<ざっくり言うと>
- 5年前にこのブログで取り上げたのと同じデマチラシがいまだにネットで出回っている。
- 在日特権リストの情報ソースをたどると、「2ちゃんねるの噂」であることが判明。
- 「特権階級だから帰化しない」と書かれているが、毎年5000人前後の在日コリアンが帰化しており、ピーク時には毎年1万人以上が帰化していた。
- 「在日韓国人は、本当は自由意思できたのに、強制連行されたと嘘をついている」もデマ。
- 「帰国しないのは在日特権があるからだ」もデマ。
- このチラシの内容が事実だと、わずか人口比0.5%で、参政権さえない在日コリアンに支配されている日本人はとてつもなく無能ということになってしまう。
目次今回の一連の記事↓
- 在日特権デマ1:「生活保護2兆3000億円」デマ&「64万人中46万人無職」デマ
- 在日特権デマ2:特権リストの元ネタは2ちゃんねる ~在日に支配される無能な日本人?~←今ココ
- 在日特権デマ3:「生活保護不正受給の95%が在日」という超絶頭の悪い卑劣すぎるデマ
~いまだに拡散され続けるデマチラシ~
前回の続きです。
前回、「64万人中46万人無職」「生活保護費2兆3000億円」がデマであるいうことを紹介しました。それも信じがたいほど低レベルな。もう他の記述も検証するまでもなくデマだとわかるわけですが、一応検証しておきましょう。
~在日特権リストは2ちゃんねるの噂~
まず、チラシ左側のリストを見てみましょう。
働かないで年間600万円なんてのはもちろんの事、医療も水道も無料だとか住宅費が5万円出るだとかめちゃくちゃに決まってるわけですが、一体何を根拠に言っているんでしょう? このチラシの右下に、「検索!」と書いてあります。これが情報ソースなのでしょう。
「国民が知らない反日」で検索! お、「国民が知らない反日の実態」というサイトが出てきました。これだな? 「在日特権の正体」…。これか、情報ソースは。
>>2ちゃんねるに書かれていた在日特権の噂
なんと! 在日特権の正体とは、2ちゃんねるに書かれていた噂だったのだ!!
ア、アホすぎる…。しかし、ちゃんと「2ちゃんねるに書かれていた噂」と断ってある分、このサイトのほうがチラシよりもずっと良心がありますね。
というわけで、このチラシの情報ソースは2ちゃんねるの噂でした。くだらなすぎる…。
ちなみに、公務員については地方によっては国籍規定がないだけの話で、在日韓国人に限らず公務員になれますし、国家公務員にはなれません。当然在日特権などではありません。
在日に試験免除が各種ご用意なんてのはもちろんデマ。「朝鮮大学校出身者は司法試験の一次試験が免除! 在日特権だ」なんて言うバカがいますが、司法試験は朝鮮大学校に限らず、すべての四年制大学の他、防衛大学校、水産大学校、職業能力開発大学校、海上保安大学校、職業能力開発総合大学校、気象大学校の出身者も免除だったので、なんら特権でも何でもありません。さらに現在では一次試験免除の制度自体がなくなっています。(詳しくはこちら)
パチンコについては、大半が在日コリアンにより運営されているのは事実ですが、別に日本人でもアメリカ人でもなりたければオーナーになれますので、特権などでないのは当たり前ですね。私個人はパチンコに全く興味がないし、安倍政権がやろうとしているカジノにも反対ですので、パチンコを違法化して廃止するって言うのなら、個人的には賛成しますが、ダイナムによると、法人税の2%がパチンコらしいんで(2011年)、この税収を失いたくないから違法化しないんじゃないですかね?
何にせよ、パチンコは戦前から存在していました。パチンコが許可されていて、そこに在日の人が集まったのであって、在日の人たちのためにパチンコが許可されたわけじゃありませんね。原因と結果が逆です。
~帰化してもしなくても攻撃する卑劣~
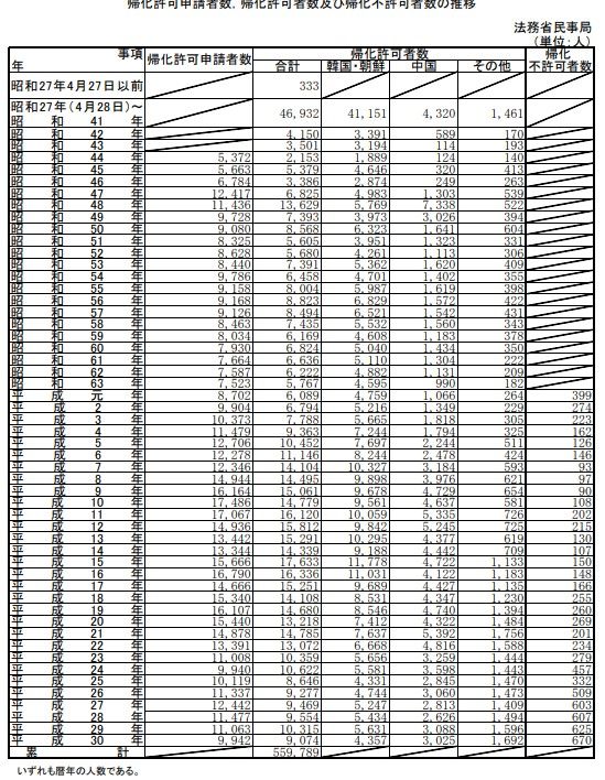
一応付け加えておきますが、このチラシには「特権階級だから帰化できるけどしません」とか書いてありますが、もちろん嘘です。一時期年間の帰化数は1万を超えており、現在でも毎年5000人前後が帰化しています。
(法務省ホームページ)
「特権だから帰化しない」と言うのは、あの人類最低の女と言っても過言ではないはすみとしこも言っていますね。
「こんな特権手放すバカがいるものか」などと書いていますが、その一方で、帰化した場合も非難してるんですよね。
帰化しても帰化しなくても中傷。結局、ネットで「在日がー!」とか言って暴れている連中って、「在日を攻撃したい! 差別したい! 自分が気持ちよくなりたい」っていう欲望が先にあって、理由は後付けでどーでもいいんですよね。本当に卑劣ですわ。
~「国へ送り返すと言うと拒否」「在日特権があるから帰らない」というデマ~
このチラシは、こんな説明文を加えています。
>>彼らは強制連行されたと言いますが、
>>なぜ国へ送り返すと言うと拒否し、
>>また国も連れ帰さないのでしょう。
民団の調査では、在日コリアン一世の大半は、自分たちの渡航理由を、強制ではなく自分の意志だと答えているので、「在日コリアンは『自分たちは強制連行の被害者だ』と言っている」ということには疑問符が付きますが、現在の在日朝鮮人の大半は、強制連行(徴用・徴兵など)の子孫ではなく、経済的理由などで日本に移住した人が殆どなのは事実です。
しかし、当然彼らが韓国や北朝鮮に戻らなかった理由は、「在日特権」などではありません。
(そもそも「国へ送り返すと言うと拒否」って何なんですかね? いったい誰が、いつ、「国へ送り返す」なんて言ったんだ?)
終戦前には日本本土に200万人の朝鮮人がいましたが、終戦によって140万人が帰国しています。徴用で日本に来た人は当然ここで大半が帰国したでしょう。そして、残った60万人の朝鮮人の多くは、日本に生活基盤があるから日本に残ることを決意したと考えられます。
なんで帰国しないかって、「在日特権」なんて2ちゃんねるの噂をもとにした妄想が理由じゃなく、日本に生活基盤があるからでしょう。まして、2世3世になれば、日本しか知らないわけですから、韓国に行くなんてのはもはや「帰国」じゃなくて「移住」「移民」に等しい感覚でしょう。
アメリカの黒人奴隷なんて、これは疑いようもなくアフリカから強制連行されてきたわけですが、リベリアを作ったようなほんの一部を除いて、大半の奴隷は解放後もアフリカに返らずアメリカに留まりましたよ。黒人特権でもあってアメリカに留まったんですか? 違いますよね。生活基盤がアメリカにしかないわけですから、帰りようがないわけです。それで奴隷解放後も差別が続いているにもかかわらず、アメリカに留まったわけです。
「在日韓国人は、在日特権があるから帰国しないんだ」なんて発言は、「アメリカの黒人は、黒人特権があるからアフリカに帰らないんだ」と大差ない発言です。
「生活保護2兆3000億円」だの「あれが無料、これが無料」だの「試験も免除」だの、デマを吐きまくって「在日特権」を捏造し、自分の妄想の産物に過ぎない「在日特権」を根拠に、「在日は帰国しない! 在日特権があるからだ!」とか妄想をさらに重ねる。徹頭徹尾デマと妄想で作られた卑劣な差別ビラですね。
~人口比0.5%の在日に奴隷にされる日本人って無能ってこと?~
こうも平然とデマにデマを重ねてデマを吐きまくって、「特権階級」だの「マスコミを掌握」だの「帰化人を多数含む民主党」だの妄想を重ねています。「日本人言論弾圧法案」ってのはヘイトスピーチ解消法のことですかね? これ、最終的には2016年に、自民、公明、民進、共産などの賛成多数で可決されたんですが、このチラシ作ったやつの脳内だと、自公も含めて国会議員の大半が在日帰化人なんですかねえ?
特に、「マスコミの株を買い内部に入り込み掌握」というのが傑作。このチラシの主張では、在日の大半は無職で、働かずに生活保護をもらって遊んで暮らしてるんでしょ? そんな奴らがマスコミを掌握できるほど株を買う金があるって、どういうこと? わけわかんねえ。大儲けしとるのか、生活保護もらっとるのか、どっちやねん。
そして、「今一人でも多くの日本人が真実を知り行動しなければ、日本人、そして子供たちは永遠に奴隷にされるでしょう」と締めくくっています。
人口比0.5%しかいない在日に奴隷にされる日本人って、どれだけ無能なわけ?
このチラシの主張だと、そういうことになっちゃいますけど。人口比僅か0.5%しかおらず、選挙権も被選挙権もないにもかかわらず、様々な特権を手に入れ、マスコミを支配できるほどのの株を買えるほど金持ちで、政治を操り、ついには日本人を奴隷にまでしてしまう。在日はめちゃくちゃ有能で、日本人はめちゃくちゃ無能ってことになっちゃうんですけどね。こんなに必死こいて在日の優秀さを宣伝し、日本人を無能とこき下ろすとは、このチラシを作ったやつは反日工作員だな!(笑)
なんか、この小話を思い出します。
地下鉄の中でネオナチの新聞を読んでいるユダヤ人がいた。たまたま同じ車両に乗り合わせた彼の友人が、 このおかしな光景に気がついた。いささか憤慨した友人は彼に近寄って尋ねた。在日コリアンは医療費も水道代も払わなくていいとか、試験が免除だとか、マスコミを操れるほど株を買っているとか、ホンマ完全にユダヤ陰謀論レベル。いや、それよりもずっと酷い。
「君、気でも狂ったのか。どうしてこんな怪しからん新聞を読んでるんだね」
「うん、以前はユダヤ系の新聞を読んでいたさ。けれど何が分かったと思うかね。ヨーロッパではユダヤ人が差別されているとか、イスラエルのテロとか、同化と異民族との結婚でユダヤ人の数が減っているとか、 あるいは貧しいユダヤ人の暮らしとか、そんなニュースばかりじゃないか。だからネオナチの新聞に切り替えたんだ」
「それで、その怪しからん新聞から何が分かったんだね」
「ユダヤ人が世界中の銀行を買い占めたとか、ユダヤ人はマスコミを操っているとか、 ユダヤ人は金持ちで凄い勢力を持っているとか、ユダヤ人は世界を牛耳っているとか…… 嬉しいニュースばかりだぜ」
もちろん、これまで見てきたとおり、このチラシに書かれていることは徹頭徹尾デマです。在日コリアンが日本人を支配している事実も、日本人が在日コリアンに支配されている事実もありません。完全な妄想です。
まあ、こんなデマチラシを信じる奴は、騙されてると言うより、意図的に騙されに行ってるんでしょうね。その方が都合がよくて気持ちがいいから。(人は彼らを「ネトウヨ」と呼ぶ) 自分たちが無能だから、日本全体を無能だと思っちゃうんですかね?
~ネオナチと完全に一致する人種差別チラシ~
そして、これだけデマで憎悪を煽っておきながら、「外国人差別の意図はありません」などと言う。何たる恥知らずか。
性差別や人種差別をするやつって、自分が差別をしているという意識がゼロなんですよね。
ナチスやネオナチが人種差別主義者だっていうことは世界的な認識ですが、そのネオナチの思想の中核と言うのは「今行動しないと、ユダヤ人の支配と白人以外の人種増加が進み、白人の未来はなくなる」というものなわけですよ(参照)。100%このチラシと一致しますね。それでいて「差別の意図はありません」とか言えちゃうんだから呆れてしまいます。
こんな呆れたデマを鵜呑みにして拡散しておいて、デマだと指摘されたら、逆に「あなたが無知なだけです。調べて書いてみてください」とか言う奴までいるんだから、どうなってるんでしょうね…。無知なうえに調べて書いてないバカはお前だろ…。
何を言うにしたって、デマは駄目です。何かを発言する際には、最低限、ここまで馬鹿なデマチラシを鵜呑みにするような真似はしないようにしましょう。
愛国カルトから抜け出るのに大切なことは、自分がデマに騙されていることに気づくことです。
このチラシを信じている人、拡散している人を見たら、ぜひ、間違いを指摘してあげてください。
にほんブログ村 政治 ブログランキング
コメント
間違いなく指摘した人を反日だパヨクだチ○ンだと認定し憎悪を滾らすでしょうね…
ユダヤ人を韓国人や在日韓国人に変えたらそのまま通じますからね
とか言ってるアホに限って、差別と区別の違いすらわかっていない。
そして、その程度の事もわかっていないから、
簡単に差別主義者になってしまう。
IQが低いと極右に寄る傾向にあるというイギリスの研究は、
あながち間違っていないのかもしれない。
在特会広報の米田隆二氏の言葉。1:38から。
ネトウヨの親玉のご意見ですよ。
https://ameblo.jp/korea-one/entry-10516611031.html?frm=theme
在日だったらデマを垂れ流しても許されるのか?
気持ち悪いじゃん?すぐに発狂するじゃん?ファビョるじゃん?
違うよ。それはユダヤ人に失礼だ。ユダヤ人は朝鮮人みたいに悪いことしてないでしょ?朝鮮人は嫌われることしかやってこなかったから、今の状況なんだよ。理解しようよ。
在日朝鮮人が嫌われている理由は?世界中で韓国人が襲われたり殺されたりしている理由は?
朝鮮人に原因があるとは思わないのかい?
殺されるのは被害者が悪いと?最低のヘイトスピーチですね。
管理人さんブロックおねがいします。
うわ…こんなステレオタイプに見事にハマった奴がいるのか…
というか嫌いだったら何でもしていいと思っているのですかね?
違うよ。正規ルートで来ている韓国人は別に存在していてもいいんじゃね?
だけど、在日朝鮮人は在留資格の見直しをやって「不許可なら帰らせるべきだ」という話だね。「朝鮮人が殺されているのがいいことだ」とは言わないよ。だけど「朝鮮人が殺される理由は分かる」と言っているの。この違いが分かるかね?
そもそも「朝鮮人は嫌われている」というのはこいつのような、生ゴミほどの価値もない人間のクズ中のクズの差別主義者がやってるだけ。このクズは「朝鮮人は差別される理由がある」とか言ってるけど、ユダヤ人差別主義者は「ユダヤ人は差別される理由がある」し、黒人差別主義者は「黒人は差別される理由がある」と言うだろう。
「朝鮮人は朝鮮人だから、嫌われるのは仕方なくね?日本人になりすますじゃん?
気持ち悪いじゃん?すぐに発狂するじゃん?ファビョるじゃん?」
ブロックされた人に返信するのも何ですが、この差別主義に塗れた文のどこに在留資格云々があるというのでしょう?
>>実際、街頭での朝鮮総連の示威行為で「在日はな~、強制連行されてきたんやぞ~」とがなってる動画見たことあるし、
その動画は見てないから何とも言えんけど、少なくとも民団調査では一世の大半が自由意思での渡航だと言っている。
>>今現在も強制連行を主張する下記のようなキチガイが存在する。
>>https://ameblo.jp/korea-one/entry-10516611031.html?frm=theme
このブログ、「今の在日朝鮮人は強制連行で連れてこられた子孫だ」なんて書いてないじゃん。「強制連行があったのは事実だ」って内容じゃん。
強制連行の存在自体は事実だよ。もちろん当時は「強制連行」なんて呼び名は無くて、徴用や徴兵、もしくは虚偽の説明で騙して不本意な労働をさせられたのを、のちに「強制連行」と呼ぶようになったんだけど。
僕もそれ、気になりました
見たことあるHNだけど同一人物っぽく思えないような…
他人のハンドルネームを勝手にパクるのはよくある荒らしの手口だしな
確認してないですが、同一人物ではないでしょう。なりすましではなく、「ねっとうよく」ってスマホで打つと、最初の変換候補が「熱湯浴」なので、そのまま使った偶然でしょう。
※6の熱湯浴さん。その名前は他の人が既にコテハンにしてますので、別の名前に変えてください。お願いします。
https://ameblo.jp/korea-one/entry-10577810064.html
「当時の日本が朝鮮半島を侵略しなければこんなに多くの韓国・朝鮮人が日本に来るようなことはありませんでした。
勿論、全員が全員強制連行されてきたとは言いませんが日本に来ざるを得ない状況を作り出したのは当時の日本です。」
あと、辛淑玉は在日の来歴があたかも強制連行によるもののように書いている。
「北が日本人女性を拉致したというのはウソだと思う。工作員教育係なら在日同胞を使えばすむからだ。もし、仮に北が日本人を拉致したとしても日本人は批判できるだろうか。
戦争中、膨大な数の朝鮮人を国家の名の下に拉致した歴史的な事実がある。
いまなぜ日本に多くの朝鮮人がいるか考えてみてほしい。
自国の歴史を忘れた発言が多すぎる」
1988年2月26日付「朝日ジャーナル」(pp.23-24)より
あと、ここでの討論を見ると民団・総連がそれぞれ、在日の来歴が強制連行であるかのような主張をしていた模様。リンク切れでソースは辿れないが、誰かが民団HPの魚拓とってたらはっきりするだろう。
https://www.youtube.com/watch?v=dc2KDOrMv9Q
4:10~4:15くらいのところで、総連の人間とおぼしき者が、
「おまえらの先祖がつれてきてんぞ、無理やりに!」と言っている。
>>あたかも相当数の在日の来歴が強制連行であるかのような書き方をしている。
「来ざるを得ない状況を作り出したのは当時の日本」は事実じゃない? それに、この人は在日じゃないでしょ。
>>辛淑玉は在日の来歴があたかも強制連行によるもののように書いている。
辛淑玉がそう言っとったとしても、「在日がそう主張してる」ってことにならんでしょ。百田尚樹がなんか言ったのを「日本人が✕✕と言ってる」ってのは過言でしょ。
冒頭の部分だけ見てアホ過ぎだと思いました(小並感)
『日本で産まれた外国人が、自らを外国人だと自覚しないまま育つという異常な状況が~』
→自分の脳内でそう思うのは自由だけど、それを他者に押し付ける異常さを自覚できないのかと。
そもそも何故「日本人」と「外国人」を分ける必要があるのかからして意味がわかりません。
どこの国の人間かなんて意識せずに別に地域に溶け込んで暮らしたっていいのに、
そういった選択肢が端から存在しないという。
ネトウヨさんのデマを訂正してる分だけ多少マシではありますが、
それでもやっぱりネトウヨさんって想像力が根本的に欠如してますね。
相手(違う属性・違う思想信条の人)を人間だと思ってないというか。
で、この辺まで聞いてアホ過ぎてうんざりしてページを閉じようとしたら、
関連動画に何故かゲームセンターのメダルゲームにメダルを大量投入する動画があって、
気が付いたら数時間観てしまいました。
子供の頃にやりたかった事が簡単に疑似体験出来るなんて、良い世の中になったもので。
しかし、逆にそういった動画からもネトウヨ動画に来られるわけで、
それで無知な人たちが騙されてネトウヨに堕ちるって事もありえるんでしょうね。
確かに韓国は日本のコントロールに成功していると言えますね
辛淑玉が必ずしも在日を代表しているわけではないが、少なくとも在日自身が強制連行という来歴を主張していた一つの事例ではある。じゃあ、あんたはどういう証拠出せば満足するんだ??
まず、はっきりさせたいのは
A 狭義の強制連行
武力、暴力を行使して文字通り強制的に連行したケース
B 広義の強制連行
暴力的手段は用いられなかったが本人の意志に反して日本に連れてこられた
これについての貴方の意見
例えばAは無かった
Bなら問題視する必要ない
等々、どう認識されているのか、お尋ねしたいのですが・・・。
マジレスするとユダヤ人は国際的視点で見れば朝鮮人の何倍も悪いことしてるぞ(パレスチナ人迫害とか)
だからと言ってユダヤ民族やユダヤ教そのものが悪いわけではないし、ましてやナチスのようにユダヤ人を迫害するのは言語道断だが
まあ在日コリアンがたった50万人で日本を表裏から支配しつつ、収入状況改竄してまで生活保護に甘んじる有能かつ聖人なら、そのまま支配され続けた方が日本人は幸せじゃねーかな
Aの場合、ひどい話だと考えます。ただ、やった主体が誰なのかにより、国家が負うべき責任の範囲は異なると思います。
Bの場合、これはケースバイケースでしょうが、基本的にはひどい話ではあると。ただ、Aの場合よりかは国家が負うべき責任は小さいと考えます。
いずれにしても、自分達の立場を有利にするために嘘の被害を騙るのは論外ですが。
また在日が強くなってしまう。
そして日本人が限りなく弱くなってしまう。
まあ良いか。
全部ネトウヨの妄想の中だもんな。
『Bについても分かりませんが、おそらくそういうケースはあったでしょう』
『Bの場合、これはケースバイケースでしょうが、基本的にはひどい話ではあると』
・・・貴方も広義の強制連行については『あった』と推測し『ひどい話』だと認識されているんですね。
※6『今現在も強制連行を主張する下記のようなキチガイが存在する。』
・・・この人、「広義の強制連行」を主張してますよね。
何が問題なのでしょうか?
※21『あと、辛淑玉は在日の来歴があたかも強制連行によるもののように書いている』
『戦争中、膨大な数の朝鮮人を国家の名の下に拉致した歴史的な事実がある』
これも広義の強制の話で、貴方的にも問題無いのでは?
それとも辛淑玉さんは「日本の官憲や、それに命令された者が武力や暴力を用い労働者狩りをした」等と主張しているのでしょうか?
『いずれにしても、自分達の立場を有利にするために嘘の被害を騙るのは論外ですが』
・・・『自分達の立場を有利にするために』
具体的に、どう有利にするためなのでしょうか?
・・・『嘘の被害』
具体例をソースと共にご教示頂きたいです。
外国人(中国、韓国人含む全ての)に、二度と来たくない国(住みたくない)って思わせるような国が、「美しい日本」である訳が無い。
そんなのを目指すなら、一生自分の殻に閉じこもって俗世間と隔離した、人類と接点を持たない生活を送ったら良いと思います。
愛国者を名乗る方々がですね、在日朝鮮・韓国人を手厚く庇護している自民党を支持しているなんてことはですね、よもやないとは思いますが。
安倍ちゃんの真似上手くて草
昨日も再ブロック者が二人出たよね…😞
中立くんと違って全く成長しない奴等だな😡
「古いデマ 何度も使う ゾンビウヨ☠」
「日本{にっぽん}を 上げるつもりが 地に落とす☠」
「ネトウヨの 精神年齢 いじめっ子☠」
「差別好き 差別されるの 大嫌い☠」
「反日の 認定基準 オレしだい☠」
以下の2つ
「パチンコ産業ほぼ独占」
「犯罪犯しても通名報道だから日本人と区別つかない」
パチンコと在日韓国・朝鮮人の関係
http://ja.wikipedia.org/wiki/%E3%83%91%E3%83%81%E3%83%B3%E3%82%B3#.E3.83.91.E3.83.81.E3.83.B3.E3.82.B3.E3.81.A8.E5.9C.A8.E6.97.A5.E9.9F.93.E5.9B.BD.E3.83.BB.E6.9C.9D.E9.AE.AE.E4.BA.BA.E3.81.AE.E9.96.A2.E4.BF.82
>パチンコ業界の6割が在日韓国・朝鮮系としている
>各メディアにおいても北朝鮮送金問題に関して北朝鮮の資金源として、朝鮮総連に関係するパチンコ業界があるのではないかと言われる
これらの問題についてどう思われますか?
都合が悪いから無視したのですか?
パチンコなんて百害あって一利なしだし、日本から追い出せばいい。
少なくとも在日一世は、「自分は強制連行で連れてこられた」とは言ってないわけですが、「強制連行で連れてこられた人がいる」というのが「在日=強制連行で連れてこられた人」という間違った認識を持っている人が、在日にも日本人にもいるのは事実ですね。「強制連行で連れてこられた」と言っている在日がいないかのような書き方は過言であるので、修正します。
パチンコについては5年前の記事に既に書いています。都合が悪いから無視したというようなものではありません。もし都合が悪いから無視したのなら、5年前の記事でも触れません。http://datsuaikokukarutonosusume.blog.jp/archives/1008982512.html
この記事執筆中、最初はパチンコのことも書いたんですが、出来上がった記事を見たらあまりに冗長なんでカットしたんです。だって、パチンコなんて別に在日じゃなかろうとオーナーになれるので、「パチンコ=在日特権」なんて意味不明でしょう。わざわざ説明するまでもないかなと思ってカットしただけです。
書けというのなら書きますよ。
この手の主張は「ネトウヨ」のテンプレといってもいいくらいなんですが、そもそも本名も報道されてますし、区別をつける意味もわからんし、むしろ通名報道されたほうが在日外国人にとっては不利なのでは・・・?
パチンコ利権とズブズブの人が総理やってる内は追放なんて無理無理
間違っているから批判してやろうか。
>犯罪犯しても通名報道だから日本人と区別つかない
朝日以外の新聞社は本名(民族名)表記だね。
警察は通称(通名)と一緒に本名を発表しているね。
「山田太郎こと李田所」といったぐあいだ。
国籍を書くこともあるね。
で、私は朝日の通名報道も理解できる。
というのも、警察が事件を発表するのは関連情報を求めているからだ。
たとえば上の本名李田所という男が山田太郎の通名で何年も生活していたとしよう。
そして山田太郎は知り合いなどから「いいもうけ話がある」として、何億円もだまし取っていた。
警察は被害届のあった500万円分で取りあえず逮捕したが、余罪はいっぱいあるはずなのに被害申告が少ない。
そこで、「山田太郎を詐欺容疑で捕まえました。手口はこうです」とマスコミを通じて広報する。そうすると「あ、俺も山田太郎に騙された」という人が出てくる。被害者が増えれば懲役も長くなる。
それが、本名の「李田所」だと、被害者も山田のことだと分からないだろう。つまり、本来は2億円の詐欺容疑で立件したかったのに、500万円分しかできませんでした、どっちがいいんでしょうかってことさ。
あ、警察は逮捕した被疑者の名前をホームページに載せたりしないから。純粋日本人だろうがなんだろうがね。広報文の情報公開請求しても、住所氏名のところは黒塗りだよ。
アホなまとめサイト見てないで、新聞読めってこった。
わいは朝鮮人嫌いやがデマはデマやろ
嘘ついて中傷せなあかん理由がないやろ
通名報道については正直バカバカしすぎて書く必要を感じなかったから割愛した。そんな法律もないし、多くのメディアは通名と本名の両方を記載している。通名しか報道しないメディアがあっても、全メディアが通名しか報道しないなんてことは考えられない。
http://hirorin.otaden.jp/e310777.html
第一、通名報道されたからなんだと言うのか。通名報道以前に、日本の犯罪の大半は報道さえされていない。殺人事件でさえ、年間1000件も起きているが、毎日3件も殺人犯逮捕のニュースを聞くだろうか? 報道されなかったからと言って、罪は消えも軽くなりもしない。
まして、「日本人と区別がつかない」からなんだと言うのか。
「通名報道は在日特権だ!」などと言うことについては、バカバカしくてわざわざ書く必要性も感じなかった。
>犯罪犯しても通名報道だから日本人と区別つかない
区別がつくようになったとして、その情報を元に何をするんですか?
そして、AとBとも問題ありといいながら、その非人道性については大きな違いがあると考えています。
「強制連行」というと、物理的な強制を伴うAのような事例を彷彿されるものであり、自分自身もかつては在日朝鮮人は元々そういう形で連行されてきたものだと思っていたし、周囲にそう思っている人もいます。
本当は経済的理由や留学、その他自分の意志で来た人が大半なのに、多くがあたかも物理的強制を伴う形で連行されてきたかのような言い方をするのは、それこそデマじゃないでしょうか?それとも、強制連行という意味を誤解する方が悪いのですか?
『自分達の立場を有利にするために』⇒ここはまさに、上記の辛淑玉の発言にあらわれているじゃないですか。「仮に北が日本人を拉致したとしても日本人は批判できるだろうか。」と述べ、かつて朝鮮人を強制連行した日本人に、拉致問題を批判する資格はないように言ってます。これで、拉致問題について在日という集団に向けられるであろう批判を封じようとしている。
>>民団の調査結果等より、それは一部の例外的な事例ではないかと考えています。
民団の調査は在日一世に来日理由を聞いたものです。所謂「強制連行」で日本に連れてこられた人の大半は終戦後すぐに帰国したと思われますので、民団の調査は強制連行の数を明らかにするものではありませんよ。
>>あたかも物理的強制を伴う形で連行されてきたかのような言い方をするのは、それこそデマじゃないでしょうか?それとも、強制連行という意味を誤解する方が悪いのですか?
「強制連行」は戦後に作られた言葉で定義が曖昧です。適切な言葉ではないと思います。「徴用、徴兵、その他、意に反した来日」ということになると思いますが、いい言葉は思いつきません。
辛氏の発言はソースを確認していませんが、そのような発言をしたことが事実ならば、明らかに間違った発言であると思います。デヴィ夫人も北朝鮮シンパで、同様の発言をしていました。
拉致について、関係ない在日にその批判を向けることは間違っていますが、「強制連行をした日本に北朝鮮拉致を批判する資格はない」という考えも完全に間違っています。
自分も正直、パチンコは嫌いですし、有害だと思ってますよ。
管理人さんが言ってるように、パチンコが在日特権は意味不明だし、関係ないから触れなかっただけです。
何ででしょうね、誰かが自分の興味のある話題に触れないと、「都合が悪いから無視した」と妄想を抱く人がいるのは?
あと、通名で生活してても、警察は本名を把握してますから、前科があればすぐ分かりますよ。
警察庁の統計でも、ちゃんと外国人犯罪の数は出ています。
そもそも「日本人と区別つかない」ことの何がいけないのですか?
事件の容疑者が日本人と区別つかなくて困るのは
「また在日が犯罪をやった!」と騒ぎたてたい嫌韓レイシストたちだけではないですか?
ちなみに「犯罪犯す」というのは間違った日本語ですから、本物の日本人なら使わないようにね(笑)。
皆さんは「大抵のメディアでは本名も報道されてる」と言いますが、ネトウヨからはそうは見えていません。
彼らには「日本人名で報道されている犯罪者も相当数が通名を用いた韓国人であるはず」という強固な思い込みがあります。
なので、犯罪報道を見るたびに「あいつは実際は韓国人であるはずなのに日本名しか報道されてない!」と怒りを燃やし、「在日特権」の存在を確信するのです。
貴方の最初の論旨は「強制連行されたというデマを流布するな」でしたよね?
しかし、俺の※29に対する回答※31
武力暴力を用いた「狭義の強制連行」があったか否かは『分りません』
直接的暴力が用いられなくても本人の意志に反した「広義の強制連行」については『おそらくそういうケースはあったでしょう。』
次に※52で『それは一部の例外的な事例ではないかと考えています』
そう述べておられますが
少なければ良いという数の問題なのでしょうか?
『民団の調査結果等』
このソースが具体的に何を指しているのか不明ですが、「狭義広義両方の強制連行証言史料」も沢山ありますよね?
『本当は経済的理由や留学、その他自分の意志で来た人が大半なのに、多くがあたかも物理的強制を伴う形で連行されてきたかのような言い方をするのは、それこそデマじゃないでしょうか?』
銃剣突きつけられて拉致された訳ではないのに強制連行された等と被害者面するな
そう言う事でしょうか?
「広義の強制連行」
それは少なからず存在した。
暴力的に拉致された訳ではなくても、軽視できない肉体的精神的苦痛を被った人も多かった。
故に「広義の強制連行」も「強制連行」
これが様々な史料に当り、自分の身に置き換えて考えてみた上での俺の私見です。
「狭義の強制連行」について俺は否定する論拠を持ちません。
故に、これを「デマ」と断定できません。
辛淑玉さんの発言は、そんな私見を述べる個人もいる。それだけの事だと思います。
で、結論としては、強制連行を主張した在日コリアンもいるにはいるということでした。
「 銃剣突きつけられて拉致された訳ではないのに強制連行された等と被害者面するな」 ⇒そこまでは言わないけれども、「朝鮮系の特別永住者及び元特別永住者の祖先の多くは、元々強制連行によって日本に来た」という言説があったら、これはデマと言ってもいいでしょう。言葉が実態を表していない。”かつて日本が悪いことしたんだから、日本の悪事は多少盛って語ってもいいい”というような態度は間違ってますよ。愛国カルトの嘘が蔓延った原因の一つに、そういう左派の嘘への反発ってのがあると思いますから。
在日一世は「自分たちは強制連行で連れてこられた」と言っていないので、外野が言っていることを真に受けた人が、日本人にも在日にもいるってことなんだと思います。ただ、外野の言っていることを真に受けた在日の人がいる以上、「外野が言っているだけで在日は言っているわけじゃない」というとまでは言えないので、記事を修正しました。同時に、このデマチラシのように、あたかも在日全体が「自分たちは強制連行で連れてこられた」と言っているかのように言うのも間違っていると思います。
『外野が言ってることなのか”どうかであり』
・・・ここに拘泥する意味が分りません。
当事者はいずれ居なくなる訳ですし、問われるのは「デマか否か」でしょう。
『結論としては、強制連行を主張した在日コリアンもいるにはいるということでした』
・・・在日は全て(大半は)強制連行と主張した。
この場合にのみ問題ですが、それは誰(団体)ですか?
『「朝鮮系の特別永住者及び元特別永住者の祖先の多くは、元々強制連行によって日本に来た」という言説があったら、これはデマと言ってもいいでしょう』
・・・強制連行を狭義の強制連行に限定して定義した場合の話です。
『”かつて日本が悪いことしたんだから、日本の悪事は多少盛って語ってもいいい”というような態度は間違ってますよ。』
・・・具体例を挙げて頂きたいのですが、確かに言える事は現状日本のネット上では逆ベクトル、即ち日本の悪事を矮小化、それどころか「無かった事」「善行」にすり替える動きの方が圧倒的に優位で、それを危惧します。
自由意志で日本に来た人も多いでしょう。
しかし、それで思考停止して問題を終了させてしまっては、単純化、知性の欠如の証左です。
別に、それで賠償しろ、という話ではありません。ケースバイケースでしょう。
しかし、狭義の強制連行じゃないから問題なし。
これこそ実態を無視した単純化でしょう。
岩盤浴氏は、私が
「『在日は強制連行で連れてこられた人たちとその子孫』という主張は、在日コリアン自身によるものではなく、外野が言っていることではないか」
という書き方をしたので、その記述について述べているのだと思います。
私の記事の正確性を問いただしたいだけで、彼は強制連行の実態について、単純化する意思も、問題ありと言う意思も、問題なしと言う意思もないのではないかと思います。そして、私は該当部分については記述を修正しましたので、彼の目的は達せられていることかと思います。
で、副次的な議論については今回あまりしたくないんですが、せっかくだから答えましょう。
「・・・在日は全て(大半は)強制連行と主張した。」⇒こういう主張をしている人は知りませんが、少なからずは強制連行されたような言い方をしている人については、上記で既に実例を挙げています。
「・・・具体例を挙げて頂きたいのですが、確かに言える事は現状日本のネット上では逆ベクトル、即ち日本の悪事を矮小化、それどころか「無かった事」「善行」にすり替える動きの方が圧倒的に優位で、それを危惧します。」⇒具体例というならば、在日コリアンの来歴を強制連行と呼ぶことがまさにそうでしょう。あなたの言うところのBのケースについても、実態はよく分からないし、あったとしてもその態様は様々だったでしょう。良いか悪いかは別として、経済的事情や人間関係のしがらみで人が意に沿わない行動を余儀なくされることは現代の日本でもよくあります。ひょっとしたら、それと類似の事例があったのかもしれません。そういった諸々をすべて”強制連行”と呼ぶことこそ、典型的な”日本の悪事を盛った”事例でしょう。
で、在日コリアンの来歴について、歴史的事実を知った上でどのような意見を持つかは個人の自由であり、在日コリアンに贖罪意識を持つのもあなたの自由だし、一生土下座し続けたければそうするのもあなたの自由です。でも、根本となる情報が間違って伝わることは、価値判断以前の問題であり、間違いは正さねばならないと考えます。これからの日本の若い世代が、必要以上の贖罪意識を持つことには大いに問題です。
そして、強制連行されたわけではないのに強制連行されたと主張する在日の人も一部いると思います。
その一部の人を抜き取って批判することで、あたかも 「強制連行」なんて無かったんだ、「嘘」なんだと思わせてしまうこと
過度な贖罪意識を持たせることは良くないけれども
何も悪いことなんかしてない、と思わせてしまうことがないように気をつけなければいけないと思います。
『少なからずは強制連行されたような言い方をしている人については、上記で既に実例を挙げています』
・・・それらは広義の強制連行ですよね。別にデマじゃないから問題有りません。
『あなたの言うところのBのケースについても、実態はよく分からないし、』
・・・何故『よく分らない』のでしょうか?
『良いか悪いかは別として、経済的事情や人間関係のしがらみで人が意に沿わない行動を余儀なくされることは現代の日本でもよくあります』
・・・『現代の日本でもよくあります』
それで何を仰りたいのでしょうか?
例えば殺人は今も昔もあります。今ダメでも昔なら良いのですか?
『在日コリアンに贖罪意識を持つのもあなたの自由だし、一生土下座し続けたければそうするのもあなたの自由です』
・・・これこそ、正に「単純化」です。
『あなた』と書かれてますが、俺のコメントを、そんな極端に単純化して受け止められるとは残念です。
『必要以上の贖罪意識』
・・・『必要以上』とは具体的にどういう事でしょうか?
基準と、それを設定した理由をご教示下さい。
小津安二郎監督の「お茶漬けの味」(1952年)
笠智衆さんは復員してパチンコ屋を経営している役でした。
これ普通に考えれば在日への優遇というより貧困層への社会保障ですよね
僕が通っていた高等専門学校にも授業料免除制度はありましたが
在日への特別措置なんてありませんでしたよ
・・・それらは広義の強制連行ですよね。別にデマじゃないから問題有りません。
⇒辛淑玉「もし、仮に北が日本人を拉致したとしても日本人は批判できるだろうか。
戦争中、膨大な数の朝鮮人を国家の名の下に拉致した歴史的な事実がある。いまなぜ日本に多くの朝鮮人がいるか考えてみてほしい。」
これ、文脈的に日本の敗戦後に朝鮮半島に帰還した人じゃなくて、主にいま日本にいる在日コリアンのこと言ってますよね。そして辛淑玉は明確に“拉致”という用語を使っている。
“拉致”されたっていうのは、あなたの言うところの“広義の強制連行”に当たるんですか?私は”狭義の強制連行”に当たると思うんですが・・・・
[精選版 日本国語大辞典]【拉致】無理に連れて行くこと。捕えて連れて行くこと。
・・・何故『よく分らない』のでしょうか?
⇒在日コリアンの来歴についての調査結果は過去に存在し、聞き取り調査が実施された事例もありますが、全てが詳細に調査されているわけじゃありません。そして、例えば“経済的理由”で渡日したケースといっても、100ケースあれば100ケースの事情があると想像しました。大きな括りで見ると、朝鮮半島よりも日本の方に仕事があって給与が高いからやってきたというようなモデルでしょうが、中には親に無理矢理行かされたとか、借金してる先に無理矢理送り込まれたとか、人間関係のしがらみで断れなかったとか、個々の事情があるのかなあと。そして、すべてのケースの個別の事情を詳細に示した資料など存在しないから、「よく分からない」と書きました。逆にあなたは、すべてのケースの事情をよく分かっているんですか?分かっているとしたらそれはすごい!
それで何を仰りたいのでしょうか?
例えば殺人は今も昔もあります。今ダメでも昔なら良いのですか?
⇒現代の日本で人が意に沿わない行動を余儀なくされるケースとして、例えば以下のような事例を考えます。「株式会社A社社長は、東京本社勤務の社員Bにシオラレオネへの単身赴任勤務を命じた。社員Bはシオラレオネへの単身赴任勤務は嫌だったが、住宅ローン、家族の生活を考え、社命に従い現地に赴任した。」この場合、“株式会社A社社長は社員Bをシオラレオネに強制連行した”という表現が適切だと思いますか?私はそう思いませんが。
・・・これこそ、正に「単純化」です。
『あなた』と書かれてますが、俺のコメントを、そんな極端に単純化して受け止められるとは残念です。
⇒単純化は大事です。普通の人間は、複雑なものを複雑なまま認識できません。だから、単純化、モデル化して理解します。正直いって、あなたが何を言いたいのか私は理解できない。だから理解しようと努め、大胆に単純化してみました。
・・・『必要以上』とは具体的にどういう事でしょうか?
⇒私は、日本人の贖罪意識を悪用し、そこにつけ込む本国及び在日の韓国・朝鮮人のことを問題視しています。必要以上とは、そういったつけ込まれる原因になるような贖罪意識のことを指しています。
具体的に言いましょう。
[ケース1]
上記で挙げた動画を再掲します。
https://www.youtube.com/watch?v=dc2KDOrMv9Q
これ、税理士法違反容疑による、兵庫県の朝鮮総連系団体への警察の捜索と在日コリアンによる抗議行動ですが、4:10~4:15くらいのところで、「おまえらの先祖がつれてきてんぞ、無理やりに!」と言っている人がいますね。これ、文脈的に「歴史的加害者たるお前ら日本人に、我々朝鮮人の罪を裁く権利はない!」みたいなニュアンスですよね。
こういう、自分達の悪事を矮小化するために日本人の贖罪意識を利用するって手口はよく見られます。さらに続きます。
「朝鮮高校の青春」(金漢一著、光文社)という本があります。これは、70年代に乱暴狼藉の限りを尽くした元朝鮮高校生徒の手記ですが、著者は高校生時代に仙台市内で一般市民への暴行や路上強盗などやりたい放題でった話を楽しげに書いています。そして、警察に捕まった際、捕まった朝高生も呼び出された先生も、「我々朝鮮人を強制連行した日本政府が悪いんだ」と話を政治問題に振り向けると、バカな仙台の警察官達が黙りこくってしまい、結局お目こぼしされるといった話が書いてあります。私はこの本を読んで怒りに震えましたが、あなたはどう思いますか?
「現代の風景 - 随想 吉祥寺の森から」という有名なブログがあります。著者の杉本氏は2004年頃から、日本のプロテスタント教会が抱える牧師の独裁化、カルト化、金銭トラブル等の病巣について鋭く告発しています。そして、杉本氏が扱っている大きなテーマの一つに韓国系プロテスタントの問題がありますので、一つの例を引用します。
http://blog.livedoor.jp/mediaterrace/archives/52014853.html
「「ラブソナタ」を手がけるオンヌリ教会に限らず、ヨハン教会、サミル教会、サラン教会、ヨイド純福音教会、KCCC、聖神中央教会(現在は牧師の服役により廃止)、御国教会など多くの韓国系プロテスタントが新しく日本に入ってきたが、「日韓の和解」どころか、激しい軋轢を生み複雑にねじ曲がった文脈を作り出した。金保、卞在昌、金圭東など目も当てられない不祥事を頻発させ、拝金と独裁カルトの道をひた走る事案が続出。また、ことあるごとに戦中期の歴史意識が前面に押し出されるメッセージの繰り返しが、戦後世代が圧倒的多数になった現在、不適切な歪みを広げている。」
これは、所謂強制連行の問題とは違いますが、問題の構造としては同じです。韓国系プロテスタントではやたら日韓の歴史問題を持ち出し、日本人信徒に韓国人への贖罪意識を植え付け、金銭をむしり取り、奴隷のようにこき使い、日本人の女性信徒は性奴隷にするといったことが実際に起こっています。杉本氏は基本的にネトウヨとかは大嫌いな人ですが、日本のプロテスタント教会の問題を考える上で、韓国系プロテスタントについて触れざるを得なかったのでしょう。
一応“正統派キリスト教”に分類されている韓国系プロテスタントはこういう状態ですが、韓国系カルトである統一教会も同じです。歴史問題を持ち出し、韓国人>>>>日本人という価値観を注入され、日本人は奴隷化されます。
在日コリアンの来歴を“強制連行”と呼ぶことは、日本人に必要以上の贖罪意識を持たせ、こういった付け込まれる人がでてくることに加担するわけです。
約10年前私が本物のネトウヨだった頃、統一教会に騙される日本人等について「朝鮮人に騙されるマヌケのことなど知ったことか!」と思っていましたが、今は同じ日本人が奴隷化されるのを見ていられない・・・・。
でも、あなたに関しては別です。別に朝鮮人に贖罪意識を抱こうが、奴隷化されようが、金銭をむしり取られようが、一生土下座し続けようが自由ですので好きにやって下さい。なんなら、日本民族の罪責を負って白頭山の頂上で磔になってはいかがでしょうか?きっと伝説になりますよ!
※70『拉致』という表現について
・・・貴方は普段100%辞書的に正確な言葉をお使いなのでしょうか?
「比喩的表現」もありますよね。
感情的になって「拉致」という強い言葉を使ってもおかしくないでしょう。
※71 『100ケースあれば100ケースの事情があると想像しました』
※73 『単純化は大事です』
・・・矛盾してますね。
強制連行については※71のスタンス
しかし※77では『在日コリアンの来歴を“強制連行”と呼ぶことは、日本人に必要以上の贖罪意識を持たせ、こういった付け込まれる人がでてくることに加担するわけです』と単純化。
貴方が挙げた「贖罪意識とそれに付けこまれる事例」も『100ケースあれば100ケース』の幾つかに過ぎないのでは?
※72
・・・「今はダメでも昔の事なら良いんですか?」
そんな話をしているのです。「強制連行」と呼ぶのが適切か?ではありません。
※77『今は同じ日本人が奴隷化されるのを見ていられない・・・・』
成程、危機意識をお持ちなんですね。それ勿論アメリカにも向けてますよね。
『別に朝鮮人に贖罪意識を抱こうが、奴隷化されようが、金銭をむしり取られようが、一生土下座し続けようが自由ですので好きにやって下さい』
・・・俺のコメントから、そんな人物像を想像というか妄想したんですか。
『なんなら、日本民族の罪責を負って白頭山の頂上で磔になってはいかがでしょうか?きっと伝説になりますよ!』
・・・失礼ながら笑っちゃいました。
贖罪意識抱いた日本人が奴隷化されるのを阻止するために頑張って下さい。
勿論、こんなネットに書き込むだけではなく実際に活動されていると思います。
なんなら統一教会や韓国系プロテスタント団体に乗り込んで直接意見申し立てをされてはいかがでしょうか?
きっと伝説になりますよ!
①「強制連行」はあったが、あくまで「現在の在日コリアンの来歴」は強制連行が理由でない人がほとんど。
②「強制連行」自体なかった、もしくはほとんどなかった。
※6の「今現在も強制連行を主張する下記のようなキチガイが存在する」という発言を見ると②を主張しているように見えるし、他のコメントを見ると①のようにも見える。
どっちですか?
>52
>本当は経済的理由や留学、その他自分の意志で来た人が大半なのに、多くがあたかも>物理的強制を伴う形で連行されてきたかのような言い方
で、現在、具体的にどの様な人々がそれを主張しているの?
それは、この種の問題を社会的に解決しようとしている人達の間でどう受け止められているの?
>64
>少なからずは強制連行されたような言い方をしている人については、上記で既に実例を挙げています。
と、言うけど、この人たちのコメントが世論を動かしたり、この問題に対して大きな影響を与えていると言う具体的証拠でもあるの?
>在日コリアンの来歴について、歴史的事実を知った上でどのような意見を持つか
で、貴方の意見は何?
歴史的事実とは具体的に?
>77
>日本人が奴隷化される
どうやって奴隷化するの?
NetrightHunterさんや、管理人の人は在日の指令で動くロボットか何かなの?
こんな小さなブログにまでいちいち干渉する程、彼等は莫大なリソースを持っているの?
大体、そんな事する理由は何?
正直私は、貴方が何をしたいのか良くわからない。
強制連行の実態を証明したいの?
だったら図書館等でそれらの書籍を調べたりしたの?
それとも在日コリアンの人々に何をして欲しいの?
動画とか「朝鮮高校の青春」(金漢一著、光文社)と言った書籍を上げているけど、
この人々や、その行為が現在の在日の過半の人々にとって肯定的に受け止められているとか言いたいの?
だとしらら、どうやって確認したの?
金漢一氏の著書の貴方の要約を見ても私は「高校生だから、馬鹿な事、言ってたんだね」と言う感想しか出ないけど?
日本人が同じ立場になった、同様の行いはしないと言う客観的な証拠でも得ているの?
現代社会でも「世の中が悪い」と称して凄惨な事件を犯し、その行為を正当化しようとする犯罪者が居るでしょ。
彼等は朝鮮人だとでも言いたいの?
表面上は同じ「在日コリアンの強制連行」について話してるみたいに見えるけど、NetrightHunter氏は「強制連行をどう捉えるか」という話をしていて、岩盤浴氏は「在日コリアンをどう捉えるか」って話をしてるように見える。それで話がかみ合ってないんじゃない?
「在日コリアンの大半は強制連行の被害者とその子孫ではない」という内容に対し、NetrightHunter氏は「強制連行」をどう捉えるかって話をしているから、
「在日コリアンは強制連行被害者の子孫じゃないから何だ! 強制連行は問題ないとでも言うつもりか!」
という反応になってて、
岩盤浴氏は「在日コリアン」をどう捉えるかって話をしているから
「在日コリアンを強制連行被害者として扱うのは間違いだ! 強制連行と在日コリアンは関係ない!」
と言っているように思える。
僕の理解が間違ってたらごめん。
まあ、いずれにしても、歴史問題で韓国人から私個人に謝罪を求められたら、断固拒否しますよ。歴史問題の当事者でもないのに、日本人だというだけで謝罪を求められるいわれはないので。
>>ひょっとしたらあったのかなあと。
ひょっとしたらじゃなくても、徴兵・徴用はもちろんありましたよ。朝鮮での徴用は1944年9月から1945年8月までの約1年行われています。ひょっとしなくても、これ自体は疑いをはさむ余地がない事実ですよ。
「日韓併合で搾取されたのは日本だ」という主張の人は「徴用は好待遇だった! 強制労働などではない!」と言ってるみたいですが、戦争で食うにも困る時期、日本人の徴用者の待遇が悪いのに、朝鮮人に対する扱いが好待遇だったなんて、私には信じられませんけどね。
>>歴史問題で韓国人から私個人に謝罪を求められたら、断固拒否しますよ。歴史問題の当事者でもないのに、日本人だというだけで謝罪を求められるいわれはないので。
いや、そりゃそうだ…。
そもそも国民個人に謝罪を求めてくる韓国人がいるかどうか疑問ですが(いたとしても、そいつは韓国の中の特別なアホだと思う)、多分、NetrightHunter氏も含め、歴史問題で個人的に謝罪を求められて謝罪する奴は、すくなくともこのブログのコメント欄にはいないと思いますよ…。
>77
>日本人が奴隷化される
「どうやって奴隷化するの?
NetrightHunterさんや、管理人の人は在日の指令で動くロボットか何かなの?
こんな小さなブログにまでいちいち干渉する程、彼等は莫大なリソースを持っているの?
大体、そんな事する理由は何?」
などと書いてますが、”日本人の奴隷化”ってのは韓国系プロテスタントや韓国系カルト内部での話をしています。こういう質問する時点で、話の流れを理解してないってのが分かってしまいますね。私もあなたの質問に1から10まで答える程暇じゃないんで、そこんとこ宜しくお願いします。
「比喩的表現」もありますよね。
感情的になって「拉致」という強い言葉を使ってもおかしくないでしょう。
⇒ただの市井の在日韓国人がこういうことを酔っぱらっていう程度なら、別に目くじら立てる話でもないです。でも、辛淑玉があの発言をしていたのは「噂の真相」のような便所雑誌ではなく、「朝日ジャーナル」誌上です。しかも1988年という時代背景を考えると、まだインターネットが一般開放されておらず、パソコン通信は一部の人の趣味だった時代で、雑誌に執筆できる言論人の発信力が今よりも圧倒的に強い時代です。一般人が自分の意見を自由に公表する手段がほとんどない時代でした。あの時代にいまの在日の来歴が”拉致”のように語るのは、人々に歪んだ認識を植え付けるという意味で非常に罪深いといえるでしょう。
※73 『単純化は大事です』
・・・矛盾してますね。 ⇒別に矛盾していません。物事を捉えるには、ある時はマクロに俯瞰して、ある時はミクロに集中して見る必要があります。両方必要です。
※72
・・・「今はダメでも昔の事なら良いんですか?」
そんな話をしているのです。「強制連行」と呼ぶのが適切か?ではありません。
⇒話の流れ
①岩『”かつて日本が悪いことしたんだから、日本の悪事は多少盛って語ってもいいい”というような態度は間違ってますよ。』
②N ・・・・具体例をあげてほしい
③岩 在日コリアンの来歴は様々。経済的事情や人間関係のしがらみで人が意に沿わない行動を余儀なくされることは現代の日本でもよくある。そういうのを全部ひっくるめて”強制連行”と呼ぶことこそ、典型的な”日本の悪事を盛った”事例。
成程、危機意識をお持ちなんですね。それ勿論アメリカにも向けてますよね。
⇒当たり前です。
『なんなら、日本民族の罪責を負って白頭山の頂上で磔になってはいかがでしょうか?きっと伝説になりますよ!』
・・・失礼ながら笑っちゃいました。
⇒笑ってくれてありがとうございます。軽い冗談です。
「知り合ってもう四十年近くなるが、初対面の時から、帝国日本への憎しみを私にたたきつけた。気がついたら私は土下座して、泣いてあやまっていた。「日本人は皆知らなすぎます。日本人は皆、僕に泣いてあやまります。」私は戦後日本の教育を受けた人間だから、日教組の教師たちに日本は悪道ザンギャクな国であると教えられ、愛国心すなわち軍国主義と思わされてきた。日の丸も君が代も愛してはいけなかったらしかった。それでも卒業式には日の丸もあり君が代もうたったのである。いつかその韓国の友人と道を歩きながら「かーらーす、なぜ泣くの・・・・」とうたったら友人は激怒した。「何ていう無神経です。僕が子供の時、どんな思いで日本の歌をうたわされたかわかっているんですか。」私は呆然とした。私はうなだれるより外なかった。 」 中略
「そして二、三年前又彼が日本に来た。又坐るなり、「この日本・・・」。その時私の右脳のてっぺんがプチッと音をたてた。三十六年がたっていた。オウそうかい。私だって三十六年あんたの圧制に耐えて来たよ。もう結構だ。一生うらめ、気のすむまでうらめ、うらんで一体何が生まれるのだ。帝国日本も知らないで育った私に過去のザンギャクヒドウを一人でしょえと云うのか。
一体どうしろって云うんだ。私はもう二度とあんたとは会いたくない。」
(引用終わり)
こういう韓国人も現実にいたわけです。
大学時代、同じ研究室に韓国人留学生が多数いたので、私も人並み以上に韓国人との付き合いはありましたが、酔った勢いで日帝の罪を糾弾されたこともありました。
90年代以前は、日本人とのビジネスのトラブルだとか交渉において、突然“日帝36年”を持ち出して日本人に譲歩をせまることなんかもよくありましたね。
まあ、只の日本人に歴史問題でからむ韓国人ってのは、管理人氏が想像するよりは多いと思いますよ。
『人々に歪んだ認識を植え付けるという意味で非常に罪深いといえるでしょう』
・・・その発言掲載された時、朝日ジャーナルってダメダメ末期状態。
影響力あったか疑問です。
で、実際『人々に歪んだ認識』植え付けたんですか?
※87
単純化も程度問題です。
貴方は単純化しすぎ。
※77
『在日コリアンの来歴を“強制連行”と呼ぶことは、日本人に必要以上の贖罪意識を持たせ、こういった付け込まれる人がでてくることに加担するわけです。』
・・・単純化1 在日コリアンの来歴を“強制連行”と呼ぶことと贖罪意識の因果関係。
ちなみに貴方にならって辞書の定義を挙げると『贖罪とは善行を積んだり金品を出したりするなどの実際の行動によって、自分の犯した罪や過失を償うこと』(デジタル大辞泉)
とりあえず俺的には、そんな意識ゼロです。
単純化2 贖罪意識に付け込まれる
そんなケースがないとは言いませんけど『強制連行を認める→贖罪意識が生まれる→そこに付け込まれる』
これは度を超えた単純化です
しかも、単純化3
※77『別に朝鮮人に贖罪意識を抱こうが、奴隷化されようが、金銭をむしり取られようが、一生土下座し続けようが自由ですので好きにやって下さい』
・・・これ、はっきり言って1ビット脳の思考様式ですよ。
で※77『日本民族の罪責を負って白頭山の頂上で磔になってはいかがでしょうか?きっと伝説になりますよ!』
※88『笑ってくれてありがとうございます。軽い冗談です。』
・・・笑ったと言っても「ありゃりゃ、そっち逝っちゃったか」という冷笑、嗤笑ですよ。
※87
貴方の※64『現代の日本でもよくあります』
これに対し「今はダメでも昔の事なら良いんですか?」
そうお尋ねしてる流れですよ。
一人の昔話
貴方の個人的経験(これも昔話)
この二つを論拠にして、今の韓国人の事を推測されても・・・
韓国にも嫌日の人がいて、そういう人に出会うと辟易とする。
同じように日本の嫌韓の人に出くわしてしまうと韓国の人達も相当嫌な思いをするだろうな。と
89番のコメントの韓国人の姿は、そのまま、ネトウヨの姿じゃないですか。
にほんブログ村 政治 ブログランキング
コメントする