はじめに
Pythonには抽象構文木を扱うastというモジュールがある。これを使って抽象構文木を可視化してみる。
スクリプト
parse.py
import ast
import sys
from graphviz import Digraph
def visit(node, nodes, pindex, g):
name = str(type(node).__name__)
index = len(nodes)
nodes.append(index)
g.node(str(index), name)
if index != pindex:
g.edge(str(index), str(pindex))
for n in ast.iter_child_nodes(node):
visit(n, nodes, index, g)
filename = sys.argv[0]
if len(sys.argv) > 1:
filename = sys.argv[1]
with open(filename) as f:
graph = Digraph(format="png")
tree = ast.parse(f.read())
visit(tree, [], 0, graph)
graph.render("test")
実行
例えばこんなファイルを食わせる。
test.py
def func(a, b):
return a + b
def func2(a):
print(a)
print("Hello")
$ python parse.py test.py
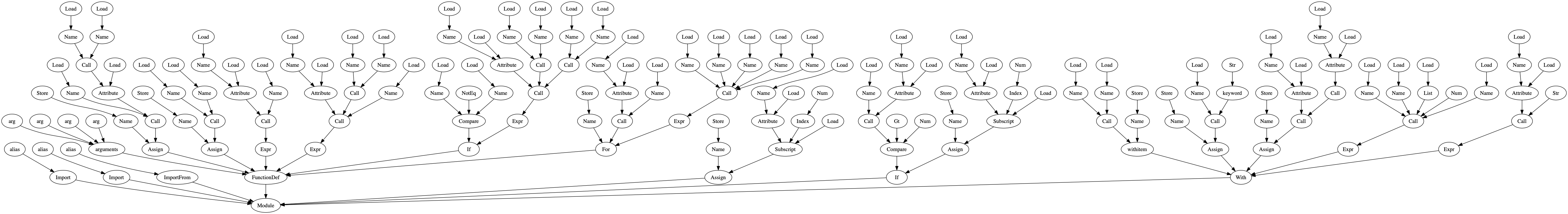
すると、こんな構文木が得られる。
ちなみに引数を指定しないと自分自身をパースする。
$ python parse.py
得られる結果はこんな感じ。
動作原理
基本的にはast.parseで得られた木から再帰的にたどっていくだけ。ast.iter_child_nodes(node)でnodeにぶら下がるノードのイテレータが得られるので、それに対してforを回す。
Graphivzのノードのキャプションはtype(node).__name__としたが、そのままg.edgeでつないでしまうと同じ名前が同じノードとみなされてしまうので、一工夫が必要。
そこで、ノードをリストに追加することで、それぞれに一意な通し番号をふる。
name = str(type(node).__name__)
index = len(nodes)
nodes.append(index)
g.node(str(index), name)
で、この通し番号をGraphvizのノード番号として、繋げば良い。
g.edge(str(index), str(pindex))
最初は、オブジェクトをリストではなくハッシュに登録してたんだけど、抽象構文オブジェクト、例えばast.Loadはなぜか同じオブジェクトが使い回されているようで、同じノードとみなされてしまう。上記のように一意な通し番号を振れば大丈夫。

