Get 5 free video unlocks on our app with code GOMOBILE    

Invite sent!
  • Recommended Textbooks
  • Calculus: Early Transcendentals
    8th Edition    James Stewart
    University Physics with Modern Physics
    14th Edition    Hugh D. Young
    Physics: Principles with Applications
    7th Edition    Douglas C. Giancoli
  • Login
  • Textbooks
  • Notes & ExamsNEW
  • Ask our Educators
  • Study Tools
    Study Groups Bootcamps Quizzes AI Tutor iOS Student App Android Student App StudyParty
  • For Educators
    Become an educator Educator app for iPad Our educators
  • For Schools
    • Login

Question

How would you answer this using R code ## Problem 1 (Verzani problem 6.2) *Roll a pair of dice. Let $X$ be the largest value shown on the two dice. Use `sample()` to simulate five values of $X$.* ```{r, echo=FALSE} # This code block resets the random seed in order to get consistent results. This will be hidden in the final document, but YOU MUST NOT CHANGE THIS! set.seed(5292016)

Instant Solution:  

Step 1/3
1. We need to simulate rolling a pair of dice. We can do this by using the sample() function. We will use the argument replace = TRUE to indicate that we are sampling with replacement.


Best Match Video Recommendation:

Solved by verified expert

preview
Numerade Logo

This problem has been solved!

Try Numerade free for 7 days

Video Player is loading.
Current Time 0:00
/
Duration 0:00
Loaded: 0%
Progress: 0%
Stream Type LIVE
Remaining Time -0:00
 
  • 2x
  • 1.5x
  • 1x, selected
  • 0.5x
1x
  • Chapters
  • descriptions off, selected
  • captions settings, opens captions settings dialog
  • captions off, selected
  • English Auto Captions

    This is a modal window.

    Beginning of dialog window. Escape will cancel and close the window.

    Text
    Background
    Window
    Font Size
    Text Edge Style
    Font Family

    End of dialog window.

    We don’t have your requested question, but here is a suggested video that might help.

    Best Match Question

    Answered step-by-step

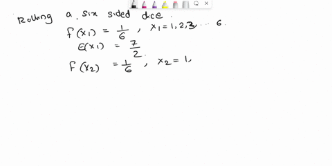
    You roll a fair six-sided die 100 times. Let X be the random variable that is the number of these rolls that show 1, 2. or 3 You then roll the die another 100 times Let Y be the random variable that is the number of these rolls that show Or 2 With simple calculations in R, using the dbinom and pbinom functions, find the following: P(X < 60). P(Y > 60) . P(X =Y)_ P(X >Y)_ Hand in your R commands (which should consist of one line for each question) ad their numerical outputs:

    Recommended Videos

    03:03

    1. Use the composition method for simulating X, having the pmf pj,j = 5,6, 14,where 0.11,when j is odd and 5 < j <13 Pj {0.09,when j is even…

    02:32

    Question 7
    1pts
    Roll two six-sided dice; let X1 represent the result from the first roll; and Xz the second: Which of the following random v…

    04:12


    If the random variable X is used to
    denote the outcome of rolling two dices and sum their
    numbers ("the experiment"), then: <…

    01:42

    Question 3
    Use a while loop to write program that calculates the sum of N integers entered by the user: N is a computer generated random number…

    Transcript

    I saw how to use the binomial code for with r for the first two, but not the normal distribution for combining x and y. Hopefully that leads you in the right direction. If we have x, we want the probability that it is less than or equal to 60 point. The parameters of the p bin ome function are r and n. K is 60 and n is 100, which gives us an answer of 0.9823999, and you can round accordingly b for the y variable, which is also binomialand. We want the probability that y is greater than or equal to 60, which is 1 minus, if p is 1 third or.33 repeating. The p binomeaspbinome gives us less than 6103 You need to go out and give us a probability of 1.39 times 10 to the negative 8, but I'm not sure how accurate that is. That's x, minus y is 0. If we use a normal distribution to approximate, the mean was 50.…

    Want better grades, but can’t afford to pay for Numerade?

    Ask your parent or guardian for help.


    Enter your parent or guardian’s email address:

    Already have an account? Log in

    Share Question

    Copy Link

    OR

    Enter Friends' Emails

    Add To Playlist

    Hmmm, doesn't seem like you have any playlists. Please add your first playlist.

    Create a New Playlist

    `

    97% of Numerade Students Report Better Grades

    Create an account to get free access

    Join Numerade as a

    or

    Sign in with GoogleSigned in with Google
    Already have an account? Log In

    Log in to watch this video
    ...and 3,000,000 more!


    Sign in with GoogleSigned in with Google
    OR

    EMAIL

    PASSWORD

    Get 24/7 study help with our app

     

    Available on iOS and Android

    About
    • Our Story
    • Careers
    • Our Educators
    • Numerade Blog
    Browse
    • Bootcamps
    • Books
    • Notes & Exams NEW
    • Topics
    • Test Prep
    • Ask Directory
    • Online Tutors
    • Tutors Near Me
    Support
    • Help
    • Privacy Policy
    • Terms of Service
    Get started