LK99的抗磁性更强吗?难道我这也是超导吗?
这张图里的数据我可以略微解释一下,这个化合物里存在抗磁性较强的原子,而化合物本身呈现铁磁性,因此铁磁转变温度以下铁磁性提供了内场,即便零场也让抗磁性原子表现出了抗磁性。这个数据没有发表的必要,因为类似的化合物并不少。。。
的回答中除去煽情的部分,只看与其文章主题奇异金属(strange metal)相关的回答的话,似乎对金属电阻行为和奇异金属行为都没搞清楚。在我看来这篇文章疏漏过多,我希望诸位作者对自己研究的对象和相应的物理概念至少有一定了解,并且坚持其严格性。
————————————
经评论区提醒,首段已编辑。
2020321晚更新
以下引用内容为评论区私信的截图中
的回复,不知为何被删除。拿铅说事,基本就知道是个纯外行了。铅都不是纯金属键,谁会拿铅当良金属标样啊,你咋不拿水银。
我的回复:我拿铅是为了展示金属的电阻行为,进而证明诸位论文中的电阻行为不是"strange metal phase"导致的。
更可笑是说铜线性,铜只是温区高,就被开除出良金属范畴了?典型的差生行为,任何一条曲线你从中截一小段出来看着都像线性的。这也是实验室标样常常用镍的原因。镍的自旋散射强,常温区就有显著上升,适合做标定。
我的回复:我没看懂第一个问句什么意思,铜作为简单金属,它在熔点到德拜温度附近的电阻都是随温度线性变化的。至于你说的镍相关的内容,这跟讨论的主题线性电阻似乎没有关系。
不论如何,良金属的温度平方律就是铁律,求导出来就是正线性。所有偏离这一温度系数的材料,都不符合费米液体理论。
我的回复:这句话正确的表述应该为,“不论如何,良金属的(最低温的电阻行为满足)温度平方律就是铁律,求导出来就是正线性。所有(最低温电阻行为)偏离这一温度系数的(金属性)材料,都不符合费米液体理论。”也因此,奇异金属材料在最低温的线性电阻行为才被称为“奇异”的。换句话说,诸位在文章中展示的数据(即最低温是费米液体,20-300K范围自称是线性电阻)不能被称为奇异金属。
截人家的文章不能选择性挑适合自己的论点。就算你引的这篇文章也讲得很清楚Over time, the label “strange metal has seemingly become ubiquitous, used to describe any metallic system whose transport properties display behavior that is irreconcilable with conventional Fermi liquid or Boltzmann transport theory.
我的回复:你为何不再多复制一段?
奇异金属本身只是良金属的一个附属概念,就像这里讲,所有偏离费米液体的金属,称它为奇异金属都没有原则性错误。
我的回复:学术讨论应基于双方具有基本的共识,以保证讨论问题时双方不至于驴唇不对马嘴。现在学术界公认的奇异金属行为在现象上即是线性电阻的温度范围超出了电声散射导致的线性电阻的温度区间。实际上偏离费米液体的行为也叫非费米液体行为(non-Fermi liquid),奇异金属行为由于其在低温表现出电阻随温度的线性依赖,偏离了费米液体的温度平方关系,自然也属于非费米液体行为的范畴。但如今奇异金属越发成为一个专有名词,你这种将奇异金属等价于非费米液体的偷换概念的行为对于解决问题没有任何帮助。
同样一篇文章里讲得很清楚:In addressing the above question, we must first acknowledge the many definitions of strange metallic behavior that exist, the simplest being a material hosting a metallic-like resistivity in the absence ofquasiparticles.到了这孩子口中,就成唯一定义了。
我的回复:我在下文的原话为“而PHILIP W. PHILLIPS等人在2022年的一篇文章中给出了奇异金属比较严格的定义”,并不涉及定义的唯一性。
奇异金属的核心机制是普朗克散射,但普朗克散射很难算,要破缺时间域全局相位,DFT也没办法,这才是我执意要放磁阻数据的原因。
我的回复:目前关于奇异金属物理本质仍在讨论中....普朗克耗散(Planckian dissipation)只是其中一种图像,例如Mathieu Taupin等人认为重费米子中奇异金属行为与普朗克耗散无关[5]。计算可以通过 \alpha=\frac{ne^2\hbar}{mk_B}A^{\prime} 估算,α等于1就符合普朗克耗散图像。但是一切的前提是材料是奇异金属。
如果一定要去估算相干长度的转变温度,按微波脉冲的结果是应该在200K上下,从升温RT看也基本符合。按平均自由程在微米量级来看,这一次的相干长度比最早那篇提高了一两个数量级,也符合磁性的测试结果。
我的回复:我姑且认为这一段话与我的回答无关,你似乎是想说超导,但需要前提是材料是超导。
奇异金属是一系列实验共同指向的最优解释,否则就要单独解释磁性测出的涡旋态是什么电阻温度为什么超线性,霍尔的对称分量为什么超过磁阻那么多,epr为什么看不到单电子峰,等等。
我的回复:奇异金属与超导、特殊磁性等无必然联系。诸位文章中数据也没有反映出奇异金属行为,诸位的实验现象也似乎不能用奇异金属解释。你霍尔测出来对称分量更多是因为,人工条件下做的电极测出来的霍尔会不可避免地受到磁阻分量的影响,同样磁阻也会受到霍尔分量的影响,数据都需要进行对称化处理。
这么多实验全用一个dirty来敷衍?你们到底有没有意识到,你们挂在嘴边的dirty,和strange,在词法上是同一回事?你不懂它是什么,所以dirty,所以strange直到今天仍然没人敢说自己很清楚什么是strange metal。strange这个词也并没有比dirty高级多少,任何意义上。
我的回复:这里我要comment一下,strange metal是诸位自己提出的,在阅读文章过程中我发现诸位似乎并未理解这个专有名词,因此才有了这篇回答。我希望诸位先给你们口中的strange metal下个定义,然后看文中的材料电阻行为是否满足你们自己的定义,然后验证一下普通金属材料和你们的材料的区别是什么,随后和一些公认的表现出strange metal行为的材料对比一下。
2020321中午更新:
答主声明未曾删除或隐藏任何评论,如果有相关人员的回复消失与本人无关。因此如果有论文作者的回复希望各位在评论区复制或截图。
奇异金属的一些课程,同样可以参见评论区给出的链接:铜氧化物高温超导体的奇异物性-奇异金属行为,关于奇异金属的电阻行为在视频中8分钟到17分钟之间,奇异金属与普通金属的区别可以观看视频12-15分钟的内容。下图为视频内容截图。
以下引用自评论区
真可爱呆回应:有用的图一个没找,Pb是低温超导体图里跳变都没了。我发现最奇怪的点在于,他们相信帽子大佬们做出来的磷灰石是绝缘体,是半导体,导电是渗流,是正确的。对于一个从来没出现的诡异现象,为什么就不能是对的呢?磁性也是,你要做出来顺磁,抗磁,铁磁,软铁磁都是对的,唯独迈斯纳效应是错的。为啥大家做的不一样没有人吵,我这稍微做点啥。大佬们做的都不一样我做的和他们不一样那就不对了。说白了。。。我是品明白了。
以下为我的回复:
我的回答是关于奇异金属的简单介绍,是对论文涉及概念的回应。图也是关于两个公认的奇异金属的电阻行为,既然诸位作者标题即涉及到奇异金属,那这些图怎么叫“有用的图一个没找”?我的结论是论文的数据完全不能体现出奇异金属行为,放铅的电阻曲线是为了反驳诸位作者在论文中宣称的线性电阻行为,没看到超导转变是图中scale太大,但是我认为该图能充分表现铅的金属行为和反驳作者论文中宣称的奇异金属行为。
虽然我不明白
想靠"Pb是低温超导体图里跳变都没了"这句话说明什么,但出于严谨,我将铅超导转变附近的电阻行为更新在下图。奇异金属行为不等于非费米液体行为,非费米液体行为其实可以按照字面意思理解,“不是费米液体行为的其它行为”即非费米液体行为,就像将水果分为苹果和非苹果一样。
奇异金属一般认为是高温超导的正常态,之所以叫奇异金属,在于它表现得和金属在高温时的电阻率行为一样,ρ~T;而之所以奇异,在于线性电阻行为的温度范围超出了电声散射主导的温度区间。在确定该范围之前,先看一下普通金属行为是什么样的。
普通金属的电阻率行为:
1.高于德拜温度且低于MIR极限时电阻率随温度成线性变化\rho\sim T^{n} ,此处n=1;
2.温度超过MIR极限后电阻率饱和。
3.低于德拜温度时电阻率随温度成五次方变化 \rho \sim T^{n} ,此处n=5;
4.最低温时表现出费米液体行为, \rho=\rho_{0}+AT^n ,此处n=2。然而由于普通金属关联性较弱,其A系数很小,因此看起来基本是不随温度变化。另外,非费米液体行为在此处1≤n<2。
所以一个正常的简单金属,不考虑磁性和超导,它的全温区电阻率行为如下图所示。
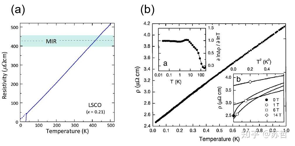
需要注意的是,一些金属的MIR极限可能很高,比如铜的MIR极限超过了其熔点,因此它高温范围一直是线性的。而PHILIP W. PHILLIPS等人在2022年的一篇文章中给出了奇异金属比较严格的定义[1],奇异金属的线性电阻行为在高温要延申超过MIR极限,在低温要延申低于德拜温度的1/3。下图为两个表现出奇异金属行为的材料电阻率随温度的变化。
可以明显看到,LSCO中金属一般地线性电阻行为超过了MIR极限,在超导态之上直到500K的温度范围内均表现出线性电阻行为,所以LSCO的金属行为“奇异”,被称为奇异金属;而图(b)中YbRh2Si2的金属一般地线性电阻延申至测量最低温,约0.02K左右,而正常的金属此时应该是费米液体行为,正比于温度的平方,所以YbRh2Si2的金属行为“奇异”,也被称为奇异金属。
现在再来看看标题为“Observation of diamagnetic strange-metal phase in sulfur-copper codoped lead apatite”的这篇文章所谓的strange metal 行为,下图为正文截图,而作者宣称的更直的扩展材料和这张图区别不大,温度区间并未改变。
(需要注意,bad metal也不是这么个行为,bad metal指超过MIR极限电阻率还没饱和,继续随温度升高而增加[4]。)可以看到,300K以上饱和,中间温区降低,低温变平,这是标准的金属行为,属于nomal metal,普通金属,你拿个无磁性无超导的普通金属材料测电阻本来就应该这个行为,哪里"strange"?另外,下图是金属铅的电阻行为,红线是线性拟合,比起诸位作者在文中展示的电阻行为,铅的行为不是更strange吗?
参考文献
[1] https://doi.org/10.1126/science.abh4273
[2] https://doi.org/10.1098/rsta.2010.0196
[3] https://doi.org/10.1103/PhysRevLett.85.626
复现者联盟观察到硫铜共掺杂铅磷酸盐中可能存在的奇异金属相,朝室温超导迈进
自去年八月以来,类LK99材料中潜在的室温超导现象成为了大家关注的话题。国内科学家形成了复现类LK99材料的“复现者联盟”。今日,科学家们在最新发表的论文中报告了一项突破性的发现:在硫铜共掺杂的铅磷酸盐中观察到了奇异金属相。这一发现为实现室温超导提供了新的理论基础和实验数据,有望对未来的超导技术产生重大影响。论文链接:
奇异金属是一种具有线性温度依赖电阻率的物质,与传统的费米液体理论中电阻率与温度的二次方关系不符。这种特殊的电子输运性质在高温超导体和铁基超导体的正常态中被广泛观察到,与强电子关联效应有关。奇异金属的发现对于理解复杂电子系统的输运机制具有重要意义。论文中的物质研究截图如下:
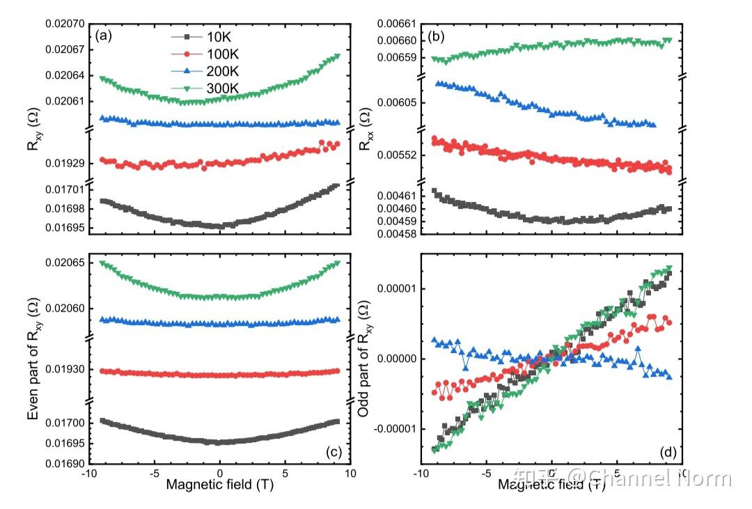
在这项研究中,科学家们通过精细的合成过程,成功地在铅磷酸盐中共掺杂了硫和铜,制备出了具有奇异金属相的新材料。实验结果显示,这种材料在室温下的电阻率显著降低,从绝缘体转变为接近自然石墨的导电性。此外,磁化率-温度(MT)曲线表明,样品在弱磁场下表现出抗磁性,且在室温下存在一个明显的抗磁性信号,这可能与麦斯纳效应有关,即超导体排斥磁场的现象。
研究团队还观察到了霍尔电阻(Rxy)和纵向电阻(Rxx)的非对称性,这可能反映了样品的内在特性,如超导涡动力学。这些发现表明,硫铜共掺杂铅磷酸盐在高压下的定向堆叠可能导致了奇异金属相的形成,为进一步探索室温超导提供了新的线索。
该研究的主要作者之一,王宏阳博士表示:“我们的工作不仅为奇异金属的理解提供了新的视角,而且为实现室温超导开辟了新的可能性。我们相信,通过进一步优化材料的合成和处理过程,我们能够更接近于实现这一长期追求的科学目标。”
值得注意的是,“复现者联盟”在此前已经发表过三篇关于此类材料的研究论文,对材料中可能存在的麦斯纳相进行了研究,相关讨论如下:











