7/06/2016

ダイエットでは夜に炭水化物を集中的に食べよう

Greater Weight Loss and Hormonal Changes After 6 Months Diet With Carbohydrates Eaten Mostly at Dinner
http://onlinelibrary.wiley.com/doi/10.1038/oby.2011.48/full

夜に集中的に炭水化物を食べるダイエットと、朝昼晩に分散させて炭水化物を食べるダイエットを比較した研究。


★背景
レプチンは食欲に影響をおよぼす。一般的には日中に低くなり、夕方から夜にかけて高くなり、午前1時にピークをつける。ラマダン中のムスリムはこのパターンが変わることが過去の研究で示されている。また、炭水化物を食べてから6-8時間後にレプチンレベルの上昇が始まることが示されている。夜に炭水化物をたくさん食べることで翌朝からレプチンレベルの上昇が始まれば、日中にレプチンレベルを高く保つことができ、空腹感を抑えてダイエットを成功させやすくするのではないか。


★被験者
年齢25-55歳 BMI>30 平均体重は90kg台 持病なし 職業は全員がイスラエルの警官
スタート時78名 完走63名
実験グループ30名
コントロールグループ33名


★方法
期間6ヶ月

・食事
1日のトータルカロリーとマクロ栄養素のバランスは両グループで同じ
- 1日1300-1500kcal
- タンパク質20%、脂質30-35%、炭水化物45-50%
- はっきり書かれていないけど栄養士の指導を受け自分で用意だと思う
- 実験グループは、夜に大部分の炭水化物を摂取
- コントロールグループは、一日を通して炭水化物を摂取


・身体測定
- 体重、体脂肪率、腹囲

・空腹感満腹感評価
1-10の10段階。数字が大きいほど満たされている。8時、12時、16時、20時、それぞれ食事前に調査票に記入。

・血液検査
- インスリンや血糖や中性脂肪やコレステロールなどメタボ関連指標
- 炎症マーカー
- レプチンとアディポネクチン


★結果
・身体測定
- 夜に大部分の炭水化物を摂取した実験グループの方が、体重が大きく減った(ただし実験グループの方が平均体重が重い)。
- BMI、腹囲、体脂肪率は実験グループの方が減る傾向にあった(有意差は無し)


 ・空腹感満腹感
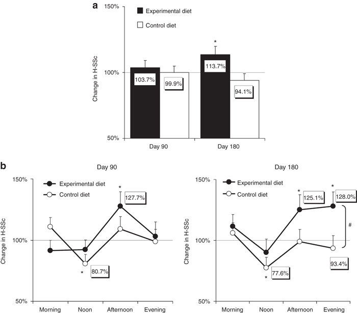
- 一日を通して炭水化物を摂取したコントロールグループは、より空腹感を感じ満腹感が低かった。特に12時の調査で強い空腹感を感じた。
- 実験グループでは日中のレプチンレベルの低下が抑えられたことが、日中の空腹感の抑制につながったと考えられる。


・血液検査
- インスリンとグルコースは実験グループの方が改善
- 中性脂肪とコレステロールは同程度。HDLは実験グループの方が良い。
- 炎症マーカーは実験グループの方が良い結果

・ホルモン
- 日中レプチンは実験グループの方が減少率が小さい傾向(有意差なし)
- 日中アディポネクチンは実験グループの方が高い。
※アディポネクチンは、脂質と炭水化物の代謝に関わり、血中の糖と脂質を減らし、インスリン感受性を改善し、抗炎症作用がある。肥満の人においては、一日を通してアディポネクチンレベルは低い。普通の体脂肪率の人や減量をしている肥満の人はアディポネクチンレベルが上昇し、昼間にピークをつけるようになる。アディポネクチンレベルが高いほうが健康に良いと考えられる。



☆コメント
90kg台の体重でそれなりの活動量がありそうな職業なので、1300-1500kcalの食事なら一日のカロリー不足は1000kcalを越えるだろう。1ヶ月に4kgは減るはず。ダイエットを続けるにつれて消費カロリーが低下するとしても、中盤以降でも1ヶ月に2kgは減っていくはず。半年で10kg前後しか減っていないのは、カロリー摂取量については厳格には守れていなかったためだと思われる。従ってこの研究は、炭水化物を食べる時間帯によって代謝上の有利不利があるかではなくて、「夜に集中的に炭水化物を食べるというざっくりとしたガイドラインに沿ったダイエットをするとどうなるか」というものになる。夜に炭水化物を集中的に食べたほうが日中の空腹感を抑制でき、食事量を抑えやすかったのだろう。

体重減少に占める体脂肪と除脂肪体重の割合を計算すると、

- 実験グループ 体脂肪91.8% 除脂肪体重8.2%
- コントロールグループ 体脂肪83.7% 除脂肪体重16.3%

実験グループの方が除脂肪体重の減少が抑えられ、体脂肪が多く減った。体脂肪率の測定は常に誤差問題がつきまとうが、腹囲の減少も実験グループの方が大きい傾向があるので、夜に炭水化物を集中的に食べたほうがより良い結果が出ていると考えられる。

除脂肪体重の減少が抑えられた要因としては、おそらく夕食に炭水化物を多く食べることで、食事間隔が空いている間でも筋肉の分解が起きにくかったのだろう。夕食から翌朝の朝食までの食事間隔が最も大きい。肝グリコーゲンが少なくなると、脳へのグルコース供給のためにアミノ酸からグルコースへの転換が活発に行われるようになる。外部からアミノ酸の供給が無ければ、自分の体内のタンパク質(主に骨格筋)を分解してアミノ酸を調達し、グルコースを作り出す。詳しくは、食事回数と量の配分の[アンダーカロリー]の項目に。

他の研究でも、夜にたくさん食べた方が体脂肪の減少が大きく除脂肪体重の減少が小さいという結果が出ている。この研究は食事が厳格に管理されているのは良いけど、被験者数が10名と少なく体組成の計測があまり正確でない方法ないのが弱点。

インスリンや血糖は起きている間だけ測定しているので食事パターンの影響がありそうだが、炎症マーカーでも良い結果が出ているので、健康にも良い影響がありそう。

日中のレプチンレベルの低下が抑えられているのは、分泌パターンが変わったからだと思う。しかし、仮に24時間のレプチンレベルの低下が抑えられているとしたら、減量に伴う消費カロリーの低下も抑えられている可能性がある。


栄養素の貯蔵と引き出しでも書いたように、どの時間帯に食べようが、トータルのカロリー収支のマイナス分の体重が減っていく。体重の減少は体脂肪の減少と除脂肪体重の減少によって起こる。体脂肪を減らし、除脂肪体重は減らさないのが良いダイエット。

ダイエットで夜に炭水化物を集中的に食べることのメリットは、
- 除脂肪体重が減りにくい。
- 昼間に空腹感を感じにくい。
- 満たされた状態で床に就けるのでぐっすり眠れる。睡眠不足だと太りやすい。
- 家族や友人や同僚と同じ夕食を食べることができる。

最近は糖質制限が流行っていて、特に夕食で糖質カットするやり方をしているのを見かけるけど、これは逆効果だから止めたほうが良いですね。

強度の高いウェイトトレーニングを組み合わせるケースでは、夜にウェイトトレーニングをするならそのままトレーニング後に炭水化物をたくさん食べるのが良い。朝や昼にトレーニングをする場合は、トレーニング後の炭水化物摂取を優先し、夕食など次の食事まで間隔が空く食事では消化吸収の遅いタンパク質を多めに摂取するのが良いと思う。

0 件のコメント:

コメントを投稿