はじめに
Scrapboxで使えるTeX記法(目次)
これは、私が1年前に作成した記事なのですが、そろそろドキュメントとして古くなりつつあることと、
ScrapboxのTeX記法がKaTeXベースらしい?ので、参考元を変更して、再作成することにしました。
随時カテゴリごとに追加していきますのでよろしくお願いします。
更新はしばらくお待ちください。
また、大きなドキュメントとしてページが長くなることをご了承ください。
更新履歴
2019/05/28 23:00 一部項目を追加、公開
2019/05/29 12:00 色とかフォントを追加
目次
アクセント
括弧
括弧の大きさ
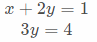
行列
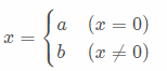
空欄
単位
色とかフォントとか
HTML
Letters and Unicode
Unicode Mathematical Alphanumeric Symbols
Layout
Annotation
Line Breaks
Vertical Layout
Overlap and Spacing
Logic and Set Theory
Macros
Operators
Big Operators
Binary Operators
Fractions and Binomials
Math Operators
sqrt
Relations
Negated Relations
Arrows
Symbols and Punctuation
アクセント
括弧
括弧の大きさ
| 書き方 | 見た目 |
|---|---|
[$ \left(\LARGE{AB}\right)] |
|
[$ ( \big(\Big(\bigg(\Bigg(] |
|
[$ \left(\LARGE{AB}\middle)\LARGE{CD}\right)] |
![]() |
行列
空欄
単位
色とかフォントとか
分数
| 書き方 | 見た目 |
|---|---|
[$ \frac{a}{b}] |
|
[$ \tfrac{a}{b}] |
|
[$ \genfrac(]{2pt}{1}a{a+1} ] |
|
[$ a \over b] |
|
[$ \dfrac{a}{b}] |
|
[$ a \above{2pt} b+1] |
|
[$ a/b] |
|
[$ \cfrac{a}{1+\cfrac{1}{b}}] |
おまけ
一応同一[]内であれば定義関数は使えるらしい。
| 書き方 | 見た目 |
|---|---|
[$ \def\foo{x^2} \foo+\foo] |
|
[$ \gdef\bar#1{#1^2} \bar{y} + \bar{y}] |
???
まだ未完の状態なので、更新までしばらくお待ちください
参考元
Supported Functions・KaTeX
https://katex.org/docs/supported.html
































































コメント