Rational and Irrational Numbers RS Aggarwal ICSE Class-9 Maths
Goyal Brothers Prakashan Mathematics Chapter-1 Solutions std-9th
Rational and Irrational Numbers RS Aggarwal Goyal Brothers Prakashan ICSE Class-9 Mathematics Solutions Chapter-1. We provide step by step Solutions of Exercise / lesson-1 Rational and Irrational Numbers for ICSE Class-9 RS Aggarwal Mathematics . Our Solutions contain all type Questions with Exe-1 A, Exe-1 B , Exe-1 C and Exe-1 D, to develop skill and confidence. Visit official Website CISCE for detail information about ICSE Board Class-9 Mathematics.
Rational and Irrational Numbers RS Aggarwal Goyal Brothers Prakashan ICSE Class-9 Mathematics Solutions Chapter-1
–: Select Topics :–
Note:- Before viewing Solution of Chapter -1 Rational and Irrational Numbers Class-9 of RS Aggarwal Solutions. Read the Chapter Carefully then solve all example given in Exe-1 A, Exe-1 B , Exe-1 C and Exe-1 D. For more practice on The Rational and Irrational Numbers Visit ML Aggarwal Rational and Irrational Numbers or Concise Rational and Irrational Numbers ICSE Class-9 Mathematics Selina Solutions Chapter Also.
Exe-1 A Rational and Irrational Numbers RS Aggarwal Goyal Brothers Prakashan ICSE Class-9 Mathematics Solutions
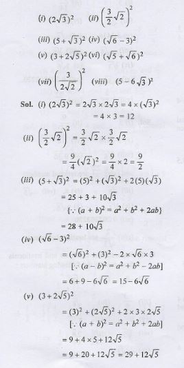
Questions 1
Without actual division, find which of the following rational numbers have terminating decimal
Answer-1


Questions 2
Convert….decimal…..vulgar…lowest term
Answer-2
Questions 3



Questions 4
Express 15/16 as decimal correct to four decimal place
Answer-4
Questions 5
Express 13/34 as decimal correct to four decimal place
Answer-5
Questions 6
by actual division show that……….
Answer 6

Questions 7
Express ……….as vulgar fractions…simplest form.
………
Answer-7


Rational and Irrational Numbers Exe-1 B RS Aggarwal ICSE Class-9
Questions 1
Write the additive inverse of….
Answer-1

Questions 2
Write the multiplicative inverse of ……..
Answer-2

Questions 3
Find rational number between 3/5 and 7/9
Answer-3
Questions 4
Find two rational numbers between
Answer-4


Questions 5
Find three rational numbers between …
Answer-5


Questions 6
Find four rational numbers between 4 and 4.5
Answer-6

Questions 7
Find six rational numbers between 3 and 4
Answer-7
3.1,3.2,3.3, 3.4,3.5 and 3.6
Exercise 1 C Rational and Irrational Numbers RS Aggarwal
Questions 1
Classify the Rational and Irrational Numbers from following

Questions 2
Seperate the Rational and Irrational Numbers from following
Answer-2
Questions 3
Write down the value of ……
Answer-3

Questions 4
State giving reason ……..Rational or Irrational.
Answer-4


Questions 5
Show that….Irrational.
Answer-5

Questions 6
Prove that …..is irratinal number
Answer-6

Questions 7 and 8
Write ..example of 4 irrational numbers.
Answer-7 and 8
Questions 9
Prove that…………irrational.
Answer-9
Questions 10 and 11
Answer-10 and 11
Questions 12
State if true or False…….
(i)…..
(ii)…..
(iii)…..
(iv)…..
(v)….
(vi)…….
Answer-12
(i)…True
(ii)….False.
(iii)….True..
(iv)…..False
(v)…..True
(vi)……False
Questions 13
what are rational numbers………..
Answer-13

Questions 14
what are rational numbers………..
Answer-14
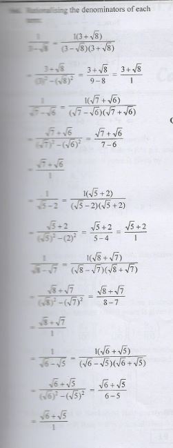
Goyal Brothers Prakashan Mathematics for ICSE Class-9 Exercise-1 D
Rationalise the denominator from Q- 1 to Q -11
Questions 1
Answer-1
Questions 2
Answer-2
Questions 3
Answer-3
Questions 4
Answer-4
Questions 5
Answer-5
Questions 6
Answer-6
Questions 7
Answer-7

Questions 8
Answer-8
Questions 9
Answer-9
Questions 10
Answer-10

Questions 11
Answer-11

Questions 12
if ……find value of a and b.
Answer-12
Questions 13
Answer-13
Questions 14
Answer-14
Questions 15
Answer-15

Questions 16
Answer-16
Questions 17
Answer-17
Questions 18
Show that …………=5
Answer-18

Questions 19
if x=………..find value of ………..
Answer-19

Question-20
if x=………..find value of ………..
Answer 20

–: End of Rational and Irrational Numbers RS Aggarwal :–
Return to- RS Aggarwal Solutions for ICSE Class-9 Mathematics (Goyal Brother Prakashan)