<link href='https://www.blogger.com/dyn-css/authorization.css?targetBlogID=4282312162882128323&amp;zx=e3cda002-a3f8-44a0-b941-78f4f5531e35' rel='stylesheet'/>

2011年12月21日水曜日

固有振動数と固有値の関係

連結されたばねの固有振動数を求める問題をやっていて気付いた関係について.(間違っている可能性もあるので注意.)

今回は自由度2について議論するけど,自由度nについても同様にできる.


ふたつの球がばねに連結されている状況を考える.(図描くのが面倒なので運動方程式から想像してみてください.)
運動方程式は




より


とかける.この行列をAとおく.


共振時二つの球は時間的に同一の運動を行うので



とかける.これを上の微分方程式に代入すれば


移項して



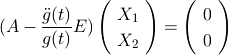
g(t)で両辺割って,



が(0,0)以外の解を持つ条件は



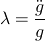
である.ここで行列Aの固有値をλとすると


とかけることがわかるので,


であり,固有値λに対して

とかける,g(t)は振動しなければいけないので固有振動数をωとすれば



とわかる.
つまり固有値を求めることは固有振動数を求めることに対応する.
連立運動方程式を連立微分方程式の形に直して,その係数行列の固有値を求めることによって,固有振動数がわかる.
符号に注意.
a=-Ax
と行列にマイナス符号つけちゃえば,Aの固有値=固有振動数の2乗になる.


0 件のコメント:

コメントを投稿