今回は前2回のブログをまとめたような総説を紹介したい。この総説には、統合失調症の発病に絡んでくる灰白質の変化、白質の変化、グルタミン酸神経伝達システム、炎症、認知機能障害、などの内容がコンパクトにまとめられている。このR S Kahnらの総説を読めば、統合失調症の発病に関するメカニズムや、初発時における治療に対する新しい考え方を理解することができるはずである。非常に長い総説であるが、最後まで読んで頂きたい。
統合失調症の初発エピソードに対する神経生物学所見と治療
「The neurobiology and treatment of first-episode schizophrenia」
抄録
統合失調症(SZ)では、疾患の根底にある生物学的プロセスが長年にわたり持続している証拠がある。統合失調症では、健常者比較して、平均頭蓋内容積(mean intracranial volume、ICV)は診断時に既に減少していることが示されている。ICVは、約13歳で最大のサイズに達するが、統合失調症では脳の発達がその年齢の前から障害を受けていることを示唆している。ICVの減少は灰白質や白質における容積の減少によるものである。SZと診断された後に、白質の損失は進行したり変化していくことはなく、疾患の過程で改善することも可能であると考えられているが、それに対して、灰白質の損失は停止することはなく進行性であると考えられている。
(注; 前回紹介したように、白質に関しても高脂血症などが加われば白質の障害は進行していく可能性がある。)
(注; 前回紹介したように、白質に関しても高脂血症などが加われば白質の障害は進行していく可能性がある。)
統合失調症の第一段階における脳の変化の原因を理解するためには、治療に関する研究や死後脳や神経画像研究が動物実験と総合的に参照される必要がある。これらのデータからは、統合失調症の病態生理は多因子性であることが示唆される。線条体におけるドーパミン合成の増加がSZと診断を受ける前から既に存在する証拠があり、精神病症状が発症した期間にさらに増加する。そして、NMDA受容体の機能低下や脳の炎症(軽度のレベルだが)などの他の異常に起因して認知機能障害や陰性症状が生じる。
この2つの機能障害(NMDA受容体の機能低下と炎症)は、おそらくドーパミン合成の増加に先立って存在しており、認知機能障害や社会的機能不全がかなり早い時期から存在することを反映している。抗精神病薬によるドーパミン伝達過剰状態(hyperdopaminergic state)の修正が初発エピソードの精神病にある患者に対しては一般的に有効であるが、NMDA受容体機能低下や炎症を打ち消そうとするような処置の効果は、(これまでのところは)かなり小さい。むしろ、こういったNMDA受容体や炎症に対する介入は精神病の発症時よりも、認知機能及び社会的機能不全の発症時(統合失調症として診断されるような症状が出る前)に適用された場合の方が改善効率が期待できるであろう。
はじめに
Introduction
統合失調症の症状はそれ自体はいつから現れているのであろうか。それは最初に精神病症状を発症した時であろうか。それは、精神病状態へのリスクがある(ARMS)と呼ばれるような患者のグループのように、精神病の最初の兆候は存在するのだろうか。それとも、それ以前から存在し、精神病とは第一次的な関連はなく、認知機能の低下と関連するのだろうか。これらの質問に関しては、統合失調症の初発時のエピソード(FEP)における生物学な解明に取り組むことが必要不可欠である。なぜならばそれ自体が統合失調症自体の概念の中核をなすからである。
我々は、統合失調症の最初の兆候が既に思春期の早期から生じており、それは(相対的な)認知機能の低下だと主張してきた。認知機能の低下は、何年も後に生じるのではなく、ARMSの間に既に発生しており、初発時の精神病の間により明白となる。
しかし、病気の発症を定義するために成される生物学的な研究は、統合失調症の初期の段階の精神病症状ばかりに焦点が当てられているのが現状であり、統合失調症の中核となるものが大きく誤解されたままになっている。我々は、初発のエピソードの統合失調症は、認知機能の低下が疾患の中核であり、認知機能の低下はエピソード的に生じるのではないと主張したい。
初発時の精神病における脳の変化
Brain changes at the time of first psychosis
統合失調症を有する患者にいったん精神病症状が存在していれば、疾患の根底にある生物学的プロセスが既に長年にわたって継続していることは明らかである。この結論は、我々が最近行った発病間もない18000名以上(771名の未投薬の患者を含む)もの患者の神経画像研究のメタアナリシスから得られた結論である。
これらのデータは、統合失調症患者(慢性、発病間もない、薬剤にナイーブ)における数値としては小さいものの有意な頭蓋内容積の減少を示している。頭蓋内の容積は脳の成長による結果であり、頭蓋骨の拡大を伴う脳の増大である。脳の成長は、およそ13歳で最大のサイズに到達する。したがって、統合失調症では脳の発達は13歳の前に妨げられていないといけないことになる。
同じメタ解析からは、13歳を過ぎた以降は、脳の損失や持続する異常な発達がなければならないことになる。薬剤にナイーブな患者における全脳の容積の減少は、大きく減少しており(エフェクトサイズ0.4)、頭蓋の容積の減少よりも大きな減少であり、白質と灰白質の双方の減少によるものである。
重要なことは、灰白質の損失は薬物治療ナイーブ患者よりも慢性患者の方が大きいが(灰白質の損失は進行性である)、白質容積に関してはFEPも慢性期も双方とも同程度に減少することである。実際に、縦断的研究では、白質の容積の損失は、精神病が発病した後には進行しないことが示されている(ただし、異方性比率などのサイズ以外の白質の中身の内容は変化していく可能性はある)。
これは、統合失調症における白質容積の減少は、疾患そのものによる影響よりも、疾患関連遺伝子(遺伝的な要因)のリスクの方に大きく関連しているという双生児研究における知見と一致している(逆に、灰白質は炎症などの環境要因の方に大きく影響される)。
一方、これとは対照的に、灰白質の容積の損失(主に皮質の厚さの減少として表される)は、精神病が発病した後にも進行し、疾患の帰結、大麻の使用(薬物の使用)、喫煙、精神病状態の再発などに関連している。
それ故、統合失調症における脳の異常のいくつかは、精神病の発病後にも進行していくが、脳の発達異常は初発時の前から長く継続的にされていたと言えよう。
精神病の初発時に存在している白質と灰白質の変化の本質は何であろうか。我々や他の研究者達は、未投薬の統合失調症患者の白質のトラクト解析を用いて、鉤状束(Uncinate fasciculus)や弓状束(Arcuate fasciculus)における健常者との違いを発見したが、その所見は軸索やグリア細胞へのダメージと自由水濃度の増加を示唆している。
(注: 余談になるが、弓状束は言語に関するブローカ中枢とウェルニッケ中枢という2つの重要な領域をつなぐ白質束である。この接続が障害されると伝導性失語などを生じ言語によるコミュニケーションに支障をきたすことになる。自閉症を患いながらも絵本などの創作活動を行っている東田直樹さんの姿がNHKで放送されていたが、彼はfMRI検査で弓状束の障害があることが見つかっている。アルファベットを書いたボードでローマ字を駆使しながら会話する彼の姿をTVで見たが、自閉症を超越した姿に思え感動的であった。統合失調症のコミュニケーションの障害や幻聴なども弓状束が関係しているのかもしれない。)
http://ryoiku.mamagoto.com/%E6%9C%AA%E9%81%B8%E6%8A%9E/kimigabokunomusukoni
未投薬の初発エピソードにある精神病患者(FEP)では、異方性比率(fractional anisotropy、FA値)は低下していたが、これは白質の線維密度や髄鞘形成度合を反映しており、認知機能障害に関連していた。さらに、FEP患者におけるFA値の大きな減少は、抗精神病薬治療に対する反応性の乏しさを予測する因子だと思われた。
白質のFA値の低下は脳全体に認められるのではなく、鉤状束や弓状束のような白質と関連する線維で著明であり、灰白質の変化も脳全体に一様に認められるものではない。
FEP患者における最も顕著な灰白質の減少が前頭葉や側頭葉領域(島皮質、上側頭回、前帯状回を含む)で見出されている。
殆どのFEPの縦断的な研究では(しかし全てのFEPのケースでもないが)、灰白質の損失は持続することが示唆されており、前頭葉や側頭葉の領域で最も顕著であり、その所見は皮質の薄層化であり(表面の縮小ではない)、臨床的帰結(予後)や認知機能の帰結と関連している。
(注; 例えば、薄層化と関連する所見として、前頭前皮質における樹状突起dendritesや棘spinesの減少=シナプスの減少が見出されている。)
FEP後の白質の変化を調べた研究はごくわずかしかない。最近の2つの研究では相反する結果となっているが、その1の研究つでは抗精神病薬の治療によってFEP患者における白質の改善が示され、もう1つでは白質の異常は抗精神病薬の治療によってさらに悪化していた。
死後脳の調査では、白質のFA値の減少は上側前頭葉皮質や両側の海馬におけるオリゴデンドロサイトの減少と関連しており、この所見は統合失調症の白質障害の根底にはオリゴデンドロサイトの機能障害が存在することを示唆している。
考えられうる脳の変化の原因と影響
Possible causes and effects of the brain changes
統合失調症の第一段階における脳の変化の原因を解明するためには、治療研究、死後脳研究、神経画像研究、動物実験からの証拠を統合する必要がある。
これらの研究からは、統合失調症は、少なくとも3つの病態生理学的メカニズムの相互作用に関連していることが示唆される。すなわち、(1)ドーパミンの調節不全、(2)グルタミン酸作動性神経伝達の障害、(3)脳の炎症状態の増大である。これらの3つのプロセスは、互いに相互作用し、病因として最も強く相互に関連している。
ドーパミン調節不全
Dopamine dysregulation
1950年代にクロールプロマジンの抗精神病薬としての特性が発見されて以来、線条体におけるドーパミン(DA)のターンオーバーの上昇は、統合失調症の発症メカニズムとして受け入れらてきた。
初期の研究ではシナプス後部のドーパミン(DA)受容体に焦点が当てられていたが、トレーサーとして(18)F-DOPAを用いた最近のPETによる研究では、ドーパミン機能障害の主な局在部位はシナプス後部よりもむしろシナプス前部であることが示されており、ドーパミンの合成や放出能が増大していることを特徴とする。
増加した(18)F-DOPA結合能力はARMSでは既に存在しており、精神病へと完全に進展していくことが予測できることが見出されている(表1A。 ARMSにおけるドーパミンの歪みの概要)。さらに、未投薬のFEPの統合失調症患者では、線条体のドーパミン合成の増加が一貫して報告されている(表1B)。
(表1A)
(表1B)
線条体のドーパミン合成の増加は精神病症状を発現する最終的な共通経路かもしれないが、認知機能の症状との関連性はあまり明確ではない。
マウスのモデルでは、線条体のシナプス後部のドーパミン受容体の増加は、いくつかのドメインにおける認知機能障害を誘発する可能性があるが、この所見は人においてはまだ検証はなされていない。
(注; 補足しておくと、慶応大学が既に第二世代の抗精神病薬による認知機能障害に関する研究論文を2013年度に発表している。)
http://www.ncbi.nlm.nih.gov/pmc/articles/PMC3756793/
http://www.ncbi.nlm.nih.gov/pmc/articles/PMC3756793/
N-メチル-D-アスパラギン酸受容体の機能低下
N-methyl-D-aspartate receptor hypofunction
統合失調症における認知機能障害のいくつかは、実際に、異なる神経伝達物質の複合体、すなわち、N-メチル-D-アスパラギン酸受容体(NMDAr)/グルタミン酸システムに関連している可能性がある。
NMDA受容体は、皮質にける一次および二次的なグルタミン酸作動性ニューロンの間に位置し、統合失調症では障害されている。NMDA受容体の機能不全は、γ-アミノbuteric-酪酸(GABA)作動性介在ニューロンの作用を低下させる。
その結果、GABA作動性介在ニューロンの発火が低下し、GABA作動性介在ニューロンによる二次的なグルタミン酸作動性ニューロンの抑制が不十分となり、二次的なグルタミン酸作動性ニューロンの発火を高め、グルタミン酸作動性ニューロンの同調性が低下し、直接的に大脳辺縁系経路におけるドーパミンニューロンの過剰な発火を引き起こす。
この仮説はNMDA受容体へのアンタゴニストを用いた研究に基づいているが、NMDA受容体へのアンタゴニストであるケタミンやフェンサイクリジンは、精神病症状、陰性症状、認知機能障害といった統合失調症の症状を完全に誘発することが見出されている。
さらに、NMDA受容体への抗体を産生する自己免疫性脳炎の患者では、統合失調症と区別できないような臨床症状を有する。
そして、DISC-1、dysbindin、SHANK、NRG-1などのリスク遺伝子の多くや、統合失調症に関連する遺伝子のde novo変異は、グルタミン酸作動性の神経伝達に影響を与える。
NMDA受容体は、脳の発達の間におけるシナプスの可塑性、すなわち、学習や記憶などの高次の認知機能の適切な発達の基礎という重要な役割を担う。
NMDA受容体は、1つの不変性NR1と2つの可変性NR2サブユニットとのヘテロ四量体構造(hetero-tetrameric structure)を持ち、サブユニットの組み合わせが生物物理学的および薬理学的特性を決定する。
(NMDA受容体について)
http://ja.wikipedia.org/wiki/NMDA%E5%9E%8B%E3%82%B0%E3%83%AB%E3%82%BF%E3%83%9F%E3%83%B3%E9%85%B8%E5%8F%97%E5%AE%B9%E4%BD%93
脳が発達する間に、この受容体のサブユニットの構成は変化し、いくつかのサブユニットは構造的に異なるサブユニットで置換される。成熟した受容体の構成は異なる生理学的性質を有し、適切な神経の発火にとってより安定した状態を担保し、それによって環境刺激を迅速に統合することを可能にする。
NMDA受容体がスイッチするタイミングは脳領域ごとに異なっており、統合失調症のリスクの窓(risk windows)がタイミングによっては生じることになる。神経が発達している段階では統合失調症のリスクの窓が開いており、特に、低酸素症、出生時ストレス、感染症、炎症、薬物乱用、社会的孤立などの環境の影響に対して脆弱となる。
特に、妊娠中は、胎児のNMDA受容体レベルは上昇しており、そのため胎児の脳は損傷を受けやすい状態となっている。
多くは仮説の段階ではあるが、統合失調症のリスクファクターとなる環境要因は、特定の脳の領域におけるNMDA受容体の適切なスイッチングを遅延させたり妨害することで脳に影響を与え、不完全な受容体のスイッチが、統合失調症の初期の段階における認知機能低下に関連している可能性があると考えられれている。
NMDA受容体の成熟したサブプロフィールの表現型が不完全になると、頻回に使用される接続が強化され、逆に、めったに使用さない接続は弱体化されてしまうため、LTDとLTP(長期抑圧と長期増強long-term depression and potentiation)のプロセスが損なわれてしまう可能性がある。
思春期では、剪定(pruning)というプロセスにて弱い接続が除去される。LTDとLTPが欠如した時には、めったに使用されない接続から頻回に使用される接続までへの分化の失敗に帰結することになり、剪定というプロセスはあまり必要でない接続と同様に重要な接続をも除去してしまうようなランダム(無秩序)なプロセスになってしまうのかもしれない。
グルタミン酸作動性ニューロンの下流では、NMDA受容体の機能低下が抑制性GABA作動性介在ニューロンの機能低下につながる。これらのGABA作動性介在ニューロンの速いスパイクの減少は錐体細胞のニューロンの発火の同期性を阻害する。同期性が減少した神経活動は認知機能のプロセスの障害につながる。
死後脳の研究では、GABA作動性介在ニューロン、すなわち、パルブアルブミン含有シャンデリア細胞の集団が統合失調症の患者では減少することが一貫して示されている。そして、GABA作動性神経伝達に関わる酵素、例えば、グルタミン酸脱炭酸酵素(GAD)67やGABAトランスポーター(GAT)1は統合失調症患者では減少することも一貫して報告されている(下のレビューを参照)。
一方、前頭前皮質や海馬における発達と成熟は、GAD25からGAD67へ、NKCC1からKCC2へといったの遺伝子発現の転換が特徴的であることが観察されている。GAD25からGAD67への転換はGABA合成へと導かれ、NKCC1からKCC2への転換は興奮性神経伝達から抑制性神経伝達への切り替えへと導かれる。大規模な死後脳の調査結果(コントロール240名と統合失調症患者31名)では、海馬では、GAD25 / GAD67比率、NKCC1 / KCC2比率が統合失調症患者で増加しており、これは未成熟なGABAの生理機能を反映している所見だろうと考えられている。そして、この比率の偏りはGAD-1遺伝子のプロモーター領域におけるリスク対立遺伝子と関連していた。
GABA作動性介在ニューロンにおける比率の偏りがNMDA受容体が媒介するシグナル伝達の欠損を二次的に生じさせるかどうか、あるいは、NMDA受容体のシグナリング伝達の異常はGABA作動性ニューロン異常の対する代償性の変化であるかどうかは不明なままである。
いずれにしても、NMDA受容体の機能低下に起因するGABA作動性介在ニューロンの機能低下や神経活動の同調性の減少は認知機能障害の根底にあるメカニズムであるかしれない。そして、そのような病態は精神病症状が発症する少なくとも10年前には存在し、FEP後にも持続し、FEP患者の10年間の追跡調査では健常対照と比較してもさらに悪化するような明確な所見は示されなかった。
ネズミの研究では、海馬から側坐核へのグルタミン酸作動性求心性神経は、線条体のドーパミン作動性ニューロンに対して強い興奮作用を発揮し、ドーパミンニューロンの活動性や発火の双方に影響を及ぼしている。 このように、NMDA受容体活性の低下は線条体におけるドーパミンの放出増加につながり、精神病の症状を誘発することになる。
この所見は、認知機能の変化は精神病の発症の何年も前に先行しているという説明を生物学的に提供できるものである。
人間の脳におけるNMDA/グルタミン酸システムの状態を調べるための利用可能な技術の1つに磁気共鳴分光法(magnetic resonance spectroscopy、MRS)がある。
MRSでは、グルタミン酸、グルタミン、GABAを含むいくつかの分子の濃度が測定できる。しかし、MRSで測定されたグルタミン酸は、シナプス内のグルタミン酸レベルを反映しておらず、MRSのシグナルは、ニューロン、血管、白質におけるグルタミン酸のシグナルから構成される。
シナプスに放出されたグルタミン酸は、不活性のグルタミンに素早く代謝されるので、MRSの所見はシナプス内のグルタミン酸レベルを反映する所見であろう。例えば、ローランドらは、健常者へのケタミンの注入後の変化をMRSで測定したが、グルタミンの増加を見出した。もし、MRSでグルタミン酸の低下が観察されればNMDA受容体機能の低下を反映しているのかもしれない。
さらに、4テスラより低い磁場強度でのMRIイメージングスキャンでは、グルタミン酸とグルタミンのピークを分離することは困難である。それ故、ほとんどの研究では、グルタミン酸とグルタミンの双方で構成されている「glx」 の値を測定していることになる。統合失調症での結果はglx濃度は疾患の各段階ごとに異なることが示唆されている。
ARMSにおける結果は一貫していないが、大多数の研究ではglxの増加を報告しているが、いくつかのレポートでは減少が報告されており、正常だったという報告もある。なお、グルタミン酸とグルタミンを区別した研究では、双方の分子の増加が報告されている(表2Aを参照のこと)。
(表2A)
一方、未投薬のFEPでは、健常対照と比較して、glxの増加が報告されているが、正常であったという報告もある(表2Bを参照)(FEPでもARMS同様に一貫した結果は得られていないと言えよう)。
(表2B)
統合失調症の後期の段階では、glx値は減少の度合いはわずがだが、しかし有意な減少が報告されており、これの所見は、グルタミン酸の減少とグルタミンの増加の結果であり、グルタミン/グルタミン酸比率の増加につながる。慢性的に投薬がなされていた患者では、前頭領域でのglxのレベルが最も著明に低下しており認知機能障害と相関していた。
注; 補足すると、グルタミン酸はBBBを通過しない。グルタミン酸はグリア細胞からグルタミン酸の前駆体であるグルタミンから生成される。SLC1A2 (solute carrier family 1 =グリア細胞に高親和性のグルタミントランスポーターのメンバー2), AGXT2L1 (alanine-glyoxylate aminotransferase 2-like 1), GLUL (glutamate-ammonia ligase=グルタミンの合成酵素), SLC38A1 (solute carrier family 38, member 1), GLS (glutaminase=グルタミン酸の合成酵素)などがこのグルタミン⇔グルタミン酸の再循環システムに関与しており(下図)、統合失調症では殆どの場合でこれらの再循環システムが増強している。
なお、GABAレベルは殆ど調べられていないが、報告は少ないものの、投薬を受けているFEPや慢性患者ではGABAレベルが低下していることが示されており、認知機能障害との相関が示されている。未投薬のFEP患者におけるGABAのレベルはまだ調べらていない(詳細はTayoshiらの論文、pubmed/20022731を参照のこと)。
炎症誘発性状態の増加
Increased proinflammatory status
統合失調症の(一部の)徴候や症状の根底にある第3の機構としては、脳における炎症誘発性状態の増大であるという仮説は、何年も前に提案されており、例えば、Stevensは統合失調症患者の死後脳で軽度の炎症の徴候を観察している。
統合失調症の病因として炎症の可能性への関心が高まっているが、2009年に同時に発表された3つゲノムワイド関連分析では統合失調症の感受性としてMHC領域(主要組織適合性複合体遺伝子座)が関与しているという説得力のある証拠が提示され炎症の関与が示唆されている。
さらに、MHCクラスI分子は、神経突起伸長、シナプス形成、シナプスの機能、可塑性や活性の恒常性の維持、活性に依存性したシナプスの精錬といった脳の発達の多くの場面で直接的な作用を及ぼし脳の発達の調節をしている。
疫学研究では、統合失調症のリスクは、周産期の感染によって増加するという所見が一貫している。さらに、(家族性)自己免疫疾患と(入院が必要となるほどの重度の)感染の既往の双方を有する場合は統合失調症を発症するリスクが増加することが示されている。統合失調症と診断された患者のあるサブグループでは自己免疫性脳炎に罹患している場合があることも知られている。最近の研究では、統合失調症患者のほぼ10%で抗NMDA受容体抗体を有していることが報告された(コントロールでは0.4%、しかしこの所見は、他の研究者によって再現されることが必要である)。
しかし、神経炎症は、自己免疫性脳炎に罹患していると特徴づけることができるケースだけでなく、統合失調症の他のグループ全体でも大きな役割を有しているようだ。未成熟な脳では、ウイルス感染や細菌感染、さらに、無菌であっても脳の損傷の結果などの原因によって炎症に曝露され易くなっている。ミクログリアは未成熟な脳における免疫を担当する細胞の中心であり、刺激に依存してはいるが、刺激分子の内容やタイミングが異なれば、様々な炎症を脳に生じさせることができる。
そして、急性炎症は慢性炎症状態に移行し、脳の発達に悪影響を及ぼす。統合失調症ではミクログリア細胞の活性増加が推測され支持されているが、11C-PK11195 PETを使用した2つの研究では、特に、初期の段階の統合失調症における側頭葉のミクログリア細胞の活性が増加していることが報告されている。
他の別のトレーサー(11C-DAA1106)を用いたPET研究では、統合失調症患者と対照の間の差は認められなかった。しかし、ミクログリア活性化を検知する上での双方のトレーサーの特異性は議論されていない。
上の所見の違いを説明できる可能性としては、後者のPET研究では、慢性患者を含んでおり、神経炎症の増大は疾患の最初の頃にしか存在していない可能性があるということである。
もし、そうであるのならば、死後脳研究では、通常は慢性患者しか含まれないため、炎症が増加している徴候を見出すことは期待できないことになろう。多くの死後脳の研究があるが、活性化した状態のミクログリア細胞数の増加が報告されてもいるが、結果は一貫していない(表3に、これらの調査結果の概要を示す)。
(表3)
短期から長期まで含まれる患者の脳組織を分析した死後脳の研究は1つだけであるが、その研究では、意外にも、疾患の後期の段階における炎症の増加の強い兆候があることを報告した。
従って、統合失調症の後期段階を調査した死後脳の研究では、FEPの患者に見られるような脳の炎症誘発性状態の増加が存在している、または存在していないということを当てはめて推測することができない場合がある。
FEP患者における潜在的な炎症誘発性状態に関する情報は、末梢血マーカーから得ることができるであろう。そして、炎症性因子と抗炎症因子の偏りが、FEP患者だけでなく急性増悪の病態にある慢性患者においても同じような程度で存在することが示されている。
さらに、活性化したミクログリアは、フリーラジカルや炎症性サイトカインなどの神経毒性物質を生産し、神経細胞やグリア細胞に損傷を与え、認知機能障害や脳容積の損失につながる可能性がある。
神経炎症とのNMDA受容体の機能障害は、いくつかの方法で相互に影響を及ぼし合っている。例えば、活性化したミクログリア細胞はグルタミン酸の高いレベルを誘導し、一方、NMDA受容体の活性化は、ミクログリア活性化による毒性効果を代償する上で重要となる抗酸化酵素の発現に必要である(抗アポトーシス、抗酸化作用を発揮する)。
さらに、偏った脳の発達とそれに起因する成人期における認知機能の変化は、サイトカイン、特に、感染によって誘導されたIL-6に媒介される可能性がある。
同様に、IL-6/Nox2経路の活性化や、その結果から生じる脳内のスーパーオキシドの産生増加は、成人期におけるパルブアルブミン含有(GABA)介在ニューロンの損失を誘導することができる。
ARMSや早期のFEPのMRSで観察された増加したグルタミン酸レベルは、NMDA受容体の機能低下によるものではなく、活性化したミクログリア細胞に起因する可能性がある。
炎症誘発性状態が増大すると、NMDA受容体の活性化低下や悪化を引き起こし、トリプトファン代謝を変化させる。
軽度の炎症の際には、脳内のトリプトファン代謝の最終産物はセロトニンからキヌレン酸に向けてシフトし、キヌレン酸はNMDA受容体のグリシン部位を阻害する。
脳脊髄液を調査した1つの死後脳研究といくつかの研究があるが、対照と比較して、統合失調症の患者ではキヌレン酸のレベルは増加していた(Coyleによるレビューを参照)。
さらに、炎症はドーパミンの調節不全にリンクすることも可能であり、動物実験では、出生前に炎症に晒された齧歯類の子では大脳辺縁系のドーパミン神経の活性増加が一貫して示されている。
実際に、統合失調症の初期段階で観察される白質の変化は、精神病症状が明らかになる前に、脳における炎症状態の増加を反映している可能性がある。
統合失調症患者は同じ病態生理を持っている訳ではない
Not all schizophrenia patients have the same pathophysiology
統合失調症を有する患者の病因が全て均一な形になることは殆どない。
ある患者では、NMDA受容体の著明な機能低下を有するが、他の患者ではこのメカニズムはほとんど影響を受けていないという可能性がある。
実際に、Egertonらは、抗精神病薬によく反応するFEP患者は前帯状皮質におけるglxのレベルは正常であるが、抗精神病薬への反応が乏しいケースでは同部位におけるglxのレベルが増加していることを見出した。この所見は、抗精神病薬への反応が乏しいFEP患者では、ドーパミンの合成が増大していることよりも他のメカニズムが役割を果たしていることを示唆している。
Demjaha らは、さまざまな抗精神病薬に反応しない難治性の精神病患者では、ドーパミン合成能の増加という典型的な所見を欠いていることを確認した(このようなケースにはドーパミン受容体をブロックするようなタイプの抗精神病薬は効果が乏しい)。
同じように、脳における炎症誘発性状態の増大が患者の特定のサブグループにおいて非常に強くなっている可能性がある。実際、180名の未投薬のFEP患者では、約3分の1のケースで血清の免疫(炎症)マーカーの著しい増加を認めた。
それと並行して、最近の死後脳の研究では、40%の統合失調症患者に軽度の炎症のサインがあることが示唆された。
将来の研究のためには、脳におけるドーパミン合成の偏り、NMDA受容体の機能低下、炎症誘発性状態を個々のケースにおいて標的として同定することが鍵となろう。そして、線条体のドーパミン合成、前頭葉のグルタミンレベルやミクログリア細胞の活性化を可視化するためのニューロイメージング技術が、特定の患者の根底にある神経生物学的所見を解明することであろう。
最初のエピソード統合失調症の治療
Treatment of first-episode schizophrenia
統合失調症の治療は、殆どの場合で、患者が明らかに精神病の症状を臨床的に有するような段階に焦点を当てている。
ARMSなどの疾患の初期の段階における治療に関する研究や、慢性期の患者の認知機能障害を改善することに焦点を当てた研究が現在では増えてきているが、治療に関する研究の大部分は、依然として精神病の治療に焦点が当てられている。
抗精神病薬による治療
Antipsychotic treatment
最もよく知られている抗精神病薬の作用メカニズムは、増加した線条体のドーパミン代謝回転の補正である。興味深いことに、最近の研究、すなわち動物実験(Katoら)、培養脳細胞(Zhengら)では、ミクログリアの活性化を阻害することが抗精神病薬の有効性の付加的な側面であることが示唆されている。
抗精神病薬による治療の効果は50年近くの歴史を有するが、抗精神病薬による治療の適用や実施に関しては最適な状況にあるとは全く言い難い。統合失調症の治療に対する多くの基本的な疑問に対しては未解決のままである。
幸運なことに、最初のエピソードの患者は抗精神病薬によく反応することが多い。その後、抗精神病薬の効果をうまく維持することが治療の中心となる。
しかし、抗精神病薬治療がいったん開始されることが決まれば、現在利用可能な治療の優先順位をいかにして合理的かつ最適な方法で決定すべきかという疑問が生じる。
一方、全ての患者に対して適切だと言えるような治療は存在しない。
統合失調症の治療アルゴリズムを開発するためには前向きで治療の結果を追跡する調査研究が必要であるが、これらの調査研究は殆ど実施されていない。毎年数百もの統合失調症に関する研究が発表されているが(コクランの精神分裂病群に登録された比較臨床試験は現在12000にもなるが)、研究のほとんどは、特定の薬物や心理療法介入が機能するかどうかの問題に焦点が当てられている。
そして、治療に反応しないケースにいかに対処すべきかを目的とした、メカニズムに基づく、合理的で、追跡的な研究が欠けている。
FEPの統合失調症患者は、抗精神病薬への反応は高いが、精神病のエピソード数が増加するにつれて反応性は急速に減少する(注; これは実際に臨床場面でよく経験することである。さらに、FEPでも2~3割程度が抗精神病薬に反応しないケースとして残る)。
反応性が低下していった場合に抗精神病薬の切り替えが有効かどうかといった研究は殆どなされていないが、いくつかの大規模な臨床試験が進行中である(OPTiMiSE trialやSWITCH) 。
(OPTiMiSEのホームページ。残念ながら日本はまだOPTiMiSEは不参加のままである。)
Agidらは、 244名のFEP患者にランダム化されたアルゴリズムを使用しリスペリドンかオランザピンを割り当てた。4週間後、最大75 %が薬に反応していた(オランザピン群では82%、リスペリドン群では66%)。ノンレスポンダーは、他のアームに切り替えられた。この第二の試験では、反応率は17%までに劇的に低下したが、反応率はリスペリドン群よりもオランザピンで多くの患者が反応した。
この研究結果は、FEP患者においては高い反応率有するが、第一の抗精神病薬に反応しない患者では、第二の抗精神病薬に変更したとしても反応する確率が低いことを示している。
注; 逆に言えば、抗精神病薬に反応したケースでは他の抗精神病薬にスイッチしても反応することが期待できるはずである。もし、副作用が目立ってきたような場合には(例えば、メタボリック症候群、肥満、アカシジアなど)、他の薬剤にためらわずにスイッチした方がいいことになる。さらに、激しい興奮や不隠で入院したようなFEPのケースには、当初は、開始薬は第一世代の抗精神病薬(セレネースの点滴など)でもよいことになる。しかし、落ち着き次第、直ちに第二世代の抗精神病薬にスイッチすることが大切となる。常に症状の評価を怠ることなく、より副作用の少ない、そして低用量への薬物治療にへと移行していくことが重要なことだと言えよう。
注; 逆に言えば、抗精神病薬に反応したケースでは他の抗精神病薬にスイッチしても反応することが期待できるはずである。もし、副作用が目立ってきたような場合には(例えば、メタボリック症候群、肥満、アカシジアなど)、他の薬剤にためらわずにスイッチした方がいいことになる。さらに、激しい興奮や不隠で入院したようなFEPのケースには、当初は、開始薬は第一世代の抗精神病薬(セレネースの点滴など)でもよいことになる。しかし、落ち着き次第、直ちに第二世代の抗精神病薬にスイッチすることが大切となる。常に症状の評価を怠ることなく、より副作用の少ない、そして低用量への薬物治療にへと移行していくことが重要なことだと言えよう。
これらの非反応者では、非ドーパミン作動性のメカニズムが重要であり、抗精神病薬の最初の試行に失敗した場合は、NMDA受容体の機能低下、あるいは、脳の増大した炎症誘発状態を修正する治療がより有効であることが期待される(グルタミン酸神経伝達システムに作動する薬剤や抗炎症剤や抗酸化剤をアドオンさせるべきである)。
グルタミン酸作動性の治療
Glutamatergic treatments
統合失調症におけるNMDA受容体の機能低下を改善させうる、あるいは、補うことができうるいくつかのルートがある。
まず、NMDA受容体のグリシン結合部位へのアベイラビリティは、グリシンまたはD-セリンの投与により増加させることができる。
いくつかの研究では、グリシンやD-セリンは認知機能障害にはほとんどあるいは全く影響を与えることなく陽性症状や陰性症状を改善することが示唆されている(注; ただし、クロザピンのアジュバントとして使用された場合には症状が悪化してしまう。クロザピン以外でアジュバントとして使用された場合は抗精神病薬の効果が増強する)。
D-セリンレを代謝する酵素であるD-アミノ酸オキシダーゼ(DAAO)を阻害することでD-セリンレベルは増加させることができるが、この方法は症状の重症度には効果を示さなかった。
シナプスでNMDA受容体の近くに共に局在しているAMPA受容体を調節する方法は、治療のための別の手段を提供する(ラモトリギンはAMPA受容体にも作用する。抑制作用)。
CX-516、ピラセタムシクロチアジド(piracetam cyclothiazide)、LY404187のようないくつかの化合物がテストされているが、これまでは明確な利点は示されていない。
第3の選択肢は、グリシントランスポーターの調節である。例えば、サルコシン(sarcosine)は陰性症状や認知機能障害のいくつかの症状の改善を示した。
(注; 残念なことにロッシュ社が治験中のグリシントランスポーター阻害剤であるbitopertin{RG1678}はフェーズⅢでつまずいているようである。)
http://www.roche.com/media/media_releases/med-cor-2014-01-21.htm
最後に、代謝型グルタミン酸受容体(mGluR)を調節する方法が検討されている。第II相試験まで進められているが、これらの物質の1つであるLY354740は、有効性はオランザピンと同等であったが、その後の大規模な試験では有効かどうかの結論は出なかった。
一方、グルタミン酸作動性ニューロンの下流に位置するGABA作動性介在ニューロンに影響を与える方法は別の戦略となりえよう。選択的なGABA作動性薬剤の2つのクラスは統合失調症における認知機能を向上させるだろうと提案されてきている。α5選択的インバースアゴニスト(α5-selective inverse agonists)とα2/3選択的アゴニスト(α2/3-selective agonists)である。統合失調症の動物モデルを使った研究では、GABA-A受容体のα5サブユニットをアロステリックに調節ことで根底に存在する歪みを補正し認知機能の改善につながるという説得力のある証拠が示されている。
(注; ただし、統合失調症の急性期におけるベンゾジアゼピン系薬剤の効果が報告されている。抗興奮作用、鎮静作用、抗アカシジア作用、抗精神病薬の使用用量を減らすことができる、等。これらはGABA受容体への作用を介する効果かもしれない。メタアナリシスでは急性期以降の有効性は示されなかったため、私は急性期に限定してクロナゼパムを併用することがよくある。)
http://sydney.edu.au/medicine/pharmacology/adrien-albert/images/pdfs/RefsPDFs/388.pdf
http://ja.wikipedia.org/wiki/%E3%83%99%E3%83%B3%E3%82%BE%E3%82%B8%E3%82%A2%E3%82%BC%E3%83%94%E3%83%B3NMDA受容体やGABA作動性シグナル伝達を標的とする薬剤の失望するような結果は、これらの回路内の機能障害が精神病の発症よりもはるかに早く生じる可能性が高いことを考慮すれば驚くことではないのかもしれない。
精神病症状が出た時には、長年にわたるNMDA受容体やGABA作動性機能の低下によって既に脳の成熟やシナプス可塑性は不可逆的な障害を引き起こしている可能性がある。従って、統合失調症の治療は、脳の接続性が柔軟でなくなる前の発達ウィンドウという重要な時期においてのみ真に効果的なのかもしれない。
認知機能低下の治療や良い予防のためには、FEPやARMSの段階よりももっと早い時期にリスクのある個人を診断することが鍵となるだろう。そして、発達窓が閉じる前に、グルタミン酸に作用する薬剤やGABA作動性薬を与えることが鍵となりうるのかもしれない。
(関連ブログ2013年9月7日 統合失調症のリスクのあるケースで注意すべきこと)
(関連ブログ2013年9月7日 統合失調症のリスクのあるケースで注意すべきこと)
統合失調症の治療のための抗炎症剤
Antiinflammatory agents for the treatment of schizophrenia
統合失調症の症状を改善するために抗炎症剤を使用する試みはまだ始まったばかりである。最近のメタ分析では、統合失調症に対して、アスピリン、N-アセチルシステイン(NAC)、エストロゲン(女性のみ)でいくつかの有効性が示されているが、他の抗炎症特性を有する薬剤、例えば、セレコキシブ、ミノサイクリン、davunetide、多価不飽和脂肪酸などの他の薬剤については有効性はまだ示されていない。
2つの脳波研究では、NACは、統合失調症の多変量位相同期とミスマッチ陰性電位の双方を改善することが示されている。
しかし、ARMSに対するトライアルでは、多価不飽和脂肪酸(ω3脂肪酸)が精神病への移行を有意に減少(または遅延)させたことが示された。
このRCTのフォローアップ研究では、ポリ不飽和脂肪酸群における陽性症状の低下と平均PANSS陽性のスコアの低下が8週間後の時点で明らかであった。一方、陰性症状の大幅な低下とグローバル機能の平均スコアの上昇は12週後の時点で認められた。
しかしながら、このARMSに対するω3脂肪酸は効果的な介入だと考える前に、さらなる研究が必要と思われる。
炎症誘発性状態の増加は、疾患の初期段階における脳への影響を与えることができるように、ARMSやFEP段階中にこれらの薬剤を増強しても、精神病が発病する数年前への介入よりも効果が低くなってしまうのかもしれない(注; しかし、全く効果がない訳ではないだろう)。
統合失調症の診断は、現在、精神病症状の発現に基づいているが、神経やグリア細胞への不可逆的な損傷は、脳の容積の減少として反映され、既に診断した時点で存在しているのかもしれない(上で議論されたように、MRIイメージング研究において何度も示されている)。
このように、疾患の初期段階への治療としては、抗炎症剤がベストの候補だと思われる。
NACは特に興味深い物質であり、NACはグルタミン酸作動性神経伝達(注; アストロサイトのグルタミン酸トランスポーターを回復させる、炎症などによって増加したシナプス外のグルタミン酸の濃度を正常化させ、グルタミン酸の恒常性を維持する)、抗酸化グルタチオン、ニューロトロフィン、アポトーシス、ミトコンドリア機能といった多様で多くの因子をターゲットにするだけでなく、炎症経路をもターゲットとして作用できる。
NACの副作用プロフィールは良好であり、ある種の抗中毒特性を有するため、NACは統合失調症の(遺伝的な)リスクのある個人に対する脳の容積の損失、認知機能低下、精神病への移行を予防するための有用な物質となるであろう。
非薬理学的な治療
Non-pharmacological treatments
ARMSやFEP患者を治療するために最近発展してきている多くの非薬理学的介入の中でも、特に、有酸素インターバルトレーニングなどの運動による介入は魅力的に思える。
気分や自尊心への運動の有益な効果が認識されてきており、最近、クリエーティブセラピーと比較して、運動によって精神病症状や陰性症状は軽減することが示された。
興味深いことに、身体的なエクササイズは、単球のTNF、TLR4、CD36遺伝子のダウンレギュレーションといった抗炎症経路に関わる遺伝子発現に影響を及ぼすことが知られている。
座りがちな患者では、毎日1時間の散歩をするフィットネスプログラムによって、全身性の炎症パラメータの有意な減少をもたらした。
身体的なエクササイズの重要な利点は、抗精神病薬のメタボリックな副作用を予防できる可能性があることでもある。
さらに、運動は、統合失調症の初期段階における進行性の灰白質の減少を減衰させ、海馬の容積の増加につながる。
運動がFEPやARMSに有効であるかどうかはまだテストされていない。しかし、有害な副作用の有無を考慮すれると運動は特定の期待を持てる可能性がある。
他の非薬理学的な介入は、反復経頭蓋磁気刺激(rTMS)や経頭蓋直流電気刺激を使用して神経を調節する方法である。
これらの介入方法は、理論的には副作用を最小限に抑えつつ、GABA作動性介在ニューロンの抑制機能を改善させることができる。
そして、これらの神経調節技術の空間的・時間的精度における最近の進歩は、特定の脳の領域(例えば、背外側前頭前皮質)における神経の同期性を特異的に増強することができ、ワーキングメモリなどの認知機能を向上させることができる。
注; 補足しておくと、薬物療法以外では、FEPに対しては、認知行動療法CBTや認知強化療法CETIも有効であり、FEPの段階で積極的に行っておくことが大切なことになる。CETIには灰白質の萎縮を防止する効果も示されている。
http://www.nami.org/Content/NavigationMenu/First_Episode/Diagnosis_and_Interventions.htm
https://ds-pharma.jp/literature/psychoabstract/article/2010/10_05_10.html

http://www.nami.org/Content/NavigationMenu/First_Episode/Diagnosis_and_Interventions.htm
https://ds-pharma.jp/literature/psychoabstract/article/2010/10_05_10.html
統合失調症の個別化医療に向けて
Towards personalized medicine for patients with schizophrenia
統合失調症は、ドーパミン合成の増大、NMDA受容体の機能低下、脳の炎症誘発性状態の増大といった異なるメカニズムの中から発展していく可能性が高い。神経画像技術は、個別の患者のニーズに合わせた治療を組み立てる上で役に立つであろう。
FEP患者の大多数は抗精神病薬によく反応することを考えると、最初の薬物療法のトライアルの前に治療法を選択するために侵襲的で高価なPETスキャンを使用することは価値がないように思える。しかし、最初の抗精神病薬の治療に反応しなかったFEP患者では、さらに調査する価値はあろう。
MRSは臨床で最もよく使用されるMRIスキャナーで実施することができる。ARMSやFEPの時期に観察されたglxのピークが慢性期になるに従い減少していくことが観察された時にはグルタミン酸作動薬を標的として使用することができるであろう。同様に、GABAの減少は、選択的GABAアゴニストで補うことができるであろう。
言い換えれば、GABA作動性介在ニューロンの機能低下は、神経調節を標的としたような皮質阻害を増強することによって補えることができる可能性がある。
脳の炎症誘発性状態の増加は、特に、ある種のミクログリア細胞の活性化の増加は、PK11195トレーサーを使用したPETスキャンで検出することができるが、侵襲的で高価な技術である。
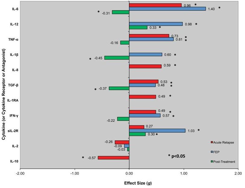
炎症誘発性状態の増加は脳に限定されないように、統合失調症患者のある種のサブセットにおいては全身の状態であってもよい。末梢血の炎症性サイトカインの測定は、例えば、IL-1受容体アンタゴニスト、IL-6、sIL-2Rの測定は、抗炎症薬を補完する必要がある患者を選択する上で簡単なスクリーニング方法を提供するであろう。
C反応性タンパク質(CRP)の濃度を測定するするという別のアプローチは免疫活性を一般的に反映する指標となるが、しかし、メタボリックシンドローム、ストレス、さらには喫煙でもCRPは上昇する。
結論
Conclusion
既に精神病症状が初発した時点で、統合失調症の根底にある神経生物学的プロセスが長年にわたって続いていたと考えられる。
ドーパミン合成が増加することは精神病の最終的な共通の経路なのかもしれないが、その上流に位置するNMDA受容体の機能低下、関連するGABA作動性のシグナル伝達の低下、脳の炎症誘発性状態の増加は、認知機能障害の基礎となる重要なメカニズムなのであろう。そして、統合失調症の臨床像に結びつくこれらの病態生理学の経路が寄与する程度は個体ごとに著しく異なっているのだろう。
もし、脳の発達の窓という好機が閉じてしまい接続が固く偏っていってしまう前に介入することを目的とする場合は、統合失調症の診断を数年後の精神病症状の発症まで先送りする代わりに、認知機能の低下を診断の中に含むようにしていくことが介入の鍵となるであろう。一方、効果的な介入を期待するのであれば、多く存在するであろうと思われるリスクを有するグループを考慮していかねばならないであろう。
(論文終わり)
今回紹介した論文から言えることは以下のようになろう。
もし、初発の統合失調症で抗精神病薬に反応しない場合は(投薬開始から2週間~1か月くらいで必ず効果が出るはずであり)、特に、1か月以上もたって抗精神病薬への反応性が悪い場合は、線条体のドーパミン放出は増えていないタイプであり、グルタミン酸や炎症の方が強くが関与しているケースかもしれず、他の抗精神病薬にスイッチしたところで反応する保証は全くない。
そのような場合には、炎症マーカーを可能な限り調べ(抗NMDA受容体抗体、TNF-α、IL-6など)、グルタミン酸神経伝達系に作用する薬剤(抑肝散、ラモトリギン、アカンプロセート、グリシン、Dーセリン、等)を積極的にアドオンさせたり、抗炎症剤(セレコキシブ、ミノサイクリン、NAC、ω3脂肪酸、TNF-α阻害剤、等)をアドオンさせるべきである。効果は保証されている訳ではなく、効果は全くないかもしれないが、抗精神病薬だけに頼っているような無策な治療を漫然と行うよりも意味はあろう。
気分の変動が激しい場合はリチウムやバルプロ酸を付加することも良いと思われる。特に、リチウムはFEPの時に急激に進行する灰白質の容積の減少に対抗できるかもしれない(ただし水中毒があるようなケースではリチウムは使用できない)。そして、隔離といった行動制限はできうる限り短くして、ウォーキングなどの運動を毎日積極的にさせるべきである。急性期の患者でも運動を行えるような環境を病院は提供しなければならない。さらに、CBTやCETIといった認知機能を強化するようなトレーニングを施しておくことも重要となろう。
そのような場合には、炎症マーカーを可能な限り調べ(抗NMDA受容体抗体、TNF-α、IL-6など)、グルタミン酸神経伝達系に作用する薬剤(抑肝散、ラモトリギン、アカンプロセート、グリシン、Dーセリン、等)を積極的にアドオンさせたり、抗炎症剤(セレコキシブ、ミノサイクリン、NAC、ω3脂肪酸、TNF-α阻害剤、等)をアドオンさせるべきである。効果は保証されている訳ではなく、効果は全くないかもしれないが、抗精神病薬だけに頼っているような無策な治療を漫然と行うよりも意味はあろう。
気分の変動が激しい場合はリチウムやバルプロ酸を付加することも良いと思われる。特に、リチウムはFEPの時に急激に進行する灰白質の容積の減少に対抗できるかもしれない(ただし水中毒があるようなケースではリチウムは使用できない)。そして、隔離といった行動制限はできうる限り短くして、ウォーキングなどの運動を毎日積極的にさせるべきである。急性期の患者でも運動を行えるような環境を病院は提供しなければならない。さらに、CBTやCETIといった認知機能を強化するようなトレーニングを施しておくことも重要となろう。
なお、グルタミン酸神経伝達システムに作用するアカンプロセートの統合失調症への治験が既に行われている(アカンプロセート自体はアルコール依存症の治療薬として開発された)。アカンプロセートはNMDA受容体の刺激が高い時にはアンタゴニストとして作用し、NMDA受容体の刺激が低い時にはアゴニストとして作用するといったNMDA受容体スタビラザー的な薬理作用を有する。それが事実であれば、統合失調症への効果は十分に期待できる。治験の結果発表が待たれる。
http://clinicaltrials.gov/show/NCT00688324 
このブログにコメントするにはログインが必要です。
さんログアウト
この記事には許可ユーザしかコメントができません。